Espiras en un campo magnético variable con el tiempo (I)

prev.gif (1231 bytes)home.gif (1232 bytes)next.gif (1211 bytes)

Electromagnetismo

Ley de Faraday
marca.gif (847 bytes)Espiras en un campo
 magnético variable (I)
Espiras en un campo
magnético variable (II)
Demostración de
la ley de Faraday (I)
Demostración de 
la ley de Faraday (II)
Acelerador de partículas
El betatrón
Varilla que se mueve
en un c. magnético (I) 
Caída de una varilla
en un c. magnético
Movimiento de una
espira a través de
un c. magnético
Medida del campo
magnético
Generador de corriente
alterna
Galvanómetro balístico
Corrientes de Foucault
Imán en tubo metálico
Inducción homopolar
Un disco motor y
generador
Varilla que se mueve
en un c. magnético (II)
Varilla que se mueve
en un c. magnético (III)
Varilla que se mueve
en un c. magnético (IV)
Momento angular de
los campos EM (I)
Momento angular de
los campos EM (II)
Concepto de flujo

Inducción electromagnético. Ley de Faraday

Fundamentos físicos

java.gif (886 bytes)Actividades

 

Supongamos que tenemos una espira situada entre las piezas polares de un electroimán. El campo magnético varía con el tiempo. Verificaremos que el sentido de la corriente inducida está de acuerdo a la ley de Lenz y observaremos el comportamiento de la fem en función del tiempo.

 

Concepto de flujo

flujo.gif (1467 bytes) Se denomina flujo al producto escalar del vector campo por el vector superficie

Si el campo no es constante o la superficie no es plana, se calcula el flujo a través de cada elemento dS de superficie, B·dS

El flujo a través de la superficie S, es

 

La inducción electromagnética. Ley de Faraday

La inducción electromagnética fue descubierta casi simultáneamente y de forma independiente por Michael Faraday y Joseph Henry en 1830. La inducción electromagnética es el principio sobre el que se basa el funcionamiento del generador eléctrico, el transformador y muchos otros dispositivos.

Supongamos que se coloca un conductor eléctrico en forma de circuito en una región en la que hay un campo magnético. Si el flujo F a través del circuito varía con el tiempo, se puede observar una corriente en el circuito (mientras el flujo está variando). Midiendo la fem inducida se encuentra que depende de la rapidez de variación del flujo del campo magnético con el tiempo.

El significado del signo menos, es decir, el sentido de la corriente inducida (ley de Lenz) se muestra en la figura mediante una flecha de color azul..

fem1.gif (2279 bytes)

 

Fundamentos físicos

El campo magnético cuya dirección es perpendicular al plano de la espira, varía con el tiempo de la forma

B=B0 sen(w t)

fem5_1.gif (1448 bytes) El flujo F del campo magnético a través de las N espiras iguales es, el producto del flujo a través de una espira por el número N de espiras

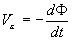
La fem inducida en las espiras es

El sentido de la corriente inducida es tal que se opone a la variación de flujo.

Como la espira tiene un área que no cambia, el flujo se modifica al cambiar el campo magnético. Puede suceder alguno de los cuatro casos que se muestran en la figura.

Sea P el periodo del campo magnético. En el intervalo:

  • 0-P/4, el campo magnético aumenta, el flujo a través de la espira aumenta
  • P/4-P/2, el campo magnético disminuye, el flujo disminuye.
  • P/2-3P/4, el campo aumenta en valor absoluto (disminuye si se tiene en cuenta el signo).
  • 3P/4-P, el campo magnético disminuye en valor absoluto (aumenta si se tiene en cuenta el signo).

Si tomamos como criterio que la corriente inducida en la espira es positiva cuando circula en sentido contrario a las agujas del reloj, y es negativa cuando circula en el sentido de las agujas del reloj. La corriente inducida será positiva en el segundo y tercer intervalo y será negativa en el primer y cuarto intervalo, de acuerdo con el comportamiento de una función proporcional a cos(w t).

 

Actividades

Se introduce

  • La amplitud del campo magnético B0 , en el control de edición titulado Campo magnético
  • Frecuencia f , en el control de edición titulado Frecuencia
  • Número de espiras N, en el control de edición titulado Número de espiras
  • El área de la espira se ha fijado en el programa interactivo, es un cuadrado de a=10 cm de lado

Se pulsa el botón titulado Empieza.

A la izquierda del applet, observamos las piezas polares del electroimán. En el primer semiperiodo el polo Norte está abajo y el polo Sur arriba, cuando transcurre medio periodo se invierte la polaridad.

La corriente inducida, se representa mediante el movimiento de unos puntos rojos (cargas positivas) sobre las espiras.

Se representa en color negro, el vector superficie S, que que es proporcional al número de espiras N, y en color azul el vector campo B, cuyo módulo y sentido va cambiando con el tiempo.

En la parte derecha del applet, se representa en el mismo sistema de ejes

  • En color azul, el campo magnético en función del tiempo.
  • En color rojo, la fem en las espiras.

Ejemplo:

  • Sea B0= 40 gauss=0.004 T
  • Frecuencia f=1 Hz
  • Número de espiras N=4
  • Área de la espira S=100 cm2=0.01 m2

El periodo P=1/f=1 s, la frecuencia angular ω=2πf=2π rad/s

Calcular la fem en el instante t=P/2=0.5 s

Vє=-S·N·B0·ω·cos(ω·t)=-0.01·4·0.004·2·π·cos(π)=1.005·10-3 V=1.005 mV

 

FemApplet aparecerá en un explorador compatible JDK 1.1