Movimiento bajo la acción de fuerzas centrales. Conservación del momento angular

prev.gif (1231 bytes)home.gif (1232 bytes)next.gif (1211 bytes)

Sólido rígido

Conservación del
momento angular
Discos que se
acoplan (I)
Discos que se
acoplan (II)
marca.gif (847 bytes)Conservación del 
 momento angular
Giros del patinador de
hielo
Analogía con choque
frontal elástico
Péndulo balístico (II)
Caja que puede
volcar
Choque inelástico
bala-disco en rotación
Transferencia de la 
velocidad en un choque
Conservación 
m. lineal y m. angular
Choque disco-pared
Choque disco-disco (I)
Choque disco-disco (II)

Momento angular

Movimiento de las masas deslizantes

Curvas de energía potencial

Actividades

Referencias

 

En esta página, se simula una experiencia de laboratorio que nos muestra la conservación del momento angular. Consta de una varilla horizontal que supondremos de masa despreciable que gira alrededor de un eje vertical que pasa por su centro con velocidad angular ω. A lo largo de la varilla, deslizan sin rozamiento dos masas puntuales iguales.

Las partículas deslizantes, de masa m/2 cada una, están unidas mediante cuerdas a un bloque de masa M que cuelga, tal como se muestra en la figura.

Inicialmente, se fijan las masas puntuales a una distancia r0 del eje de rotación y el sistema gira con velocidad angular ω0. Se liberan las masas deslizantes mediante algún dispositivo y se observa el movimiento del sistema.

 

Momento angular

El momento angular inicial es el producto del momento de inercia por la velocidad angular ω0. El momento de inercia es la suma del momento de inercia de la varilla que supondremos despreciable y el de las dos masas deslizantes iguales que distan r0 del eje de rotación

 

El momento angular, cuando las masas deslizantes se encuentran a una distancia r del eje de rotación, vale

L=mω2r

Como las fuerzas que actúan sobre el sistema pasan por el eje de rotación. La constancia del momento angular implica que cuando las masas deslizantes se alejan del eje de rotación la velocidad angular ω disminuye y cuando se acercan ω aumenta.

 

Movimiento de las masas deslizantes

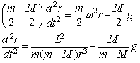
Para estudiar el movimiento de las dos masas deslizantes y del bloque que cuelga, nos situamos en el Sistema de Referencia no inercial que gira con la varilla con velocidad angular ω. Consideremos el sistema formado por una masa deslizante situada a una distancia r del eje de rotación y medio bloque que cuelga.

Bajo la acción de estas fuerzas, las masas deslizantes experimentan una aceleración a=d2r/dt2 en la dirección radial, a lo largo de la varilla; el bloque se mueve verticalmente con la misma aceleración. La segunda ley de Newton se escribe

 

Resolvemos esta ecuación diferencial mediante procedimientos numéricos con las siguientes condiciones iniciales: en el instante t=0, la velocidad radial de la masa deslizante es dr/dt=0, y su distancia al eje r=r0.

Conocida la distancia r de las masas deslizantes al eje de rotación en el instante t, se calcula la velocidad angular ω de rotación sabiendo que el momento angular L permanece constante.

La posición de equilibrio re, cuando la fuerza neta sobre la masa deslizante es cero, es

 

Curvas de energía potencial

La energía inicial del sistema, cuando las masas se encuentran sujetas, es la suma de

  • la energía cinética de las dos masas deslizantes que se mueven con velocidad tangencial ω0·r0.
  • la energía potencial del bloque de masa M que está a una altura r0 sobre el origen.

Al cabo de un cierto tiempo t, las masas deslizantes distan r del eje de rotación, y la varilla gira con velocidad angular ω=dθ/dt. Cada una de las masas lleva una velocidad en la dirección radial vr=dr/dt y en la dirección tangencial vθ=r(dθ/dt). El bloque se mueve con velocidad vr=dr/dt. La energía total del sistema es

  • El primer término, es la energía cinética del bloque

  • El segundo término, es la energía cinética de las masas deslizantes

  • El tercer término, es la energía potencial del bloque que cuelga

Teniendo en cuenta que el momento angular es constante, podemos escribir la energía E del sistema en función de r y de su derivada dr/dt,

Si dividimos la energía E entre las dos masas iguales, podemos considerar que cada una de ellas se mueve en un potencial efectivo

La fuerza resultante sobre cada una de las masas se obtiene derivando la energía potencial y cambiando de signo.

que como vemos es la diferencia entre la fuerza centrífuga y la fuerza que ejerce el medio bloque que cuelga.

