Elementos de un circuito de corriente alterna

prev.gif (1231 bytes)home.gif (1232 bytes)next.gif (1211 bytes)

Electromagnetismo

Autoinducción e 
Inducción mutua
Autoinducción.
Circuito R-L
Circuitos acoplados (I)
Circuitos acoplados (II)
Oscilaciones eléctricas
Circuito LCR conectado
a una batería
El problema de los
dos condensadores
marca.gif (847 bytes)Elementos de un
  circuito de C.A.
Sistema electro-
mecánico oscilante
Medida de la auto-
inducción de un anillo
Circuito LCR en serie
Resonancia
Medida de la velocidad
de la luz en el vacío
Efectos mecánicos de
la ley de Faraday
Caída de un imán
El anillo de Thomson (I)
El anillo de Thomson (II)
Una resistencia conectada a un generador de corriente alterna

Un condensador conectado a un generador de corriente alterna

Una bobina conectada a un generador de corriente alterna

java.gif (886 bytes)Actividades

 

Un circuito de corriente alterna consta de una combinación de elementos (resistencias, capacidades y autoinducciones) y un generador que suministra la corriente alterna.

Una fem alterna se produce mediante la rotación de una bobina con velocidad angular constante dentro de un campo magnético uniforme producido entre los polos de un imán.

v=V0 sen(w t)

Para analizar los circuitos de corriente alterna, se emplean dos procedimientos, uno geométrico denominado de vectores rotatorios y otro, que emplea los números complejos.

Un ejemplo del primer procedimiento, es la interpretación geométrica del Movimiento Armónico Simple como proyección sobre el eje X de un vector rotatorio de longitud igual a la amplitud y que gira con una velocidad angular igual a la frecuencia angular.

Mediante las representaciones vectoriales, la longitud del vector representa la amplitud y su proyección sobre el eje vertical representa el valor instantáneo de dicha cantidad. Los vectores se hacen girar en sentido contrario al las agujas del reloj.

Con letras mayúsculas representaremos los valores de la amplitud y con letras minúsculas los valores instantáneos.

 

Una resistencia conectada a un generador de corriente alterna

La ecuación de este circuito simple es (intensidad por resistencia igual a la fem)

iR=V0sen(w t)

La diferencia de potencial en la resistencia es

vR= V0sen(w t)

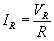
En una resistencia, la intensidad iR y la diferencia de potencial vR están en fase. La relación entre sus amplitudes es

con VR=V0, la amplitud de la fem alterna

Como vemos en la representación vectorial de la figura, al cabo de un cierto tiempo t, los vectores rotatorios que representan a la intensidad en la resistencia y a la diferencia de potencial entre sus extremos, ha girado un ángulo w t. Sus proyecciones sobre el eje vertical marcados por los segmentos de color azul y rojo son respectivamente, los valores en el instante t de la intensidad que circula por la resistencia y de la diferencia de potencial entre sus extremos.

 

Un condensador conectado a un generador de corriente alterna

En un condensador la carga q, la capacidad C y diferencia de potencial v entre sus placas están relacionadas entre sí

q=C·v

Si se conecta las placas del condensador a un generador de corriente alterna

q=C· V0·sen(w t)

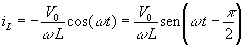
La intensidad se obtiene derivando la carga respecto del tiempo, i=dq/dt

Para un condensador, la intensidad iC está adelantada 90º respecto a la diferencia de potencial vC. La relación ente sus amplitudes es

con VC=V0, la amplitud de la fem alterna

 

Una bobina conectada a un generador de corriente alterna

Ya hemos estudiado la autoinducción y las corrientes autoinducidas que se producen en una bobina cuando circula por ella una corriente i variable con el tiempo..

La ecuación del circuito es (suma de fem igual a intensidad por resistencia), como que la resistencia es nula

Integrando esta ecuación obtenemos i en función del tiempo

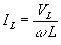
La intensidad iL de la en la bobina está retrasada 90º respecto de la diferencia de potencial entre sus extremos vL. La relación entre sus amplitudes es

con VL=V0, la amplitud de la fem alterna

 

Actividades

En el applet se escoge un elemento:

  • Resistencia
  • Condensador
  • Autoinducción

Se pulsa el botón titulado Empieza.

Se observa los valores instantáneos de la corriente i y de la diferencia de potencial (ddp) V entre los extremos del elemento a medida que transcurre el tiempo.

  • A la izquierda, como proyecciones sobre el eje vertical de los vectores rotatorios que representan a la intensidad y la ddp.
  • A la derecha, la representación gráfica de los valores de la intensidad y de la ddp en función del tiempo.

Comparar las relaciones de fase entre la intensidad y la ddp para cada uno de los elementos: condensador, resistencia, bobina.

 

FemApplet aparecerá en un explorador compatible JDK 1.1