Oscilaciones eléctricas

prev.gif (1231 bytes)home.gif (1232 bytes)next.gif (1211 bytes)

Electromagnetismo

Autoinducción e 
Inducción mutua
Autoinducción.
Circuito R-L
Circuitos acoplados (I)
Circuitos acoplados (II)
marca.gif (847 bytes)Oscilaciones eléctricas
Circuito LCR conectado
a una batería
El problema de los
dos condensadores
Elementos de un
circuito de C.A.
Sistema electro-
mecánico oscilante
Medida de la auto-
inducción de un anillo
Circuito LCR en serie
Resonancia
Medida de la velocidad
de la luz en el vacío
Efectos mecánicos de
la ley de Faraday
Caída de un imán
El anillo de Thomson (I)
El anillo de Thomson (II)
Circuito LCR. Oscilaciones libres

Circuito LCR. Oscilaciones amortiguadas.

Circuito LCR conectado a un fem alterna. Oscilaciones forzadas

 

Vamos a obtener las ecuaciones de las oscilaciones eléctricas, análogas a las mecánicas estudiadas en el capítulo de Oscilaciones

 

Circuito LC. Oscilaciones libres

El equivalente mecánico del circuito LC son las oscilaciones de un sistema formado por una masa puntual unida a un muelle perfectamente elástico. El equivalente hidráulico es un sistema formado por dos vasos comunicantes.

En primer lugar, estudiamos las oscilaciones que se producen en un circuito LC

En la figura de la derecha, se muestra el circuito cuando el condensador se está descargando, la carga q disminuye y la intensidad i aumenta. La fem en la bobina se opone al incremento de intensidad.

La ecuación del circuito es

Vab+Vba=0

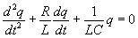
Como i=-dq/dt, ya que la carga q disminuye con el tiempo, llegamos a la siguiente ecuación diferencial de segundo orden

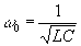
Esta es la ecuación diferencial de un Movimiento Armónico Simple (M.A.S.) de frecuencia angular propia o natural

Carga:

La solución de la ecuación diferencial es

q=Q·sen(w0t+j ),

donde la amplitud Q y la fase inicial j se determinan a partir de las condiciones iniciales, la carga del condensador q0 y la intensidad de la corriente eléctrica en el circuito i0 en el instante inicial t=0.

Intensidad:

Derivando la expresión de la carga q obtenemos la intensidad i

i=dq/dt=Q·w0 ·cos(w0t+j )

Energía:

La energía del circuito en el instante t es la suma de la energía del campo eléctrico en el condensador y la energía del campo magnético en la bobina.

Se puede fácilmente comprobar que la suma de ambas energías es constante e independiente del tiempo.

1oscila3.gif (2398 bytes) 2oscila4.gif (2312 bytes)
3oscila5.gif (2379 bytes) 4oscila6.gif (2350 bytes)

Las figuras representan el estado del oscilador cada cuarto de periodo.

  1. En un instante inicial el condensador está completamente cargado con una carga Q. Toda la energía está acumulada en el condensador en forma de campo eléctrico.
  1. El condensador se empieza a descargar, la intensidad aumenta, en la bobina se produce una fem autoinducida que se opone al incremento de intensidad. Al cabo de un cuarto de periodo, se alcanza la intensidad máxima i=Q·w0
  1. La intensidad empieza a disminuir, en la bobina se produce una fem que se opone a que la intensidad disminuya. El condensador se empieza a cargar, el campo en el condensador cambia de sentido. Al cabo de un cuarto de periodo más, el condensador ha adquirido la carga máxima Q, y la intensidad en la bobina se ha reducido a cero.
  1. Ahora comienza de nuevo a descargarse el condensador, la intensidad aumenta, el campo en la bobina cambia de sentido. Al cabo de un cuarto de periodo más, la intensidad alcanza su valor máximo (en valor absoluto).
  1. La intensidad decrece, el condensador empieza a cargarse, el campo eléctrico en el condensador cambia de sentido. Al cabo de un cuarto de periodo más, se ha alcanzado la situación inicial de partida.

Actividades

Se introduce

  • La capacidad C del condensador, actuando sobre la barra de desplazamiento titulada Condensador
  • La autoinducción L, actuando sobre la barra de desplazamiento titulada Autoinducción
  • La carga inicial del condensador se ha fijado en el programa

Se pulsa el botón titulado Empieza

Se observa la carga del condensador, su color pasa gradualmente de rojo (carga positiva) y azul (carga negativa) a blanco (sin carga), luego se invierten gradualmente los colores. A la derecha del applet, se traza la gráfica de la carga q y de la intensidad i en función del tiempo.

 

LineasApplet aparecerá en un explorador compatible JDK 1.1
                   

 

Circuito LCR. Oscilaciones amortiguadas.

Las oscilaciones libres no se producen en un circuito real ya que todo circuito presenta una resistencia.

En la figura de la derecha, se muestra el circuito cuando el condensador se está descargando, la carga q disminuye y la intensidad i aumenta. La fem en la bobina se opone al incremento de intensidad.

La ecuación del circuito es

Vab+Vbc+Vca=0

Como i=-dq/dt, ya que la carga q disminuye con el tiempo, llegamos a la siguiente ecuación diferencial de segundo orden

La solución de la ecuación diferencial de las oscilaciones amortiguadas es

donde la amplitud Q y la fase inicial j se determinan a partir de las condiciones iniciales, la carga del condensador q0 y la intensidad de la corriente eléctrica en el circuito i0 en el instante inicial t=0.

En las oscilaciones amortiguadas, la amplitud disminuye exponencialmente con el tiempo. La carga máxima del condensador va disminuyendo. La energía del sistema disminuye debido a que se disipa en la resistencia por efecto Joule.

Se presentan dos casos particulares:

Cuando g =w0, entonces la frecuencia de la oscilación w =0, se denomina oscilación crítica

Cuando g >w0, entonces la frecuencia de la oscilación w es un número imaginario, y se denomina oscilación sobreamortiguada.

Es fácil encontrar las relaciones que debe cumplir la capacidad C, resistencia R, y autoinducción L del circuito, para que se presenten los distintos casos de oscilación

  • Amortiguadas
  • Críticas
  • Sobreamortiguadas

 

Circuito LCR conectado a un fem alterna. Oscilaciones forzadas

Las oscilaciones amortiguadas desaparecen al cabo de cierto tiempo, para mantener la oscilación en el circuito podemos conectarla a una fem alterna de frecuencia w .

La ecuación del circuito es

Vab+Vbc+Vcd+Vda=0

Como i=-dq/dt, si la carga q disminuye con el tiempo, llegamos a la siguiente ecuación diferencial de segundo orden

Ecuación similar a la estudiada para describir las oscilaciones forzadas de una masa unida a un muelle elástico.