Ecuación de la dinámica de rotación

prev.gif (1231 bytes)home.gif (1232 bytes)next.gif (1211 bytes)

Sólido rígido

Dinámica de rotación
marca.gif (847 bytes)Ecuación de la
 dinámica de rotación
Momentos de inercia
Dinámica de rotación
y balance energético
Péndulo de torsión
Péndulo compuesto
El columpio
Rozamiento en el
movimiento de rotación
El oscilador de 
"Atwood"
Varilla inclinada
Lápiz que cae (I)
Lápiz que cae (II)
Escalera que desliza
Escalera, estática y
dinámica
Momento angular de una partícula

Momento angular de un sólido rígido

Teorema de Steiner

Energía cinética de rotación

Ecuación de la dinámica de rotación

Principio de conservación del momento angular

Trabajo y energía en el movimiento de rotación

Impulso angular

 

Momento angular de una partícula

solido9.gif (1625 bytes) Se define momento angular de una partícula respecto de del punto O, como el producto vectorial del vector posición r por el vector momento lineal mv

L=r´mv

 

Momento angular de un sólido rígido

Las partículas de un sólido rígido en rotación alrededor de un eje fijo describen circunferencias centradas en el eje de rotación con una velocidad que es proporcional al radio de la circunferencia que describen vi=w ·ri

solido1.gif (2318 bytes) En la figura, se muestra el vector momento angular Li de una partícula de masa mi cuya posición está dada por el vector ri y que describe una circunferencia de radio Ri con velocidad vi.

El módulo del vector momento angular vale Li=rimivi

Su proyección sobre el eje de rotación Z es

Liz=miviricos(90-q i), es decir,

El momento angular de todas las partículas del sólido es

La proyección Lz del vector momento angular a lo largo del eje de rotación es

El término entre paréntesis se denomina momento de inercia

En general, el vector momento angular L no tiene la dirección del eje de rotación, es decir, el vector momento angular no coincide con su proyección Lz a lo largo del eje de rotación. Cuando coinciden se dice que el eje de rotación es un eje principal de inercia.

Para estos ejes existe una relación sencilla entre el momento angular y la velocidad angular, dos vectores que tienen la misma dirección, la del eje de rotación

L=Iw

El momento de inercia no es una cantidad característica como puede ser la masa o el volumen, sino que su valor depende de la posición del eje de rotación. El momento de inercia es mínimo cuando el eje de rotación pasa por el centro de masa.

Cuerpo

Momento de inercia Ic

Varilla delgada de longitud L

Disco y cilindro de radio R

Esfera de radio R

Aro de radio R

mR2

 

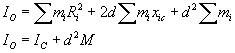
Teorema de Steiner

El teorema de Steiner es una fórmula que nos permite calcular el momento de inercia de un sólido rígido respecto de un eje de rotación que pasa por un punto O, cuando conocemos el momento de inercia respecto a un eje paralelo al anterior y que pasa por el centro de masas.

El momento de inercia del sólido respecto de un eje que pasa por O es

El momento de inercia respecto de un eje que pasa por C es

Para relacionar IO e IC hay que relacionar ri y Ri.

solido2.gif (1778 bytes)

En la figura, tenemos que

El término intermedio en el segundo miembro es cero ya que obtenemos la posición xC del centro de masa desde el centro de masa.

Ejemplo

Sea una varilla de masa M y longitud L, que tiene dos esferas de masa m y radio r simétricamente dispuestas a una distancia d del eje de rotación que es perpendicular a la varilla y pasa por el punto medio de la misma.

