Autoinducción. Circuito R-L

prev.gif (1231 bytes)home.gif (1232 bytes)next.gif (1211 bytes)

Electromagnetismo

Autoinducción e 
Inducción mutua
marca.gif (847 bytes)Autoinducción.
  Circuito R-L
Circuitos acoplados (I)
Circuitos acoplados (II)
Oscilaciones eléctricas
Circuito LCR conectado
a una batería
El problema de los
dos condensadores
Elementos de un 
circuito de C.A.
Sistema electro-
mecánico oscilante
Medida de la auto-
inducción de un anillo
Circuito LCR en serie
Resonancia
Medida de la velocidad
de la luz en el vacío
Efectos mecánicos de
la ley de Faraday
Caída de un imán
El anillo de Thomson (I)
El anillo de Thomson (II)
Autoinducción

Establecimiento de una corriente en un circuito

Caída de la corriente en un circuito

Energía del campo magnético

Establecimiento y caída de la corriente eléctrica en el circuito

java.gif (886 bytes)Actividades

Solenoide de longitud variable

Referencias

 

Autoinducción

En un circuito existe una corriente que produce un campo magnético ligado al propio circuito y que varía cuando lo hace la intensidad. Por tanto, cualquier circuito en el que exista una corriente variable producirá una fem inducida que denominaremos fuerza electromotriz autoinducida.

Supongamos un solenoide de N espiras, de longitud l y de sección S recorrido por una corriente de intensidad i.

1.- El campo magnético producido por la corriente que recorre el solenoide suponemos que es uniforme y paralelo a su eje, cuyo valor hemos obtenido aplicando la ley de Ampère

2.-Este campo atraviesa las espiras el solenoide, el flujo de dicho campo a través de todas las espiras del solenoide se denomina flujo propio.

3.-Se denomina coeficiente de autoinducción L al cociente entre el flujo propio F y la intensidad i.

Del mismo modo que la capacidad, el coeficiente de autoinducción solamente depende de la geometría del circuito y de las propiedades magnéticas de la sustancia que se coloque en el interior del solenoide. La autoinducción de un solenoide de dimensiones dadas es mucho mayor si tiene un núcleo de hierro que si se encuentra en el vacío

La unidad de medida de la autoinducción se llama henry, abreviadamente H, en honor a Joseph Henry.

f.e.m. autoinducida

Cuando la intensidad de la corriente i cambia con el tiempo, se induce una f.e.m. en el propio circuito (flecha de color rojo) que se opone a los cambios de flujo, es decir de intensidad.

Derivando respecto al tiempo la expresión del flujo propio

La fem autoinducida VL siempre actúa en el sentido que se opone a la variación de corriente.

 

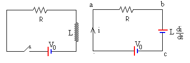
Establecimiento de una corriente en un circuito

Cuando se aplica una fem V0 a un circuito cerrando un interruptor, la corriente no alcanza instantáneamente el valor V0/R dado por la ley de Ohm, sino que tarda un cierto tiempo, teóricamente infinito, en la práctica, un intervalo de tiempo que depende de la resistencia.

La razón de este comportamiento hay que buscarla en el papel jugado por la autoinducción L que genera una fem que se opone al incremento de corriente.

En la figura, se muestra un circuito formado por una batería, una resistencia y una autoinducción. Se conecta la batería y la intensidad i aumenta con el tiempo.

Para formular la ecuación del circuito sustituimos la autoinducción por una fem equivalente. Medimos la diferencia de potencial entre los extremos de cada uno de los tres elementos que forman el circuito. Se cumplirá que

Vab+Vbc+Vca=0

Integrando, hallamos la expresión de i en función del tiempo con las condiciones iniciales t=0, i=0.

Si R/L es grande, como sucede en la mayor parte de los casos prácticos, la intensidad de la corriente alcanza su valor máximo constante V0/R muy rápidamente.

