Determinación  de la velocidad de la luz mediante un circuito resonante

prev.gif (1231 bytes)home.gif (1232 bytes)next.gif (1211 bytes)

Electromagnetismo

Autoinducción e 
Inducción mutua
Autoinducción.
Circuito R-L
Circuitos acoplados (I)
Circuitos acoplados (II)
Oscilaciones eléctricas
Circuito LCR conectado
a una batería
El problema de los
dos condensadores
Elementos de un
circuito de C.A.
Sistema electro-
mecánico oscilante
Medida de la auto-
inducción de un anillo
Circuito LCR en serie
Resonancia
marca.gif (847 bytes)Medida de la velocidad
  de la luz en el vacío
Efectos mecánicos de
la ley de Faraday
Caída de un imán
El anillo de Thomson (I)
El anillo de Thomson (II)
Fundamentos físicos

Composición de dos MAS de direcciones perpendiculares

java.gif (886 bytes)Búsqueda de la frecuencia de resonancia

Representación gráfica de los datos "experimentales"

Referencias

 

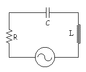
En esta página, se simula una práctica de laboratorio que es una aplicación del circuito en serie LCR. La simulación se mantiene fiel a la práctica real. La autoinducción de la bobina se mantiene fija, pudiéndose variar la capacidad del condensador arrastrando con el puntero ratón una de sus placas para aumentar o disminuir la separación entre las mismas. Esta simulación es similar a la medida de la velocidad del sonido en el capítulo Movimiento ondulatorio.

 

Fundamentos físicos

Las ondas electromagnéticas (la luz es una de ellas) se propaga con una velocidad que depende de las propiedades eléctricas y magnéticas del medio. En el vacío la velocidad de propagación es

donde e0 y m0 son la constante dieléctrica y la permeabilidad magnética del vacío.

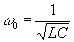
veloc_luz.gif (1578 bytes) La frecuencia de resonancia de un circuito en serie LCR es

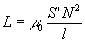
donde L es la autoinducción de un solenoide de N=4280 espiras, longitud l=20 cm , y sección S’=4.6·10-4 m2,

El condensador está formado por dos placas plano-paralelas de sección S y separación d. Las placas son circulares y tienen un radio de 0.129 m, la separación d se puede cambiar con un nonius

La frecuencia de resonancia w0 del circuito LCR se puede expresar en términos del producto e0 ·m0, o bien, de la velocidad de la luz en el vacío c.

El experimento consiste en hallar la frecuencia de resonancia w0 del circuito LCR para cada separación d entre las placas del condensador. A continuación, se representan los datos experimentales: en le eje vertical la inversa de los cuadrados de las frecuencias de resonancia, y en el eje horizontal, la inversa de la separación entre las placas.

Se calcula la pendiente de la recta que mejor ajusta a los datos experimentales. Conocida la pendiente se despeja la velocidad c de la luz en el vacío.

 

Composición de dos MAS de direcciones perpendiculares

Conectamos el circuito LCR a un generador de corriente alterna. Seleccionamos una frecuencia, que en general no coincidirá con la frecuencia natural o propia del circuito w0. Existirá por tanto, un desfase entre la fem y la intensidad. Si ambas señales las introducimos en un osciloscopio, veremos en su pantalla el resultado de la composición de dos MAS de la misma frecuencia y de direcciones perpendiculares, una elipse en general.

Antes de realizar el "experimento" se sugiere al lector familiarizarse con la composición de dos MAS de direcciones perpendiculares de la misma frecuencia, introduciendo los siguientes datos en los respectivos controles de edición.

Frecuencia del primer MAS (eje X) Frecuencia del segundo MAS (ejeY) Diferencia de fase (en grados)
1 1 0
1 1 20
1 1 -20
  • Cuando la diferencia de fase j es cero, la composición de los dos MAS es una línea recta inclinada 45º si las amplitudes de los dos MAS son iguales.
  • Cuando el desfase j es distinto de cero, se obtiene una elipse, pero el recorrido del punto (x,y) sobre la trayectoria elíptica tiene distinto sentido cuando el desfase j es positivo que cuando es negativo.

