El péndulo balístico (II)

prev.gif (1231 bytes)home.gif (1232 bytes)next.gif (1211 bytes)

Sólido rígido

Conservación del
momento angular
Discos que se
acoplan (I)
Discos que se
acoplan (II)
Conservación del 
momento angular
Giros del patinador de
hielo
Analogía con choque
frontal elástico
marca.gif (847 bytes)Péndulo balístico (II)
Caja que puede
volcar
Choque inelástico
bala-disco en rotación
Transferencia de la 
velocidad en un choque
Conservación 
m. lineal y m. angular
Choque disco-pared
Choque disco-disco (I)
Choque disco-disco (II)
Fundamentos físicos

Movimiento después del choque

java.gif (886 bytes)Actividades

Fuerzas sobre la barra en en eje de rotación

 

El en capítulo de Dinámica de la partícula hemos examinado el péndulo balístico, consistente en una bala de masa m y velocidad v que choca contra  un bloque de masa M que cuelga del extremo de una cuerda. Para resolver el problema podemos aplicar  indistintamente el principio de conservación del momento lineal o del momento angular.

En esta segunda versión, el bloque se sustituye por un cilindro de masa M y de radio r y la cuerda por una varilla rígida de longitud d y de masa despreciable.

El aspecto didáctico más importante de este problema, es la de mostrar la diferencia entre las dos versiones del péndulo balístico: mientras que una masa puntual en movimiento circular no puede tener una velocidad nula en el punto más alto de su trayectoria, un sólido rígido en rotación puede tener una velocidad angular nula.

 

Fundamentos físicos

En esta versión solamente es aplicable el principio de conservación del momento angular, ya que el sistema no es aislado sin embargo, el momento de las fuerzas exteriores respecto del eje de rotación O es nulo.

balistico.gif (2740 bytes)

Principio de conservación del momento angular

  • Momento angular antes del choque

Es el momento angular de la partícula respecto de O.

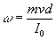
L=r´ mv

El módulo del momento angular es L=mv·d. Donde d es el brazo del momento angular o distancia entre la dirección de la velocidad y el punto O.

  • Momento angular después del choque

Es el momento angular de un sólido rígido formado por la varilla, el cilindro y la bala empotrada, en rotación alrededor de un eje perpendicular al plano del applet que pasa por O.

L=I0w

El momento de inercia I0 se compone de los siguientes términos:

  • Se aplica el teorema de Steiner para obtener el momento de inercia del cilindro de masa M y radio r cuyo eje dista d de O
  • Momento de inercia de una masa puntual m que dista d del eje de rotación
  • La varilla tiene masa despreciable

Como el momento angular inicial y final son iguales, despejamos la velocidad angular w, justamente después del choque.

El momento lineal del sistema no se conserva

El momento lineal inicial del sistema formado por la bala y el péndulo en reposo es

pi=mv

El momento lineal final del sistema es

pf=(m+M)vf

Como la varilla no tiene masa, y la bala impacta en el centro del cilindro, el centro de masa del sistema está en el centro del cilindro ycm=d. La velocidad final del c.m. del sistema es

vf=ω·d

Para otros casos no tan simples, se calcula el centro de masa del sistema ycm. La velocidad final del c.m. sería vf=ω·ycm

Si el radio r es cero, el cilindro se convierte en una masa puntual M, el momento lineal se conserva Δp=0. El principio de conservación del momento lineal y del momento angular dan los mismos resultados.

Fuerzas interiores y exteriores

Una fuerza horizontal F que actúa en el eje O del péndulo durante el tiempo Δt que dura el choque. El impulso de esta fuerza exterior F produce un cambio en el momento lineal del sistema. Si suponemos que F es constante durante este corto intervalo de tiempo, podemos escribir

F·Δt= Δp

El sentido de F será el indicado en la figura, si el momento lineal aumenta, y el contrario si disminuye.

Durante el mismo tiempo Δt, la fuerza interna f que ejerce el cilindro sobre la bala, hace que ésta disminuya su velocidad de v a vf=ω·d.

f·Δt= mωd-mv

Balance energético

La energía perdida en la colisión es la diferencia entre estas dos energías. En la parte izquierda del applet, podemos observar que la mayor parte de la energía cinética de la bala se convierte en energía de deformación cuando la bala se incrusta con el cilindro y solamente, una pequeña parte de la energía inicial se convierte en energía cinética de rotación del sistema formado por la varilla, el cilindro y la bala.

 

Movimiento después del choque

balistico1.gif (1876 bytes) Dinámica de rotación

Después del choque tenemos un sólido rígido en rotación alrededor de un eje fijo que pasa por O.

La ecuación de la dinámica de rotación es M=I0·a

M es el momento del peso que actúa en el centro de masa del sólido. Como la varilla tiene masa despreciable y la bala se aloja en el centro del cilindro, el centro de masa del sistema coincide con el centro del cilindro, a una distancia d del eje de rotación.

-(M+m)·g·d·senq =I0·a

Como la aceleración angular no es constante, podemos obtener la posición angular q en función del tiempo, integrando la ecuación diferencial de segundo orden. Sin embargo, es mucho más fácil aplicar el principio de conservación de la energía para obtener información sobre el comportamiento del sólido en rotación.

Principio de conservación de la energía

balistico2.gif (2011 bytes) La energía cinética después del choque se convierte en energía potencial

Conocido el ángulo q de máxima desviación del péndulo balístico podemos recorrer el camino inverso y calcular la velocidad de la bala antes del choque.

Puede ocurrir que la velocidad de la bala sea tan grande que el péndulo empiece a dar vueltas. Para que esto ocurra, la energía del péndulo después del choque tiene que ser mayor que la energía potencial del cilindro y de la bala correspondiente a una altura 2d.

