Circuito en serie LCR. Resonancia

prev.gif (1231 bytes)home.gif (1232 bytes)next.gif (1211 bytes)

Electromagnetismo

Autoinducción e 
Inducción mutua
Autoinducción.
Circuito R-L
Circuitos acoplados (I)
Circuitos acoplados (II)
Oscilaciones eléctricas
Circuito LCR conectado
a una batería
El problema de los
dos condensadores
Elementos de un
circuito de C.A.
Sistema electro-
mecánico oscilante
Medida de la auto-
inducción de un anillo
marca.gif (847 bytes)Circuito LCR en serie
  Resonancia
Medida de la velocidad
de la luz en el vacío
Efectos mecánicos de
la ley de Faraday
Caída de un imán
El anillo de Thomson (I)
El anillo de Thomson (II)
java.gif (886 bytes)Circuito LCR en serie

java.gif (886 bytes)Resonancia en un circuito LCR en serie

 

Se ha estudiado el comportamiento de una bobina, un condensador y una resistencia cuando se conectan por separado a un generador de corriente alterna.

En esta página, estudiaremos el comportamiento de un sistema formado por los tres elementos dispuestos en serie y conectados a un generador de corriente alterna de amplitud V0 y frecuencia angular w .

v=V0 sen(w t)

 

Circuito LCR en serie

alterna5.gif (1698 bytes) Dibujamos el diagrama de vectores teniendo en cuenta:
  1. que la intensidad que pasa por todos los elementos es la misma,
  2. que la suma (vectorial) de las diferencias de potencial entre los extremos de los tres elementos nos da la diferencia de potencial en el generador de corriente alterna.

El vector resultante de la suma de los tres vectores es

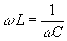
Se denomina impedancia del circuito al término

de modo que se cumpla una relación análoga a la de los circuitos de corriente continua

V0=I0·Z.

El ángulo que forma el vector resultante de longitud V0 con el vector que representa la intensidad I0 es

Las expresiones de la fem y de la intensidad del circuito son

La intensidad de la corriente en el circuito está atrasada un ángulo j respecto de la fem que suministra el generador.

 

Actividades

En el applet se introducen los siguientes datos:

  • Resistencia en W
  • Capacidad en microfaradios (10-6 F)
  • Autoinducción en mH (10-3 H)
  • El cociente w/w0 entre la frecuencia w del generador y la frecuencia propia del circuito w0

Se pulsa el botón titulado Empieza.

Se observa los valores instantáneos de la corriente i en el circuito LCR y de la diferencia de potencial (ddp) V del generador a medida que transcurre el tiempo.

  • A la izquierda, como proyecciones sobre el eje vertical de los vectores rotatorios que representan a la intensidad y la ddp.
  • A la derecha, la representación gráfica de los valores de la intensidad y de la ddp en función del tiempo.

Observar las relaciones de fase entre la intensidad y la ddp en el generador en los siguientes casos

  • w =w0
  • w >w0
  • w <w0

Ejemplo:

  • R=1.5 Ω

  • L=5·10-3 H

  • C=4·10-6 F

  • ω=1.01·w0

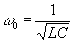
La frecuencia propia del circuito es

La frecuencia del generador es ω=1.01·w0=7142 rad/s

La impedancia vale

El desfase es

FemApplet aparecerá en un explorador compatible JDK 1.1
                                            

 

 

Resonancia en un circuito LCR en serie

La condición de resonancia la estudiamos en las oscilaciones forzadas de una masa unida a un muelle elástico.

La potencia suministrada por el generador de corriente alterna es

P=i·v=V0·I0sen(w t)·sen(w t-j )

P=V0·I0sen(w t)·(sen(w t)·cos j - cos(w t)·senj)=V0·I0(sen2(w t)·cos j - sen(w t)·cos(w t)·senj)

Esta magnitud es una función complicada del tiempo que no es útil desde el punto de vista práctico. Lo que tiene interés es el promedio de la potencia en un periodo 2p /w .

<P>=V0·I0(<sen2(w t)>·cos j - <sen(w t)·cos(w t)senj)

Se define como valor medio <f(t)> de una función periódica f(t) de periodo T a la integral

El periodo de la función f(t)=sen2(w t) es T=π/ω, su valor medio es

<sen2(w t)>=1/2

El área de color rojo es igual al área de color azul.

El periodo de la función f(t)=sen(w t)·cos(w t)=sen(2w t)/2 es T=π/ω, su valor medio es

<sen(w t)·cos(w t)>=0

como puede comprobarse fácilmente

El valor medio de la energía por unidad de tiempo, o potencia suministrada por el generador es

El último término, cosj se denomina factor de potencia.

El valor de <P> es máximo cuando el ángulo de desfase j es cero, para ello se tiene que cumplir que

es decir, la frecuencia w del generador de corriente alterna debe coincidir con la frecuencia natural o propia w0 del circuito oscilante.

Cuando w =w0 se cumple que

  • La intensidad de la corriente I0 alcanza su valor máximo
  • La intensidad de la corriente en el circuito i y la fem v están en fase
  • La energía por unidad de tiempo <P> suministrada por el generador es máxima

 

Actividades

En el applet se introducen los siguientes datos:

  • Resistencia en W
  • Capacidad en mF (10-6 F)
  • Autoinducción en mH (10-3 H)

Se escoge la magnitud que deseamos representar en función del cociente w /w0

  1. Potencia <P>
  2. Amplitud de la intensidad I0
  3. Desfase j entre la intensidad y la fem del generador

 

Representación de la potencia <P>

En la representación de la potencia <P> observamos que cuando la frecuencia del generador w coincide con la frecuencia de resonancia w0 la potencia alcanza un máximo.

Se representa también el intervalo de frecuencias Dw para los cuales la potencia es mayor que la mitad de la máxima. La agudeza de la curva de resonancia se describe mediante un parámetro adimensional denominado factor de calidad Q0 que se define como el cociente entre la frecuencia angular de resonancia w0 y el ancho de la curva de resonancia Dw.

Manteniendo fijos los valores de la capacidad del condensador y de la autoinducción de la bobina, se modifica el valor de la resistencia R. ¿Cómo cambia la curva de resonancia?.

Representación de la amplitud de la intensidad

La amplitud de la intensidad I0 adquiere un valor máximo cuando la frecuencia del generador w coincide con la frecuencia de resonancia w0. El valor de la impedancia Z es mínimo y vale Z=R.

Manteniendo fijos los valores de la capacidad del condensador y de la autoinducción de la bobina, se modifica el valor de la resistencia R. ¿Cómo cambia la curva que representa la amplitud en función del cociente w /w0?

Representación del desfase entre la intensidad y la fem

El desfase entre la intensidad y la fem se hace cero cuando la frecuencia del generador w coincide con la frecuencia de resonancia w0.

  • La intensidad y la fem están en fase a esta frecuencia
  • La diferencia de fase cambia de signo, cuando la frecuencia w es mayor que  la frecuencia de resonancia w0, y aumenta rápidamente cuando nos alejamos de dicha frecuencia, sobre todo si la resistencia es pequeña.

Manteniendo fijos los valores de la capacidad del condensador y de la autoinducción de la bobina, se modifica el valor de la resistencia R. ¿Cómo cambia la curva que representa la diferencia de fase en función del cociente w/w0?

FemApplet aparecerá en un explorador compatible JDK 1.1