 

Caída de la corriente en un circuito

Si se ha establecido la corriente máxima en el circuito y desconectamos la batería, la corriente no alcanza el valor cero de forma instantánea, sino que tarda cierto tiempo en desaparecer del circuito. De nuevo, la razón de este comportamiento hay que buscarla en el papel jugado por la autoinducción L en la que se genera una fem que se opone a la disminución de corriente.

Para formular la ecuación del circuito sustituimos la autoinducción por una fem equivalente. Medimos la diferencia de potencial entre los extremos de cada uno de los dos elementos que forman el circuito. Se ha de tener en cuenta, que i disminuye con el tiempo por lo que su derivada di/dt<0 es negativa

Vab+Vba=0

Integrando, hallamos la expresión de i en función del tiempo con las condiciones iniciales t=0, i=i0.

La corriente disminuye exponencialmente con el tiempo. En la mayor parte de los casos, R/L es grande, por lo que la corriente desaparece muy rápidamente.

 

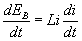
Energía del campo magnético

Hemos visto que para mantener una corriente en un circuito es necesario suministrar energía. La energía suministrada por la batería en la unidad de tiempo es V0· i. Esta energía se disipa, en la resistencia por efecto Joule y se acumula en la autoinducción en forma de energía magnética. De la ecuación del circuito

iR=V0+VL

Multiplicando ambos miembros por la intensidad i.

El término R·i2 es la energía por unidad de tiempo disipada en la resistencia. El primer término V0·i es la energía suministrada por la batería. El último término, es la energía por unidad de tiempo que se necesita para establecer la corriente en la autoinducción o su campo magnético asociado.

Simplificando dt e integrando entre 0 e i, obtenemos

Esta es la energía acumulada en forma de campo magnético, cuando circula por la bobina una corriente de intensidad i.

Para un solenoide la energía en forma de campo magnético que guarda en su interior se escribe

La energía EB es el producto de dos términos: la densidad de energía magnética (energía por unidad de volumen) y el volumen S·l. En general, la energía asociada a un campo magnético se calcula mediante la siguiente fórmula

La integral se extiende a todo el espacio donde el campo magnético B es no nulo.

Comprobación

  • Cuando se cierra el circuito

La energía suministrada por la batería hasta el instante t es

La energía disipada en la resistencia es

La energía acumulada en la autoinducción en forma de campo magnético es

Como podemos comprobar E0=ER+EB

  • Cuando se abre el circuito y cae la corriente, toda la energía acumulada en la autoinducción se disipa en la resistencia.

La energía inicial acumulada en la bobina, cuando la intensidad es i0

Al abrir el circuito la intensidad disminuye exponencialmente con el tiempo. La energía por unidad de tiempo disipada en la resistencia por efecto Joule será P=i2R

Integrando entre cero e infinito obtenemos la energía total disipada.

 

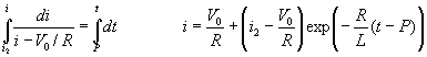
Establecimiento y caída de la corriente eléctrica en el circuito

Un circuito RL se conecta a un generador de señales cuadradas, podemos observar en un osciloscopio el proceso de establecimiento y caída de la corriente en el circuito. Una experiencia análoga la efectuamos para verificar el proceso de carga y descarga de un condensador a través de una resistencia.

Como se ve en la figura, durante el primer semiperiodo de la señal, la fem tiene un valor constante e igual a V0. Se establece la corriente en el circuito durante un tiempo P/2.

La intensidad i en el intervalo 0<t<P/2 es

Se calcula la intensidad final i1 en el instante t=P/2. En este instante, la fem se hace cero, la corriente cae en el circuito.

La corriente i en el intervalo P/2<t<P es,

Se calcula la intensidad final i2 en el instante t=P

La corriente i en el intervalo P<t<3P/2 es, se obtiene integrando no es entre los límites 0 y i, sino entre la intensidad remanente i2 e i.

