El péndulo balístico (I)

prev.gif (1231 bytes)home.gif (1232 bytes)next.gif (1211 bytes)

Dinámica

Colisiones
Carro que dispara
un proyectil
Caída libre y 
sucesivos rebotes
Choque de dos 
esferas iguales
Choques frontales
Choques frontales
elásticos
Choques elásticos
en un carril
Choques frontales
verticales
Choque inelástico 
de duración finita
marca.gif (847 bytes)Péndulo balístico
No se conserva el
momento lineal
Choque entre una 
partícula y un bloque
unido a un muelle
Medida de la veloci-
dad de una bala 
Choques bidimen
sionales
Conservación del 
momento lineal
Fundamentos físicos

java.gif (886 bytes)Actividades

Trayectoria circular y parabólica

 

Se dispara horizontalmente una bala contra un bloque suspendido de una cuerda. Este dispositivo se denomina péndulo balístico y se usa para determinar la velocidad de la bala midiendo el ángulo que se desvía el péndulo después de que la bala se haya incrustado en él. Supondremos que el bloque es una masa puntual suspendido de una cuerda inextensible y sin peso. En el capítulo Sólido rígido, estudiaremos una segunda versión del péndulo balístico en el que la cuerda es sustituida por una varilla rígida y el bloque por un cilindro.

 

Fundamentos físicos

De la conservación del momento lineal obtenemos la velocidad vB inmediatamente después del choque del sistema formado por el péndulo y la bala incrustada en él.

Si M es la masa del bloque, m la masa de la bala y u su velocidad, dicho principio se escribe

mu=(m+M)vB

Después de la colisión pueden ocurrir los siguientes casos, (véase el bucle) dependiendo del valor de la energía cinética adquirida por el sistema formado por el péndulo y la bala incrustada en él.

  1. Que el ángulo máximo de desviación del péndulo no supere los 90º
choques6.gif (1128 bytes) La conservación de la energía se escribe

    Midiendo el ángulo q  obtenemos vB y de la conservación del momento lineal obtenemos la velocidad de la bala u.

  1. Que el péndulo dé vueltas
choques7.gif (1122 bytes)

Ahora bien, la velocidad en el punto más alto C debe superar un valor mínimo.

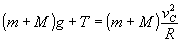
De las ecuaciones de la dinámica del movimiento circular tenemos que

    Siendo T  la tensión de la cuerda. La velocidad mínima se obtiene cuando T=0,

    . Entonces

  1. Que el péndulo se desvíe un ángulo comprendido entre 90º y 180º
choques8.gif (1230 bytes) De la dinámica del movimiento circular y el principio de conservación de la energía tenemos que

La cuerda del péndulo deja de tener efecto en el instante en el que su tensión es cero T=0. Por lo que

En dicho instante, la partícula se mueve bajo la única fuerza de su propio peso describiendo un movimiento curvilíneo bajo la aceleración constante de la gravedad o un tiro parabólico

choques9.gif (2539 bytes) En dicho instante, la partícula se mueve bajo la única fuerza de su propio peso describiendo un movimiento curvilíneo bajo la aceleración constante de la gravedad o un tiro parabólico

v0x=v·cos(180-θ)
v
0y=v·sen(180-θ)

Tomando el centro del bucle como origen de coordenadas. El péndulo vuelve a oscilar cuando se cumpla que x2+y2=R2

Un estudio de tallado de la interesante combinación de movimiento circular y parabólico se encuentra en la sección, más abajo, "Trayectoria circular y parabólica". Véase también el ejemplo análogo del movimiento de una partícula en un bucle.

Ejemplo1

  • Velocidad de la bala, u=10 m/s

  • Masa de la bala, m=0.2 kg

  • Masa del bloque, M=1.5 kg

  • La longitud del péndulo es R=0.5 m

La velocidad vB del conjunto formado por la bala y el bloque inmediatamente después del choque, es

m·u=(m+M)vB,   vB=1.18 m/s

Aplicamos el principio de conservación de la energía para calcula la máxima desviación del péndulo

Conocido vB despejamos h=0.07 m, y calculamos el ángulo θ=30.8º

Ejemplo 2

¿Cuál debe ser la velocidad mínima u de la bala para que el péndulo describa una circunferencia?.

  • Masa de la bala, m=0.2 kg

  • Masa del bloque, M=1.5 kg

  • La longitud del péndulo es R=0.5 m

Calculamos la velocidad mínima vC de la partícula en el punto más alto de la trayectoria circular, cuando la tensión de la cuerda es cero, aplicando la ecuación de la dinámica del movimiento circular uniforme.

Aplicando el principio de conservación de la energía, calculamos la velocidad de la partícula en el punto B más bajo de la trayectoria circular.

