Conservación del momento lineal y del momento angular en una colisión

prev.gif (1231 bytes)home.gif (1232 bytes)next.gif (1211 bytes)

Sólido rígido

Conservación del
momento angular
Discos que se
acoplan (I)
Discos que se
acoplan (II)
Conservación del 
momento angular
Giros del patinador de
hielo
Analogía con choque
frontal elástico
Péndulo balístico (II)
Caja que puede
volcar
Choque inelástico
bala-disco en rotación
Transferencia de la 
velocidad en un choque
marca.gif (847 bytes)Conservación 
m. lineal y m. angular
Choque disco-pared
Choque disco-disco (I)
Choque disco-disco (II)

Conservación del momento lineal y del momento angular en una mesa de aire

Choque de una pelota con un bate de béisbol

Referencias

 

En esta página, se describen dos sistemas aislados en el que se conserva simultáneamente el momento lineal y del momento angular.

  • En el primero, se dispara una bala que queda alojada en un disco situado sobre una mesa de aire.

  • En el segundo, se analiza la colisión de una pelota con una bate en una primera aproximación.

Conservación del momento lineal y del momento angular en una mesa de aire

Se coloca un disco de masa M y radio R en una mesa de aire. Se dispara un proyectil con una pistola de aire comprimido que queda alojado en el disco a una distancia x de su centro. El centro de masas del sistema formado por el disco y la bala (punto de color azul) se mueve con velocidad Vc. El sistema, además gira con velocidad angular ω alrededor de un eje perpendicular al plano del disco que pasa el c.m..

El sistema formado por la bala y el disco es aislado, la resultante de las fuerzas exteriores es cero, por lo que se verifica simultáneamente el principios de conservación del momento lineal y del momento angular.

Si la masa de la bala es m y su velocidad es u y el disco de masa M está inicialmente en reposo.

mu=(M+m)Vc 

Donde Vc es la velocidad del centro de masas que ahora no coincide con el centro del disco, sino que está situado a una distancia h de su centro

Calculamos el momento angular respecto del punto P de impacto de la bala.

El momento angular inicial es cero

El momento angular final es la suma del momento angular debido al movimiento de rotación del disco alrededor de une eje que pasa por su centro O y del momento angular orbital de O alrededor del punto P.

La velocidad de O es la suma de la velocidad del c.m. Vc y la velocidad de rotación alrededor de un eje que pasa por el c.m. ω×h

El momento angular disco respecto al punto P es

-Ioω+Mx(Vc-ωh)=0
Donde el  momento de inercia del disco es Io=MR2/2

Despejamos la velocidad del c.m. Vc de la primera ecuación y la velocidad angular de rotación ω de la segunda.

Otra alternativa, es la de calcular el momento angular respecto del centro de masas (c.m.).

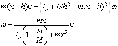
El momento angular inicial es m(x-h)u

El momento angular final del sistema formado por el disco y la bala incrustada describiendo un movimiento de rotación alrededor de un eje que pasa por el c.m. es


Io+Mh2 es el momento de inercia del disco respecto de un eje que pasa por el c.m. (teorema de Steiner), el otro término es el momento de inercia de la bala.  Igualando el momento angular inicial al final, despejamos la velocidad angular de rotación

La energía inicial es la energía cinética de la bala.

La energía final es la suma de la energía cinética de traslación del sistema formado por el disco y la bala, y la energía cinética de rotación de dicho sistema alrededor de un eje que pasa por el c.m.

Ejemplo

  • Velocidad inicial de la bala u=1.0 m/s

  • Masa de la bala m=0.5 kg

  • Masa del disco M=1.5 kg

  • Radio del disco R=0.5 m

  • Parámetro de impacto de la bala x=0.3

El momento de inercia del disco respecto de un eje perpendicular al disco que pasa por su c.m. es

La posición h del centro de masas del sistema formado por el disco y la bala medido desde el centro del disco es

La velocidad del c.m. Vc y la velocidad angular de rotación ω del sistema formado por el disco y la bala respecto de un eje que pasa por el c.m. valen, respectivamente,

Balance energético de la colisión

Actividades

Se introduce

  • La masa m de la bala, en el control de edición titulado Masa bala.
  • La masa del disco M, en el control de edición titulado Masa disco
  • El radio del disco se mantiene fijo e igual a 0.5 m.
  • La velocidad u de la bala incidente se mantiene fija e igual a 1 m/s.

