Dos discos que se acoplan (I)

prev.gif (1231 bytes)home.gif (1232 bytes)next.gif (1211 bytes)

Sólido rígido

Conservación del
momento angular
marca.gif (847 bytes)Discos que se
  acoplan (I)
Discos que se
acoplan (II)
Conservación del 
momento angular
Giros del patinador de
hielo
Analogía con choque
frontal elástico
Péndulo balístico (II)
Caja que puede
volcar
Choque inelástico
bala-disco en rotación
Transferencia de la 
velocidad en un choque
Conservación 
m. lineal y m. angular
Choque disco-pared
Choque disco-disco (I)
Choque disco-disco (II)
Fundamentos físicos

El papel de las fuerza internas

java.gif (886 bytes)Actividades

 

Tenemos dos discos, el inferior tiene un radio de 1 m y superior tiene un radio de 0.5 m que pueden girar alrededor del mismo eje pero con velocidades angulares distintas. En un momento dado, el disco superior cae y se acopla al disco inferior. Se pide calcular la velocidad angular de rotación del conjunto de los dos discos acoplados.

Mediante esta simulación, se quiere mostrar que las fuerza interiores o de interacción mutua entre las partículas del sistema no afectan al estado final del sistema.

 

Fundamentos físicos

Tenemos un sistema formado por dos discos que giran alrededor de un eje común. El momento de las fuerzas exteriores respecto del eje de rotación O es nulo, por lo que se conserva el momento angular

El momento angular de un sólido en rotación alrededor de un eje fijo con velocidad angular w es L=Iw

La fórmula del momento de inercia I0 de un disco respecto a un eje de rotación perpendicular al disco y que pase por su centro es

discos.gif (2876 bytes)

Momento angular antes del acoplamiento

El momento angular del sistema antes del acoplamiento es la suma de los momentos angulares de cada uno de los discos

L=I1w1+ I2w2

Donde w1 y w2 son las velocidades angulares iniciales antes del acoplamiento.

Momento angular después del acoplamiento

Después del acoplamiento ambos discos llevan una velocidad angular común w .

L=I1w + I2w

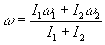
Principio de conservación del momento angular

Despejando la velocidad angular w , tenemos

Esta fórmula es similar al choque entre una bala y un bloque, cuando la bala se incrusta en el bloque.

Balance energético

Energía antes del acoplamiento

Energía después del acoplamiento

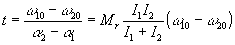
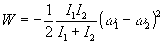
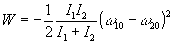
El trabajo de la fuerza de rozamiento en el acoplamiento es W=Ef-Ei. Haciendo algunas simplificaciones podemos llegar a esta expresión final

La energía final es siempre menor que la inicial Ef<Ei

 

El papel de las fuerza internas

La velocidad angular de los discos acoplados cambia desde las velocidades angulares iniciales w1 y w2 a la velocidad angular final w a lo largo de un tiempo t.

Sobre los discos actúan fuerzas interiores de rozamiento entre las superficies en contacto de modo que, uno de los discos se acelera y el otro se decelera hasta que adquieren la misma velocidad angular final w.

discos1.gif (2720 bytes) Estas fuerza interiores ejercen un momento Mr. Imaginemos que w1 > w2, el momento Mr se opone a w1 decelerando el disco inferior y acelerando el disco superior tal como se muestra en la figura.

Imaginemos que ambos discos tienen momentos de inercia iguales I1=I2 y velocidades angulares iguales y de sentido contrario w1 =- w2, el momento Mr hace disminuir ambas velocidades, hasta que la velocidad angular final del conjunto es cero, tal como predice el principio de conservación del momento angular.

Ecuación de la dinámica de rotación

Formulamos la ecuación de la dinámica de rotación para cada uno de los discos

-Mr=I1·a1
Mr=I2·a2

Suponiendo que Mr es constante, las aceleraciones angulares son constantes, las velocidades angulares valdrán

w1 =w10 +a1t
w2=w20+a2t

donde w10 y w20 son las velocidades angulares iniciales en el instante t=0.

A partir de estas ecuaciones se puede calcular el tiempo t que tardan los discos en adquirir la misma velocidad angular w1=w2=w.

También podemos calcular el desplazamiento de cada uno de los discos durante el intervalo de tiempo t.

Trabajo de las fuerzas internas

El trabajo del momento de la fuerza de rozamiento es

W=-Mr·q1+Mr·q2

Como vemos por las flechas en la figura, Mr es opuesto al desplazamiento q1 (trabajo negativo), y es del mismo sentido que el desplazamiento q2 (trabajo positivo).

Haciendo algunas operaciones podemos llegar en pocos pasos a la misma expresión para W que la que obtuvimos a partir del balance energético después de aplicar el principio de conservación del momento angular. Pero ahora podemos interpretar mejor el origen de la disipación de la energía durante el tiempo t que dura el acoplamiento (hasta que los discos alcanzan la misma velocidad angular final).

