Circuitos acoplados (II)

prev.gif (1231 bytes)home.gif (1232 bytes)next.gif (1211 bytes)

Electromagnetismo

Autoinducción e 
Inducción mutua
Autoinducción.
Circuito R-L
Circuitos acoplados(I)
marca.gif (847 bytes)Circuitos acoplados(II)
Oscilaciones eléctricas
Circuito LCR conectado
a una batería
El problema de los
dos condensadores
Elementos de un
circuito de C.A.
Sistema electro-
mecánico oscilante
Medida de la auto-
inducción de un anillo
Circuito LCR en serie
Resonancia
Medida de la velocidad
de la luz en el vacío
Efectos mecánicos de
la ley de Faraday
Caída de un imán
El anillo de Thomson (I)
El anillo de Thomson (II)
Flujo del campo magnético a través del secundario

java.gif (886 bytes)Coeficiente de inducción mutua

Ley de Faraday

java.gif (886 bytes)Actividades

 

Consideremos dos circuitos acoplados formados por una bobina y una espira que tienen el mismo eje y están situadas en planos paralelos separados una distancia z. La bobina está formada por N espiras apretadas de radio a, y la espira tiene un radio b.

anillo_13.gif (3595 bytes) La bobina constituye el primario de nuestro circuito acoplado, por el que va a circular una corriente alterna de frecuencia angular w y intensidad I1.

I1=I01·sen(w t).

Queremos calcular la intensidad I2 que circulará por la espira (secundario) sabiendo que su resistencia es R.

Para calcular el coeficiente de inducción mutua M de dos circuitos acoplados, hemos de seguir los siguientes pasos:

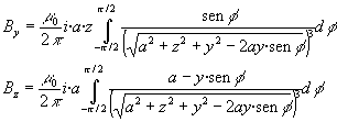
  1. Calcular el campo magnético producido por el primario,
  2. Hallar el flujo del campo magnético producido por el primario a través del secundario
  3. Obtener la expresión del coeficiente de inducción mutua, dividiendo dicho flujo entre la intensidad que circula por el primario.

El primer paso requiere aplicar la ley de Biot-Savart para determinar el campo magnético producido por una espira .

 

Flujo del campo magnético a través del secundario

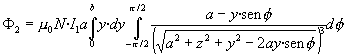
Sea I1 la corriente que circula por el primario. Calculamos el flujo del campo magnético producido por el primario a través del área encerrada por la espira de radio b (secundario).

anillo_6.gif (4005 bytes)

Dado que el plano de la espira es perpendicular al eje Z, el flujo de la componente Y del campo es nulo.

El elemento diferencial de área es el área de un anillo de radio y y de anchura dy, su área es dS=2p y·dy

 

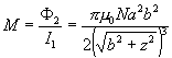
Coeficiente de inducción mutua

Se define coeficiente de inducción mutua M como el cociente entre el flujo que atraviesa el secundario F2 entre la intensidad que circula por el primario I1.

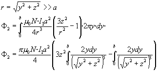
Si la espira está alejada de la bobina, podemos obtener una expresión aproximada para M siempre que se cumpla que

La expresión del coeficiente de inducción mutua M es

Ya hemos visto como se puede calcular el coeficiente de inducción mutua entre dos circuitos. Ahora emplearemos la fórmula alternativa.

donde dl1 es un elemento del primer circuito, dl2 es un elemento del segundo circuito y r es la distancia entre ambos elementos. (Véase Lorrain P., Corson D. R.. Campos y Ondas Electromagnéticas, Selecciones Científicas, págs 366-367).

Como vemos en la figura, el elemento de corriente es un arco infinitesimal de circunferencia (arco igual a radio por ángulo comprendido)  dl1= r1·dq1 y dl2= r2·dq2

Las componentes de los vectores dl1 y dl2 son

 dl1= r1·dq1(-senq1 i+cosq1 j)
dl2=
r2·dq2(-senq2 i+cosq2 j)

El vector r que tiene por origen el punto A (r1·cosq1, r1·senq1, 0) y extremo el punto B (r2·cosq2, r2·senq2, z), 

r=(r2·cosq2-r1·cosq1)i+(r2·senq2-r1·senq1)j+zk

Su módulo, o la distancia r entre dichos elementos de corriente es

Tenemos que calcular la integral doble

Si el circuito primario consta de N1 espiras iguales apretadas, y el circuito secundario consta de una sola espira, el coeficiente de inducción mutua es

El coeficiente de inducción mutua entre dos espiras de radios a y b, coaxiales y distantes z,  se puede expresar en términos de las integrales elípticas completas de primera  K(m) y segunda especie E(m), mediante la fórmula que damos sin demostración.