Se pulsa el botón titulado Nuevo

Con el puntero del ratón, se arrastra la bala de color rojo, para fijar el valor del parámetro de impacto x.

Se pulsa el botón titulado Empieza

La bala se mueve hacia el disco. Choca y se incrusta en el disco a una distancia x de su centro, observamos el movimiento del conjunto formado por el disco y la bala después del choque.

En la parte superior derecha, se nos proporciona los datos relativos a las velocidades

  • Vc de traslación del centro del disco
  • ω de rotación del disco alrededor de un eje que pasa por su centro

 

stokesApplet aparecerá en un explorador compatible con JDK 1.1.

Arrastrar la partícula de color rojo con el puntero del ratón

                                    

Choque de una pelota con un bate de béisbol

En la figura, se muestra el esquema del choque entre un bate y una pelota de béisbol. La pelota de masa m y velocidad u, choca contra un bate de masa M y de momento de inercia I respecto de un eje que pasa por su centro de masa. Vc es la velocidad final del c.m. de bate, ω y ω0 son las velocidades angulares inicial y final del bate, x es la distancia desde el c.m. del bate y el punto donde choca la pelota.

Podemos efectuar una primera aproximación, suponiendo que el bate es una varilla rígida delgada de masa M y longitud L que está suspendida libremente e inicialmente en reposo, y la pelota se comporta como una partícula de masa m que lleva una velocidad u, y que choca con el bate a una altura x medida desde su centro de masas.

En la figura de la izquierda, se muestra la situación inicial y en la de la derecha la situación final: la partícula lleva una velocidad v, y la varilla describe un movimiento de rotación alrededor de su centro de masas con velocidad angular ω, y su centro de masas se traslada con velocidad Vc.

El sistema formado por la partícula y la varilla es aislado, la resultante de las fuerzas exteriores es cero, por lo que son aplicables los principios de conservación del momento lineal y angular.

mu=MVc+mv

mu·x=Icω+mv·x

donde Ic=ML2/12 es el memento de inercia de la varilla respecto de un eje perpendicular a la varilla y que pasa por el c.m.

Tenemos dos ecuaciones y tres incógnitas v, ω y Vc.

donde Q es la energía perdida en la colisión, una cantidad negativa que indica que la energía final es menor que la inicial.

Si el choque es perfectamente elástico Q=0, disponemos de una tercera ecuación que nos permite despejar las tres incógnitas: v, ω y Vc  conocida la velocidad u de la partícula incidente. En los demás casos desconocemos el valor de Q.

La definición de coeficiente de restitución e nos proporciona la tercera ecuación

Podemos suponer que la partícula de masa m y velocidad u choca contra una hipotética partícula inicialmente en reposo situada en el bate a una altura x. Después del choque la primera partícula lleva una velocidad v, y la segunda una velocidad Vc+ ω·x, la suma de la velocidad de traslación y rotación.

 
  • la velocidad relativa de acercamiento es u-0
  • la velocidad relativa de alejamiento es v-(Vc+ ω·x)

El coeficiente de restitución e se define

v-(Vc+ ω·x)=-e(u-0)

Si conocemos el dato del coeficiente de restitución e, disponemos de tres ecuaciones con tres incógnitas. Después de algunas operaciones obtenemos

  • La velocidad angular ω de rotación de la varilla alrededor de un eje que pasa por el c.m.

 

  • La velocidad Vc de traslación del c.m. de la varilla

  • La velocidad v de la partícula después del choque

v=-eu+Vc+ω·x

A continuación, podemos calcular las energías de la partícula y de la varilla antes y después del choque.

Choques elásticos

  • Conservación del momento lineal

mu=MVc+mv

  • Conservación del momento angular

mu·x=Icω+mv·x

  • No hay pérdida de energía en el choque

Despejamos la velocidad del c.m. de la varilla Vc y la velocidad angular de la varilla ω.

que es el mismo resultado que hemos obtenido anteriormente con el coeficiente de restitución e=1.

