La espira

prev.gif (1231 bytes)home.gif (1232 bytes)next.gif (1211 bytes)

Electromagnetismo

Campo magnético
Fuerza sobre un
conductor rectilíneo
La balanza de
corriente
Fuerza y momento 
sobre una espira
El galvanómetro
La rueda de Barlow

Corriente rectilínea
marca.gif (847 bytes)La espira
El solenoide y el
toroide
Oscilaciones de
un imán (I)
Oscilaciones de
un imán (II)
Campo magnético producido por una corriente circular en un punto de su eje.

Campo magnético producido en un punto fuera del eje

Aproximación: Puntos alejados de la espira. Dipolo magnético

Fuerza entre dos espiras

Referencias

 

Campo magnético producido por una corriente circular en un punto de su eje.

En muchos dispositivos que utilizan una corriente para crear un campo magnético, tales como un electroimán o un transformador, el hilo que transporta la corriente está arrollado en forma de bobina formada por muchas espiras. Estudiaremos, en primer lugar, el campo creado por una espira.

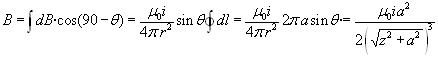
En la figura, se muestra una espira circular de radio a, recorrida por una corriente de intensidad i. El punto P está sobre el eje de la espira a una distancia z de su centro.

Sea r la distancia entre el elemento de corriente y el punto P. La ley de Biot nos permite calcular el campo magnético creado por dicho elemento de corriente.

Fijarse que los vectores unitarios ut y ur forman 90º

El vector campo magnético dB tiene dos componentes

  • a lo largo del eje de la espira dB·cos(90-q )
  • perpendicular al eje de la espira dB·sen(90-q )

Por razón de simetría, las componentes perpendiculares al eje creadas por elementos diametralmente opuestos se anulan entre sí. Por tanto, el campo magnético resultante está dirigido a lo largo del eje y puede calcularse mediante una integración sencilla ya que r es constante y q es constante

En el centro de la espira z=0, tenemos

El sentido del campo magnético viene determinado por la regla de la mano derecha.

Para una espira no es aplicable la ley de Ampère. Sin embargo, como podemos ver en el applet de la siguiente página, si se disponen varias espiras iguales, igualmente espaciadas, se va creando un campo cuya dirección es cada vez más paralela al eje común de las espiras, a medida que se incrementa su número

En la situación ideal de un solenoide formado por un número grande de espiras apretadas, cuya longitud es grande comparada con su diámetro, el campo en el interior es casi uniforme y paralelo al eje y en el exterior es muy pequeño. En estas condiciones es aplicable la ley de Ampère, para determinar el campo magnético en el interior del solenoide.

 

Campo magnético producido en un punto fuera del eje

Vamos a calcular el campo magnético producido por una espira circular en un punto fuera del eje de la espira. La ley de Biot afirma que el campo B producido por una corriente i se obtiene

Donde dl es un elemento de corriente, ut es un vector unitario que señala la dirección y sentido de la corriente, y ur es un vector unitario que señala el punto P donde se calcula el campo magnético.

anillo_5.gif (3969 bytes)

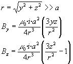
El campo producido por una espira de radio a tiene simetría axial, bastará calcular las componentes By y Bz del campo magnético en un punto P (0, y, z) del plano YZ.

Como vemos en la figura la distancia r entre el elemento de corriente dl=a·df que está situado en el punto (a·cosf , a·senf , 0) y el punto P (0, y, z) considerado es

Efectuando el producto vectorial ut ´ ur, nos queda las componentes del campo

La primera integral es inmediata y vale cero Bx=0, ya que para cada elemento de corriente dl existe otro simétrico al plano OYZ cuyo efecto es el de anular la componente X del campo magnético

Las componentes del campo B son

Debido a la simetría cilíndrica del problema, solamente tenemos dos componentes del campo  una a lo largo del eje de simetría Z, Bz y la otra en la dirección radial By.

Cuando y=0, un punto del eje de la espira, podemos comprobar fácilmente que By=0, y que

Para expresar estas integrales en términos de las integrales elípticas completas de primera y segunda especie hacemos el cambio de variable

θ=π/2-f

Las tablas de integrales elípticas (Good) nos dan las siguientes equivalencias

Las componentes del campo magnético se expresan en términos de las integrales elípticas completas de primera  K(m) y segunda especie E(m) de la siguiente forma.