Si en vez de espiras, son bobinas de espiras apretadas de Na y Nb vueltas se multiplica el coeficiente de inducción mutua de dos espiras por el producto Na·Nb.

Actividades

Se introduce

  • El radio a, actuando en la barra de desplazamiento titulada Radio a

  • El radio b, actuando en la barra de desplazamiento titulada Radio b

  • La distancia z entre las dos espiras, en el control de edición titulado Distancia

Se pulsa en el botón titulado Calcular

El programa interactivo calcula el coeficiente de inducción mutua M en unidades de μ0=4π·10-7 .

ForzadasApplet aparecerá en un explorador compatible con JDK 1.1.

 

Ley de Faraday

La corriente alterna que circula por el solenoide produce un campo magnético que varía con el tiempo. El flujo F2 de dicho campo a través del anillo es

F2=M·I1

donde M es el coeficiente de inducción mutua del sistema formado por el solenoide y el anillo, I1 es de la intensidad de la corriente en el solenoide que varía con el tiempo de la forma

I1=I01·sen(w t)

Donde I01 es la amplitud y w frecuencia angular w =2p f. En Europa f=50 Hz y en Estado Unidos f=60 Hz.

Aplicando la ley de Faraday, se obtiene la fem inducida Ve en el anillo como resultado del cambio del flujo que lo atraviesa con el tiempo. Aplicando la ley de Lenz, se determina el sentido de la corriente inducida.

La corriente inducida I2 en la espira de resistencia R es

 

Actividades

En la simulación tenemos dos circuitos acoplados

  • El circuito primario es una bobina formada por N=100 espiras de radio a=3.5 cm de radio
  • El circuito secundario es una espira de radio b que está situada a una altura z sobre la bobina.

Se introducen los siguientes datos relativos a la corriente que circula por el primario.

  • La frecuencia f en Hz en el control de edición titulado Frecuencia. Recordar que la frecuencia angular vale w =2p f
  • La amplitud de la intensidad I01 en amperios en el control de edición titulado Intensidad.
  • La resistencia de la espira se obtiene aplicando la fórmula

Para una espira de radio b, hecha de un cable de aluminio de resistividad r =2.8·10-8 W ·m cuya sección es de 5 mm de radio 

R=2.24·10-3b W .

La resistencia se ha elegido, de modo que la intensidad de la corriente en la espira (secundario) sea del mismo orden de magnitud que la corriente en la bobina (primario).

A continuación, los datos relativos a la espira (secundario)

  • Su radio b en cm en el control de edición titulado Radio.
  • La distancia z en cm entre los planos de la espira y de la bobina en el control de edición titulado Distancia.

Se pulsa el botón titulado Empieza.

  • Podemos ver la corriente en la bobina (primario) representada por el movimiento de puntos de color azul.
  • La corriente inducida en la espira (secundario) representada por el movimiento de los puntos de color rojo.

Se representa las componentes del campo magnético By y Bz en los siguientes puntos (0, z), (b/2, z) y (-b/2, z), mediante flechas de color azul.

Se representa la corriente en la bobina (primario) y la corriente inducida en la espira (secundario) en función del tiempo en la parte derecha del applet.

En la parte superior del applet, se muestra el valor del coeficiente de inducción mutua M.

Se sugiere al lector que compruebe la ley de Lenz. El sentido de la corriente inducida cada cuarto de periodo.

Ejemplo 1

Si el radio de la espira b=3.5 cm y la distancia z=5 cm el coeficiente de inducción mutua vale M=9.67·10-7 H. La resistencia de la espira vale

R=2.24·10-3·0.035=7.84·10-5 W

Si por el primario circula una corriente de frecuencia f=50 Hz y la amplitud de la intensidad vale I01=10 A. La intensidad inducida que circula por la espira (secundario) es

La amplitud de la intensidad inducida es I02=38.7 A

Ejemplo 2:

La espira tiene un radio b pequeño y está alejada de la bobina

Por ejemplo b=1 cm y z=10 cm.

El coeficiente de inducción mutua podemos calcularlo por la fórmula aproximada

Mediante cálculo numérico, empleando integrales elípticas, el valor que obtenemos es de 2.01·10-8 H

La resistencia de la espira es

R=2.24·10-3·0.01=2.24·10-5 W

Si por el primario circula una corriente de frecuencia f=50 Hz y la amplitud de la intensidad vale I01=10 A.

La intensidad inducida que circula por la espira (secundario) es

La amplitud de la intensidad inducida es I02=2.82 A

 

FemApplet aparecerá en un explorador compatible JDK 1.1