Un péndulo consiste en una varilla de masa M y longitud L, y una lenteja de forma cilíndrica de masa m y radio r. El péndulo puede oscilar alrededor de un eje perpendicular a la varilla que pasa por su extremo O

 

Energía cinética de rotación

Las partículas del sólido describen circunferencias centradas en el eje de rotación con una velocidad que es proporcional al radio de la circunferencia que describen vi=w ·Ri . La energía cinética total es la suma de las energías cinéticas de cada una de las partículas. Esta suma se puede expresar de forma simple en términos del momento de inercia y la velocidad angular de rotación

 

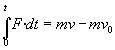
Ecuación de la dinámica de rotación

Consideremos un sistema de partículas. Sobre cada partícula actúan las fuerzas exteriores al sistema y las fuerzas de interacción mutua entre las partículas del sistema. Supongamos un sistema formado por dos partículas. Sobre la partícula 1 actúa la fuerza exterior F1 y la fuerza que ejerce la partícula 2, F12. Sobre la partícula 2 actúa la fuerza exterior F2 y la fuerza que ejerce la partícula 1, F21.

Por ejemplo, si el sistema de partículas fuese el formado por la Tierra y la Luna: las fuerzas exteriores serían las que ejerce el Sol ( y el resto de los planetas) sobre la Tierra y sobre la Luna. Las fuerzas interiores serían la atracción mutua entre estos dos cuerpos celestes.

solido3.gif (1958 bytes) Para cada unas de las partículas se cumple que la variación del momento angular con el tiempo es igual al momento de la resultante de las fuerzas que actúan sobre la partícula considerada.

Sumando miembro a miembro, aplicando la propiedad distributiva del producto vectorial, y teniendo en cuanta la tercera Ley de Newton, F12=-F21, tenemos que

Como los vectores r1-r2 y F12 son paralelos su producto vectorial es cero. Por lo que nos queda

La derivada del momento angular total del sistema de partículas con respecto del tiempo es igual al momento de las fuerzas exteriores que actúan sobre las partículas del sistema.

Consideremos ahora que el sistema de partículas es un sólido rígido que está girando alrededor de un eje principal de inercia, entonces el momento angular L=w, la ecuación anterior la escribimos

Momento angular de un sistema de partículas

Consideremos el sistema de dos partículas de la figura anterior. El momento angular total del sistema respecto del origen es

L=r1´ m1·v1+r2´ m2·v2

Calculamos el momento angular respecto del centro de masas

r1cm=r1-rcm
r2cm=r2-rcm

v1cm=v1-vcm
v2cm=v2-vcm

El momento angular respecto del origen es la suma de dos contribuciones:

L=(r1cm+rcm) ´ m1·(v1cm+vcm)+ (r2cm+rcm) ´ m2·(v2cm+vcm)=

(r1cm ´ m1·v1cm)+ (r2cm ´ m2·v2cm)+ rcm´ (m1·v1cm+ m2·v2cm)+ (m1·r1cm+ m2·r2cm) ´ vcm

De la definición de posición y velocidad del centro de masas, tenemos que

m1·v1cm+ m2·v2cm=0,
m1·r1cm+ m2·r2cm=(m1+m2)·rcm

L=Lcm+(m1+m2rcm ´ vcm

En general, para un sistema de partículas de masa total m

L=Lcm+m·rcm ´ vcm

El primer término, es el momento angular interno relativo al sistema c.m. y el último término, el momento angular externo relativo al sistema de laboratorio, como si toda la masa estuviera concentrada en el centro de masa.

Relación entre el momento de las fuerzas exteriores Mext y el momento angular interno Lcm.

El momento de las fuerzas exteriores respecto del origen es la suma de dos contribuciones

Mext= r1´F1+r2´ F2=(r1cm+rcm) ´ F1+(r2cm+rcm) ´ F2= r1cm´ F1+r2cm´ F2+ rcm´ (F1+F2)=

Mcm+ rcm´ (F1+F2).

Mext= Mcm+ rcm´ Fext.

El primer término es el momento de las fuerzas exteriores relativo al c.m. y el segundo es el momento de la fuerza resultante F1+F2 como si estuviera aplicada en el centro de masas.

Derivando respecto del tiempo el momento angular total L, tenemos

Teniendo en cuenta que el segundo término es el producto vectorial de dos vectores paralelos y que la ecuación del movimiento del c.m. es

resulta

Como hemos demostrado en el apartado anterior que

Se obtiene la relación

Estas dos relaciones son idénticas pero existen diferencias en su interpretación. En la primera se evalúa el momento angular L y el momento de las fuerzas exteriores Mext respecto de un punto fijo O (origen del sistema de coordenadas) en un sistema de referencia inercial. La segunda se evalúa el momento angular Lcm y el momento de las fuerzas Mcm respecto al sistema de referencias del centro de masas incluso si no está en reposo con relación al sistema inercial de referencia O.