En la figura, vemos la representación gráfica de la energía potencial efectiva Vef(r) cuando las  masas deslizantes salen de la posición inicial r0, con velocidad radial nula dr/dt=0. Si su energía total es E (recta horizontal), las masas llegan a la posición de retorno r1 al cabo de un cierto tiempo, cambian el sentido de la velocidad radial y regresan a la posición r0, oscilando con un determinado periodo.

La posición de retorno r1 se calcula resolviendo la ecuación Vef(r)=E

Como una de las raíces es r0, la ecuación cúbica se transforma en una ecuación de segundo grado

La raíz positiva de la ecuación de segundo grado es

Como vemos en la figura, la curva de la energía potencial efectiva presenta un mínimo, en la posición re. Este mínimo se obtiene igualando la derivada primera de Vef(r)  a cero, es decir, cuando f(r)=-dVef(r)/dr=0

Ejemplo

  • Masa de las partículas deslizantes m/2=0.5 kg

  • Masa del bloque que cuelga M=0.5 kg

  • Velocidad angular inicial de rotación ω0=1.0 rad/s

  • Las masas deslizantes se liberan cuando su distancia al eje de rotación es r0=0.6 m

Momento angular

La energía del sistema es

Posición de equilibrio es

Posición de retorno dr/dt=0 de las masas deslizantes es

La velocidad angular ω1 de rotación cuando las masas deslizantes se encuentran en esta posición es

Las masas deslizantes oscilan entre las posiciones r0 y r1.

 

Actividades

Se introduce

  • La masa M del bloque que cuelga, en el control de edición titulado Masa bloque

  • La masa de las dos partículas deslizantes se ha fijado en m=1 kg, 0.5 kg cada una

  • La velocidad angular inicial de rotación se ha fijado en ω0=1 rad/s

  • La distancia r0 de las masas deslizantes al eje de rotación, actuando en la barra de desplazamiento titulada Distancia al eje

Se pulsa el botón titulado Nuevo

Se observa el sistema en el estado inicial. Las masas deslizantes fijadas a la distancia r0 del eje de rotación, el bloque a una altura r0 por encima del origen. La varilla y las masas deslizantes están girando con velocidad angular uniforme de ω0=1 rad/s.

Se pulsa el botón titulado Empieza

Se liberan las masas deslizantes y se observa su movimiento a lo largo de la varilla y del bloque hacia arriba y hacia abajo. Se dibujan las fuerzas sobre una masa deslizante:

  • La fuerza centrífuga, en color rojo

  • La mitad del peso del bloque que cuelga, en color azul.

El programa interactivo resuelve la ecuación diferencial del movimiento de las masas deslizantes a lo largo de la dirección radial por el procedimiento de Runge-Kutta. Verifica que se cumple el principio de conservación de la energía, comparando la energía inicial del sistema E0 y la energía E del sistema en el instante t.

Se denomina error relativo al cociente

Si esta cantidad es mayor que el 1% ó 0.01 el programa interactivo se detiene, e invita al usuario a disminuir la masa del bloque.

Si se activa la casilla titulada Gráfica, podemos ver la curva de la energía potencial efectiva de una masa deslizante, Vef(r) en función de la distancia r al eje de rotación. Para una energía total E de la masa deslizante (línea horizontal de color negro), se muestra:

  • la energía potencial, un segmento vertical de color rojo

  • la energía cinética correspondiente al movimiento en la dirección radial, un segmento de color azul.

En las posiciones extremas de retorno, la velocidad radial es cero.

En el mínimo, la masa deslizante está en equilibrio.

 
stokesApplet aparecerá en un explorador compatible con JDK 1.1.

 

Referencias

Telfair D., Brooks J. T., Motion subject to a central force. An apparatus for demostrating orbital stability. Am. J. Phys. 30 (1962) pp.561-564