 

Búsqueda de la frecuencia de resonancia

Como hemos mostrado en la página que estudia el circuito LCR, cuando la frecuencia del generador se hace mayor que la frecuencia de resonancia, la diferencia de fase cambia de signo.

Por otra parte, para cualquier frecuencia angular w distinta de la de resonancia, la impedancia Z se hace grande de modo que la amplitud de la intensidad se hace pequeña, la elipse se transforma en una recta vertical.

El punto que marca la posición (x, y) en la pantalla del "osciloscopio" se mueve en un sentido antes de alcanzar la frecuencia de resonancia y cambia de sentido cuando se sobrepasa dicha frecuencia. Mediante el procedimiento de aproximaciones sucesivas, acotando la frecuencia de resonancia en intervalos cada vez más pequeños, llegaremos a encontrar la frecuencia buscada. La elipse que aparece cuando estamos cerca de la frecuencia de resonancia se convierte en una diagonal.

Cuando se alcanza la frecuencia de resonancia, la impedancia Z tiene un valor mínimo Z=R, siendo R la resistencia del circuito. En el programa interactivo hemos fijado el valor de R=1 W , para que las amplitudes de la fem y de la intensidad sean las mismas cuando se alcance la frecuencia de resonancia.

Ejemplo:

Seleccionamos una separación de 2 mm entre las placas del condensador moviendo su placa derecha con el puntero del ratón. Comprobamos con la primera barra de desplazamiento que la frecuencia de resonancia está entre 45 kHz y 46 kHz. Con el segundo control, comprobamos que hacia 45520 la línea recta vertical se va transformando en una elipse. Ahora, modificamos la última cifra de la frecuencia y pulsamos la tecla RETORNO. Observamos que la recta inclinada que marca la condición de resonancia se obtiene aproximadamente a 45517 Hz.

Pulsamos la tecla Datos, para guardar los datos experimentales en el control de área de texto situado a la izquierda del applet.

El rango de posibles frecuencias de la fem se ha establecido entre 90 y 170.000 Hz de modo que la búsqueda de la frecuencia de resonancia para una separación dada entre las placas del condensador puede hacerse realmente tediosa si no se dispone de un sistema eficaz.

Se establecen tres niveles de búsqueda: unidades de millar, decenas y unidades. Los dos primeros se controlan mediante barras de desplazamiento, la frecuencia exacta o la modificación de la unidad se lleva a cabo introduciendo directamente el número en un control de edición y se pulsa la tecla RETORNO

 

Representación gráfica de los datos "experimentales"

En el control área de texto situado a la izquierda del applet se recogen los pares de datos

Una vez que se han recogido suficiente número de pares de datos

  • separación entre las placas del condensador, d
  • frecuencia de resonancia, w0

Cuando se tienen suficientes datos, se pulsa el botón titulado Gráfica.

Se representa

  • en el eje Y, la inversa del cuadrado de la frecuencia de resonancia,
  • en el eje X, la inversa de la distancia de separación entre las placas.

Se traza la recta que mejor ajusta a los datos "experimentales" y se calcula su pendiente. A partir del valor de dicha pendiente y de los datos del circuito, se determina la velocidad de la luz.

Sea m el valor de la pendiente calculada. Para hallar la velocidad c la luz se tiene en cuenta que la pendiente de la recta m=k/c2 . De los datos del circuito LCR hemos obtenido el valor de k=2202.65. Finalmente, despejamos c que tendrá que dar aproximadamente 3·108 m/s.

 

FemApplet aparecerá en un explorador compatible JDK 1.1

Se arrastra con el puntero del ratón la placa derecha del condensador.
Se introduce la frecuencia en el control de edición y se pulsa RETORNO

Para buscar la frecuencia de resonancia leer las instrucciones en el cuadro Búsqueda de la frecuencia de resonancia

 

Referencias

Gimeno B., Martín I, Sanchís M. A, Vergara M. Determinación Indirecta de la Velocidad de la Luz en el Vacío mediante un Circuito Resonante. Revista Española de Física 14 (4) 2000 , págs. 41-44.