Esta última relación, es la que emplearemos para describir el movimiento del c.m. de un sólido rígido.

Vamos a estudiar con más detalle la validez de la relación

Siendo A un punto arbitrario, LA el momento angular del sistema de partículas respecto de A y MA el momento total de las fuerzas externas respecto del mismo punto.

La posición de la partícula i respecto al origen del sistema de referencia inercial es ri, la posición de dicha partícula respecto de A es riA. En la figura, se muestra la relación entre estos dos vectores

ri=rA+riA

La velocidad de la partícula i respecto del sistema de referencia inercial es vi, y del punto A es vA.

El momento angular del sistema de partículas respecto de A, LA es

Sea Fi la fuerza exterior que actúa sobre la partícula i. La segunda ley de Newton afirma que

El momento de las fuerzas exteriores respecto de A es

Como la posición del centro de masas rcm se define

Siendo M la masa total del sistema de partículas, llegamos a la relación

Podemos obtener la misma relación derivando el momento angular LA respecto del tiempo

Cuando el término M(rcm-rAaA desaparece, la relación MA=dLA/dt se cumple. Esto ocurre en los siguientes casos:

  • Cuando el punto A coincide con el centro de masas rcm=rA

  • Cuando la aceleración de A es cero aA =0, es decir, A se mueve con velocidad constante.

  • Cuando la aceleración de A, aA es paralela al vector (rcm-rA)

En los ejemplos de la sección Movimiento general de un sólido rígido emplearemos únicamente la relación

El momento angular Lcm del sólido rígido y el momento de las fuerzas exteriores Mcm se calculan con respecto del centro de masas.

 

Principio de conservación del momento angular

El principio de conservación del momento angular afirma que si el momento de las fuerzas exteriores es cero (lo que no implica que las fuerzas exteriores sean cero, que sea un sistema aislado), el momento angular total se conserva, es decir, permanece constante.

 

Trabajo y energía en el movimiento de rotación

En otra página relacionamos el trabajo de la resultante de las fuerzas que actúan sobre una partícula con la variación de energía cinética de dicha partícula.

trabajo_rot.gif (1827 bytes) Considérese un cuerpo rígido que puede girar alrededor de un eje fijo tal como se indica en la figura. Supongamos que se aplica una fuerza exterior F en el punto P. El trabajo realizado por dicha fuerza a medida que el cuerpo gira recorriendo una distancia infinitesimal ds=rdq en el tiempo dt es

senf es la componente tangencial de la fuerza, la componente de la fuerza a lo largo del desplazamiento. La componente radial de la fuerza no realiza trabajo, ya que es perpendicular al desplazamiento.

El momento de la fuerza es el producto de la componente tangencial de la fuerza por el radio. La expresión del trabajo la podemos escribir de forma alternativa

El trabajo total cuando el sólido gira un ángulo q es

En la deducción se ha tenido en cuenta la ecuación de la dinámica de rotación M=Ia , y la definición de velocidad angular y aceleración angular.

Se obtiene una ecuación análoga al teorema trabajo-energía para una partícula. El trabajo de los momentos de las fuerzas que actúan sobre un sólido rígido en rotación alrededor de un eje fijo modifica su energía cinética de rotación.

 

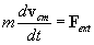
Impulso angular

En la dinámica de una partícula vimos el concepto de impulso lineal. Una fuerza aplicada durante un tiempo modifica el momento lineal (la velocidad de la partícula).

En el caso de un sólido en rotación la magnitud equivalente se denomina impulso angular.

impulso_a.gif (1803 bytes) El momento de las fuerzas que se aplican durante un tiempo t a un sólido rígido en movimiento de rotación alrededor de un eje fijo, modifica el momento angular del sólido en  rotación.