En la figura, se muestra la dirección del campo magnético mediante flechas, en el plano YZ, con y>0  y z>0. El módulo del campo no se puede mostrar ya que cambia significativamente de un punto cercano al anillo a otro algo más alejado. El radio de la espira es a=1.0

Caso particular

Estudiamos el campo a lo largo del eje del anillo, y →0,

las integrales elípticas tienden ambas a K(0)=E(0)=π/2

Como podemos comprobar fácilmente By→0, fijarse que los dos términos entre paréntesis se cancelan. En cuanto a la componente Z. Los dos últimos términos ente paréntesis proporcionales a y se cancelan

Resultado que hemos obtenido previamente.

Actividades

Se introduce

  • La abscisa (y/a) del punto P, actuando en la barra de desplazamiento titulada Abscisa

  • La ordenada (z/a) del punto P, actuando en la barra de desplazamiento titulada Ordenada

Se pulsa en el botón titulado Calcular

El programa interactivo calcula las componentes By y Bz del campo, su módulo y el ángulo que forma con el eje Y.

Las componentes del campo By y Bz se expresan en términos de (y/a) y (z/a)

El campo en el centro de la espira, z=0, es

El programa interactivo calcula el valor de By y de Bz en unidades del campo en el centro de la espira

ForzadasApplet aparecerá en un explorador compatible con JDK 1.1.

 

Aproximación: Puntos alejados de la espira. Dipolo magnético

Partimos de nuevo de las ecuaciones

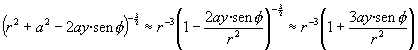
Si el punto P está lejos de la espira, es decir, si se cumple que

Podemos aproximar el denominador de las dos integrales que nos calculan el campo By y Bz.

Donde hemos llamado ahora r a

Las componentes del campo para r>>a, son aproximadamente

El campo creado por una bobina de N espiras apretadas es N veces el campo producido por una de las espiras.

 
Las dos componentes del campo, By y Bz en el punto P (y, z) las podemos expresar en una única fórmula.

Donde m=i·πa2 k es el momento dipolar magnético, señalado mediante una flecha de color rojo.

En el applet se representa las líneas del campo magnético producido por una bobina de pequeño radio a cuyo momento dipolar magnético m se señala mediante una flecha de color rojo.

Líneas de campo magnético

Como el campo es tangente a las líneas de fuerza, la ecuación de las líneas de fuerza es

tal como se muestra en la figura.

La ecuación diferencial de las líneas de fuerza para el dipolo magnético es

Haciendo el cambio de variable

Z=z2, Y=lny

Para integrar esta ecuación diferencial de primer orden escribimos Z=u·v

Igualamos a cero el paréntesis

La ecuación queda

La solución de la ecuación diferencial es,

donde C es una constante de integración

Deshaciendo el cambio de variable

Escribiendo la constante C=D2/3, D tiene dimensiones de longitud

En la figura, se muestra las líneas del campo magnético para D=0.25, 0.5, 0.75 y 1.0

 

Fuerza entre dos espiras

En la figura, se muestran dos espiras contenidas en planos paralelos de radio a y radio b separadas una distancia z. Las espiras conducen corrientes Ia e Ib, respectivamente.

Si las corrientes tienen el mismo sentido, la fuerza es atractiva y si tienen sentido contrario, la fuerza es repulsiva.

El campo magnético producido por la espira de radio a, tiene dos componentes, uno radial By y la otra axial Bz, y sus valores en la posición que ocupa la segunda espira de radio y=b es.

La fuerza que ejerce el campo magnético producido por la espira inferior de radio a, sobre la corriente que circula por la espira superior de radio b es

Como apreciamos en la figura, la componente Bz del campo magnético produce sobre un elemento de corriente una fuerza Fy cuya dirección es radial. La fuerza neta sobre la espira es cero.

La componente radial By del campo produce sobre un elemento de corriente dlb=b·dθ una fuerza cuya dirección es a lo largo del eje Z

  • Positiva (repulsiva), si las corrientes tienen sentido contrario  

  • Negativa (atractiva) si las corrientes tienen el mismo sentido (como en la figura)

Introduciendo el valor de la componente radial By del campo magnético producido por la espira de radio a.

 

 

Referencias

Good R. H. Elliptic integrals, the forgotten functions. Eur. J. Phys. 22 (2001) pp. 119-126.

Mc Tavish J. P., Field pattern of a magnetic dipole. Am. J. Phys. 68 (6) June 2000, pp. 577-578