Calculamos la intensidad final i3 en el instante t=P+P/2. Y así, sucesivamente.

 

Actividades

Introduciendo una señal cuadrada en el circuito RL, observamos el establecimiento y caída de una corriente en un circuito. Representamos conjuntamente la fem V0 y la diferencia de potencial en los extremos de la resistencia vR=iR en la pantalla de un "osciloscopio".

Se introduce

  • La resistencia R en W
  • La autoinducción L (en mH ó 10-3 H)
  • La fem V0, en voltios
  • La frecuencia f en Hz de la señal cuadrada. El periodo P es la inversa de la frecuencia, P=1/f . Por ejemplo, si la frecuencia es 40 Hz el periodo es 0.025 s

Se pulsa en el botón titulado Gráfica.

Ejemplo

  • R=2 Ω

  • L=6.5·10-3 H

  • f=40 Hz

  • V0=7.0 V

El periodo es P=1/f=0.025 s

En el instante t=P/2=0.0125 s la intensidad vale

La diferencia de potencial en los extremos de la resistencia es VR=i1·R=6.85 V

En el instante t=P=0.025 s la intensidad vale

La diferencia de potencial en los extremos de la resistencia es VR=i2·R=0.15 V

En el instante t=3P/2=0.0375 s la intensidad vale

La diferencia de potencial en los extremos de la resistencia es VR=i3·R=6.85 V

y así, sucesivamente

 

FemApplet aparecerá en un explorador compatible JDK 1.1
                                     
 

Solenoide de longitud variable

En la página “Condensador plano-paralelo” estudiamos los cambios energéticos que ocurrían cuando se desplazaba una de las placas del condensador plano-paralelo conectado a una batería.

Las placas de signos opuestos se atraen, con una fuerza que hemos calculado ½qE, la mitad del producto de la carga q de las placas por el campo eléctrico uniforme existente E entre las placas.

El solenoide está formado por espiras. Cuando la corriente pasa por el solenoide las espiras se atraen, debido a que las corrientes circulan en el mismo sentido. Resulta complicado calcular la fuerza de atracción entre las espiras. La fuerza F (véase la figura) que tenemos que ejercer para incrementar la separación entre las espiras, es decir, la longitud del solenoide se puede calcular de forma indirecta.

Cuando se conecta una batería V0 a una resistencia R y una autoinducción L, la corriente se incrementa, la autoinducción se comporta como una batería VL que se opone al incremento de la corriente, el circuito equivalente de la parte derecha de la figura.

donde la autoinducción L ahora no es constante.

La ecuación del circuito

Vab+Vbc+Vcd+Vda=0

Multiplicando por la intensidad,

Teniendo en cuenta que

Tenemos la relación

La ecuación de la energía del circuito se escribe

  • El primer término, es la energía por unidad de tiempo suministrada por la batería

  • El segundo, es la energía por unidad de tiempo, que se pierde en la resistencia

  • El tercer término, es la energía por unidad de tiempo que se acumula en la autoinducción en forma de campo eléctrico.

  • El cuarto término, ha de ser la energía por unidad de tiempo suministrada por la fuerza externa  F aplicada (potencia).

La batería y el trabajo de la fuerza externa contribuyen, por una parte, a incrementar la energía del campo magnético en el interior del solenoide y por la otra a calentar la resistencia.

En el caso de un solenoide de longitud l, formado por N espiras de sección S

Despejamos la fuerza F

Donde el término entre paréntesis es precisamente el campo magnético en el interior de un solenoide.

Un argumento similar, se puede emplear para determinar la fuerza necesaria para incrementar la sección S de las espiras, manteniendo constantes la longitud del solenoide y el número de espiras.

 

Referencias

Para el último apartado: "Solenoide de longitud variable"

Blanchard C. H. Magnetic pressure and tension via the solenoid. Am .J Phys. 44 (9) September 1976, pp. 891-892