Ejemplos

Ejemplo 1º:

  • Momentos de inercia

Sea m1=0.2 kg, r1=1.0 m, I1=0.1 kg·m2
Sea m2=0.8 kg, r2=0.5 m, I2=0.1 kg·m2

  • Velocidades angulares iniciales

Sea w1=2 rad/s
Sea w2=0 rad/s

  1. Principio de conservación del momento angular

0.1·2+0.1·0=(0.1+0.1)·w , por lo que w =1 rad/s

  • Balance energético

Ei=0.2 J
Ef=0.1 J
W=Ef-Ei=-0.1 J

  1. Fuerzas internas

Sea el momento de las fuerza se rozamiento Mr=0.1 N·m. Calculamos las aceleraciones angulares de cada disco

-0.1=0.1·a1
0.1=0.1·a2

Ahora las velocidades angulares finales

w1 =2-1·t
w2=
0+1·t

Las velocidades angulares w1 =w2 se hacen iguales en el instante t=1 s después de haberse acoplado. En este instante la velocidad angular común es 1 rad/s

  • Balance energético

Desplazamientos (ángulo girado por cada disco en el tiempo t)

q1=1.5 rad
q2=0.5 rad

Trabajo del momento de las fuerzas de rozamiento

W=-0.1·1.5+0.1·0.5=-0.1 J

El momento de las fuerzas de rozamiento se opone al desplazamiento del primer disco y favorece el del segundo

Obtenemos el mismo valor que en el apartado 1º

Ejemplo 2º

Un caso interesante se produce cuando ambos discos tienen el mismo momento de inercia, y velocidades angulares iguales y de sentido contrario

  • Momentos de inercia

Sea m1=0.2 kg, r1=1.0 m, I1=0.1 kg·m2
Sea m2=0.8 kg, r2=0.5 m, I2=0.1 kg·m2

  • Velocidades angulares iniciales

Sea w1=-4 rad/s
Sea w2=4 rad/s

  1. Principio de conservación del momento angular

0.1·4-0.1·4=(0.1+0.1)·w , por lo que w =0 rad/s

Los discos se paran después de acoplarse

  • Balance energético

Ei=1.6 J
Ef=0.0 J

La pérdida de energía durante el acoplamiento

W=Ef-Ei=-1.6 J

  1. Fuerzas internas

Sea el momento de las fuerza se rozamiento Mr=0.1 N·m. Calculamos las aceleraciones angulares de cada disco

-0.1=0.1·a1
0.1=0.1·a2

Ahora las velocidades angulares finales

w1 =4-1·t
w2=
-4+1·t

Las velocidades angulares w1 =w2 se hacen iguales en el instante t=4 s después de haberse acoplado. En este instante la velocidad angular final común es cero

  • Balance energético

Desplazamientos (ángulo girado por los discos) durante el tiempo t

q1=8 rad
q2=-8 rad

Trabajo del momento de las fuerzas de rozamiento

W=-0.1·8+0.1·(-8)=-1.6 J

Fijarse ahora que el momento de las fuerzas de rozamiento se opone al desplazamiento de ambos discos

 

Actividades

Se introduce:

  • Masa del disco inferior m1 (kg)
  • El radio del disco inferior está fijado en el programa r1=1 m
  • Velocidad angular inicial w1 (rad/s)
  • Masa del disco superior m2 (kg)
  • El radio del disco superior está fijado en el programa r2=0.5 m
  • Velocidad angular inicial w2 (rad/s)
  • Momento de las fuerzas de rozamiento entre los discos Mr (N·m)

Se pulsa el botón titulado Inicio.

Los discos empiezan a girar primero uno independientemente del otro. En la parte izquierda del applet, tenemos un diagrama de dos barras, una para la energía y otra para el momento angular.

Se pulsa el botón titulado Empieza

Se activa un mecanismo que hace que el disco superior se acople con el inferior (véase el dibujo en la parte inferior del applet).

Cuando están acoplados empieza a actuar el momento de las fuerzas de rozamiento.

En la parte derecha del applet, observamos la evolución de la velocidad angular de cada disco en función del tiempo. Podemos comprobar que la magnitud del momento de la fuerza de rozamiento no afecta a la velocidad angular final común de ambos discos. Tan sólo, al tiempo que tardan en alcanzar dicho estado final.

En la parte izquierda del applet, se muestra la energía y el momento angular de cada uno de los discos. La conservación del momento angular no implica la conservación de la energía. El efecto del acoplamiento es la disminución de la energía inicial que se pierde en forma de calor debido al rozamiento entre ambos discos, mientras que el momento angular permanece constante. El momento angular de un disco aumenta, el del otro disminuye pero la suma es constante.

stokesApplet aparecerá en un explorador compatible con JDK 1.1.