La velocidad angular de rotación podemos escribirla

El valor máximo de la velocidad angular de rotación ω de la varilla no lo obtenemos cuando el parámetro de impacto es el mayor posible x=L/2. El máximo de la función ω(x) se obtiene para

  • Si M>2m entonces xm>L/2 lo que no es posible. La velocidad angular ω crece con x alcanzando el valor mayor cuando x=L/2 (curva de color rojo en la figura).

  • Si M<2m entonces xm<L/2, (curva de color azul)

Representamos esta función para M=2.5m y M=0.5 m.

En el segundo caso la función presenta un máximo para

Ejemplos

  • Velocidad inicial de la partícula u=1.0 m/s

  • Masa de la partícula m=0.25 kg

  • Masa de la varilla M=1.5 kg

  • Longitud de la varilla L=1.0 m

  • Coeficiente de restitución e=0.7

  • Parámetro de impacto de la partícula x=0.3

El momento de inercia de la varilla respecto de un eje perpendicular a la varilla que pasa por su c.m. es

 

Ecuaciones

  1. Principio de conservación del momento lineal

0.25·1.0=1.5·Vc+0.25·v

  1. Principio de conservación del momento angular

0.25·1.0·0.3=0.125ω+0.250.3

  1. Coeficiente de restitución

v-(Vc+ ω·0.3)=-0.7(1.0-0)

Resolvemos el sistema de tres ecuaciones con tres incógnitas, y calculamos después del choque

  • la velocidad de la partícula  v=-0.262 m/s,

  • la velocidad del centro de masas de la varilla  Vc=0.210 m/s,

  • la velocidad angular de rotación de la varilla alrededor de un eje perpendicular a la varilla que pasa por su c.m, ω=0.757 rad/s

Balance energético de la colisión

Ejemplo 2:

Cambiamos el coeficiente de restitución e=1

v=-0.485 m/s, Vc=0.247 m/s,  ω=0.891 rad/s

Balance energético de la colisión, Q=0 

 

Actividades

Se introduce

  • La masa m de la partícula, en el control de edición titulado Masa partícula.
  • La masa de la varilla M, en el control de edición titulado Masa varilla
  • El coeficiente de restitución e, actuando en la barra de desplazamiento titulada Coef. de restitución.
  • La longitud de la varilla L se mantiene fija e igual a 1 m.
  • La velocidad u de la partícula incidente se mantiene fija e igual a 1 m/s.

Se pulsa el botón titulado Nuevo

Con el puntero del ratón, se arrastra la partícula incidente de color rojo, para fijar el valor del parámetro de impacto x.

Se pulsa el botón titulado Empieza

La partícula incidente se mueve hacia la varilla. Choca y observamos el movimiento de la partícula incidente (de color rojo) después del choque, y el movimiento de traslación y de rotación de la varilla.

En la parte superior derecha, se nos proporciona los datos relativos a las velocidades

  • v de la partícula después del choque
  • Vc de traslación del c.m. de la varilla
  • ω de rotación de la varilla alrededor de un eje que pasa por el c.m.

En la parte inferior izquierda, se representa un diagrama en forma de tarta que muestra como se distribuye la energía después del choque. Los sectores representan:

  • La energía cinética de la partícula incidente después del choque E1=mv2/2 (en color rojo).
  • La energía cinética de traslación del c.m. de la varilla E2=MVc2/2 (en color azul).
  • La energía cinética de rotación de la varilla E3=Icω2/2 (en color gris)

Si el choque es elástico, la energía inicial es igual a la final. Si el choque no es elástico la energía inicial es mayor que la final. Un círculo de mayor radio de color gris claro indica la energía inicial, y el de menor radio dividido en sectores la energía final.

 

stokesApplet aparecerá en un explorador compatible con JDK 1.1.

Arrastrar la partícula de color rojo con el puntero del ratón

 

Referencias

Rockefeller R. R. Conservation of angular and linear momentum on an air table. Am. J. Phys. 43 (11) November 1975, pp. 981-983

Cross R. Impact of a ball with a bat or racket. Am. J. Phys. 67 (8) August 1999, pp. 692-694

Lemos N. A. Failure of intuition in elementary rigid body mechanics. Eur. J. Phys. 29 (2008) N1-N4