Aplicamos el principio de conservación del momento lineal, para calcular la velocidad de la bala u antes del choque

m·u=(M+m)vB,   u=42.07 m/s

Ejemplo 3

  • Velocidad de la bala, u=35 m/s

  • Masa de la bala, m=0.2 kg

  • Masa del bloque, M=1.5 kg

  • La longitud del péndulo es R=0.5 m

La velocidad vB del conjunto formado por la bala y el bloque inmediatamente después del choque, es

m·u=(m+M)vB,   vB=4.12 m/s

Aplicamos el principio de conservación de la energía, para calcular la máxima desviación del péndulo

Conocido vB despejamos h=0.87 m, que es mayor que la longitud R=0.5 del péndulo

La cuerda del péndulo deja de tener efecto en el instante en el que su tensión es cero T=0. Por lo que

En este sistema de ecuaciones, calculamos el ángulo θ=119.1º y la velocidad de la partícula v=1.54 m/s

El movimiento posterior de la partícula viene descrito por las siguientes ecuaciones del tiro parabólico.

v0x=v·cos(180-θ)=0.75 m/s
v
0y=v·sen(180-θ)=1.35 m/s

 

Actividades

Se introduce

  • La masa de la bala en kg, en el control de edición titulado Masa de la bala
  • La velocidad de la bala en m/s, en el control de edición titulado Velocidad de la bala
  • La masa del bloque que pende de la cuerda en kg, en el control de edición titulado Masa bloque.
  • Dato: la longitud del péndulo es de 0.5 m

Se pulsa el botón titulado Empieza.

Se observa el movimiento del péndulo. Se representa la energía del sistema después del choque.

Se modifica la masa del bloque de modo que se pueda medir la desviación del péndulo en la escala graduada.

Se recomienda al lector que obtenga el valor de la desviación del péndulo para valores dados de la masa de la bala, velocidad de la bala y masa del bloque, y compruebe la solución obtenida con la proporcionada por el programa interactivo.

 

stokesApplet aparecerá en un explorador compatible con JDK 1.1.
                                     
 

Trayectoria circular y parabólica

  1. La partícula describe una trayectoria circular si la velocidad en la parte más baja del bucle es

  1. La partícula se mueve hacia atrás cuando

  1. Cuando la velocidad v0 está comprendida entre estos dos valores, la partícula describe una trayectoria circular y a continuación, una trayectoria parabólica. En la trayectoria circular la distancia entre la partícula y el centro es R, en la trayectoria parabólica la distancia entre la partícula y el centro es menor que R.

Para analizar este movimiento complejo, situamos el origen en el centro de la trayectoria circular y medimos los ángulos desde el eje X. El nivel cero de energía potencial lo situamos en el eje X.

En la posición angular θ1 la partícula deja de describir la trayectoria circular, la tensión T de la cuerda es nula. En este momento, la ecuación de la dinámica del movimiento circular y el principio de conservación de la energía se escriben

Combinando ambas ecuaciones determinamos el valor del ángulo θ1

Una vez que llega P1 describe un movimiento parabólico, la velocidad y la posición de la partícula es

En el punto P2 la distancia entre la partícula y el centro vuelve a ser R. P2  es el punto de intersección entre la parábola y la circunferencia de radio R. Recordando que la ecuación de una circunferencia, cuando su centro está en el origen de coordenadas es

x2+y2=R2

Teniendo en cuenta que de la dinámica del movimiento circular

Llegamos a la siguiente expresión simplificada

El tiempo de vuelo de la partícula hasta que choca con el bucle es

La posición del punto P2 y la velocidad de la partícula son, respectivamente

Supondremos que cuando la cuerda se estira al máximo, se anula la componente normal de la velocidad y la partícula describe de nuevo una trayectoria circular con la componente tangencial de dicha velocidad como velocidad inicial.

La componente normal de la velocidad se calcula mediante el producto escalar r2·v2

El módulo del vector posición r2 del punto P2 es el radio R de la circunferencia

La energía final de la partícula en el punto P2 final de la trayectoria parabólica es

Esta energía es menor que la energía de la partícula en el punto de lanzamiento

En la figura, se muestran las trayectorias parabólicas seguidas por la partícula. En la figura de la izquierda las parábolas se producen a la derecha y a la izquierda. Las parábolas son cada vez más pequeñas por que la partícula va perdiendo energía, esta pérdida se produce cuando se finaliza la trayectoria parabólica y la cuerda se estira al máximo.

En la figura de la derecha, tenemos una sucesión de cinco trayectorias parabólicas, hasta que la partícula casi se detiene al final de la última trayectoria.