Mientras que una masa puntual en movimiento circular no puede tener una velocidad nula en el punto más alto de su trayectoria, un sólido rígido en rotación puede tener una velocidad angular nula. Esta es la diferencia esencial entre las dos versiones del péndulo balístico.

Ejemplos

  • Masa de la bala m=0.2 kg
  • Velocidad de la bala v=10 m/s
  • Masa del cilindro M=1.5 kg
  • Radio del cilindro r=3 cm=0.03 m
  • Longitud de la varilla d=0.5 m
  1. Choque. Principio de conservación del momento angular

Momento de inercia I0= 0.426 kgm2

Momento angular inicial 0.2·10·0.5=1 kg·m2/s
Momento angular final I0·w

Conservación del momento angular w =2.35 rad/s

  1. Movimiento después del choque. Principio de conservación de la energía

La energía cinética después del choque se transforma en energía potencial, cuando se alcanza la máxima desviación del péndulo

Una vez calculado h se obtiene el ángulo de desviación q =30.8º

Ejemplo 2º

Con estos datos, podemos preguntarnos ¿Cuál será la velocidad que deberá llevar la bala para que el péndulo se desplace 180º, se ponga en posición vertical?. Resolvemos el problema en sentido inverso

  1. Movimiento después del choque. Principio de conservación de la energía

La energía potencial de la bala y cilindro en dicha posición es 1.7·9.8·2·0.5=16.66 J

La energía cinética después del choque será

  1. Choque. Principio de conservación del momento angular

0.2·v·0.5=I0·w

Despejando v=37.66 m/s

Introducimos este valor en el control de edición titulado Velocidad bala y pulsamos el botón titulado Empieza, observamos que el péndulo llega a la posición vertical sin sobrepasarla. Incrementamos en una centésima la velocidad de la bala v=37.67 m/s y vemos que el péndulo empieza a dar vueltas.

 

Actividades

Se introduce

  • La masa m de la bala (kg), en el control de edición titulado Masa de la bala
  • La velocidad v de la bala (m/s), en el control de edición titulado Velocidad bala
  • Radio del cilindro (cm), en el control de edición titulado Radio cilindro
  • La masa del cilindro (kg), en el control de edición titulado Masa
  • La longitud de la varilla está fijada por el programa 0.5 m

Se pulsa el botón Empieza

Se observa sobre la escala angular graduada el máximo desplazamiento del péndulo. Su valor numérico se muestra en la esquina superior izquierda del applet. También podemos ver a la izquierda del applet, un gráfico que muestra el balance energético de la colisión.

Comparar las dos versiones del péndulo balístico introduciendo los mismos valores en ambos programas interactivos. Comprobar el efecto del radio del cilindro manteniendo constantes los otros datos.

stokesApplet aparecerá en un explorador compatible con JDK 1.1.
               
 

Fuerzas sobre la barra en en eje de rotación

Si la varilla tiene masa despreciable, el centro de masas se encuentra en el centro del cilindro de masa M y radio r, donde también se encuentra alojada la bala de masa m.

balistico3.gif (3737 bytes)

En la figura de la izquierda, se muestra las fuerzas sobre el conjunto formado por la barra, el cilindro y la bala. En la figura de la derecha, la descomposición de dichas fuerzas según los ejes que se indican.

Hemos calculado la aceleración angular y la velocidad angular del sistema después del choque cuando la barra forma un ángulo q con la vertical tal como se ve en la figura.

  • Ecuación de la dinámica de rotación

I0a =-(M+m)g·d·senq

  • Balance energético

Siendo w0 la velocidad angular del sólido inmediatamente después del choque

El centro de masas describe un arco de circunferencia de radio d, por tanto, tiene dos aceleraciones, una tangencial at y otra normal an.

En la figura de la izquierda, se han dibujado las fuerzas sobre el sistema. A la derecha, se ha sustituido el peso por sus componentes y se han dibujado las componentes tangencial y normal de la aceleración. A partir de este esquema, planteamos las ecuaciones del movimiento del centro de masas.

(M+m)·at=Ft-(M+m)senq
(M+m)·an=Fn-(M+m)cosq

Teniendo en cuenta que en un movimiento circular

at=a ·d
an=w 2·d

Despejamos Ft y Fn

Ft =(M+m)·a ·d +(M+m)senq
Fn =(M+m)·w 2·d +(M+m)cosq

La fuerza F sobre la barra en el eje de rotación es

Ejemplo

Volvemos al ejemplo 1º

  • Masa de la bala m=0.2 kg
  • Velocidad de la bala v=10 m/s
  • Masa del cilindro M=1.5 kg
  • Radio del cilindro r=3 cm=0.03 m
  • La longitud de la varilla d=0.5 m

Momento de inercia I0= 0.426 kgm2

  1. Choque. Aplicando el principio de conservación del momento angular obtuvimos la velocidad angular del sistema después del choque

w0=2.35 rad/s

El problema va a consistir ahora en calcular las fuerzas Ft y Fn en el eje O, cuando el ángulo q =15º.

  1. Calculamos la aceleración angular a , y la velocidad angular w .

0.426a =-1.7·9.8·0.5 sen15º                         a =-5.06 rad/s2

  1. Balance energético

  1. Calculamos las componentes Ft y Fn de la fuerza en el eje O.

Ft=(M+m)senq +(M+m)at= 1.7·9.8·sen15º-1.7·0.5·5.06=0.007 N
Fn
(M+m)cosq +(M+m)·an =1.7·9.8·cos15º+1.7·0.5·2.042=19.65 N

  1. La fuerza F sobre la barra en el eje de rotación

Módulo F=19.65 N
Ángulo que forma con el eje X, φ=105º