Choque de un disco contra una pared rígida

prev.gif (1231 bytes)home.gif (1232 bytes)next.gif (1211 bytes)

Sólido rígido

Conservación del
momento angular
Discos que se
acoplan (I)
Discos que se
acoplan (II)
Conservación del 
momento angular
Giros del patinador de
hielo
Analogía con choque
frontal elástico
Péndulo balístico (II)
Caja que puede
volcar
Choque inelástico
bala-disco en rotación
Transferencia de la 
velocidad en un choque
Conservación 
m. lineal y m. angular
marca.gif (847 bytes)Choque disco-pared
Choque disco-disco (I)
Choque disco-disco (II)
Modelo simple de choque de un disco con una pared rígida

Choque de un disco con una pared rígida

java.gif (886 bytes)Actividades

Referencias

 

Cuando una pelota de tenis que no tiene velocidad angular inicial choca con el suelo, adquiere una velocidad angular de rotación debido a las fuerzas de fricción entre la pelota y el suelo. Pueden ocurrir dos casos:

  1. Que la pelota comience a rodar sin deslizar antes de perder el contacto con el suelo.

  2. Que la pelota comience a deslizar antes de dejar de estar en contacto con el suelo.

Se puede calcular el ángulo de rebote, la velocidad final de la pelota, y su velocidad angular de rotación en términos del ángulo incidente, el coeficiente de restitución y el coeficiente de rozamiento entre la pelota y el suelo.

Las fuerzas que actúan sobre la pelota son: el peso mg, la fuerza normal o reacción del suelo N, y la fuerza de rozamiento Fr=μN. Durante el choque el peso mg es despreciable frente a la fuerza normal N.

Consideremos una pelota de tenis que se deja caer desde un metro de altura, que tiene un coeficiente de restitución de e=0.78 y que el tiempo de contacto de la pelota con el suelo es de Δt=0.005 s. La velocidad de la pelota antes del choque es uy y la velocidad de la pelota después del choque es vy=–e·uy. La aceleración es

mucho mayor que la aceleración de la gravedad g=9.8 m/s2 . Como

may=N-mg

Por tanto, el peso mg se puede despreciar frente a la fuerza normal N.

En general, el bastante complicado el análisis del choque de una pelota con el suelo, ya que la pelota modifica en mayor o menor grado su forma esférica durante el choque. Por otra parte, una pelota no es un cuerpo homogéneo, sino una capa esférica delgada hecha de goma en cuyo interior hay aire a presión. Para evitar estas complicaciones, en esta página vamos a estudiar el choque de un disco indeformable con una pared rígida.

Aunque el objetivo de esta página es la de comprobar la constancia del momento angular en la colisión entre un disco y una pared rígida, para comprender este ejemplo en su totalidad, se recomienda estudiar antes el movimiento general de un sólido rígido.

 

Modelo simple de choque de un disco con una pared rígida

Definimos el coeficiente de restitución e como

donde v1 y v2 son las velocidades del las partículas después del choque y u1 y u2 las velocidades antes del choque.

colision.gif (1878 bytes) La partícula 2 es ahora la pared cuya velocidad antes y después del choque es cero u2=v2=0

El disco se acerca hacia la pared con una velocidad u1=u·cosq , y se aleja de la pared con una velocidad v1=-v·cosf .

La relación entre velocidades será

u·senq =v·senf
u·e·cosq =v·cosf .

La relación entre los ángulos de incidencia q   y reflexión f  es 

tanq =e·tanf

Conocido el coeficiente de restitución e y el ángulo de incidencia q  calculamos el ángulo de reflexión f . Conocida la velocidad de la partícula incidente u, obtenemos la velocidad de la partícula reflejada v.

 

Choque de un disco con una pared rígida

La diferencia con el modelo anterior es que ahora el disco puede girar después de su choque con la pared rígida.

disco2.gif (2046 bytes) disco1.gif (2329 bytes)
  1. De la definición de coeficiente de restitución tenemos

e·u·cosq =v·cosf  (1)

  1. Momento angular respecto de P, punto de contacto con la pared rígida.

disco3.gif (3096 bytes)

Como las fuerzas que ejerce la pared sobre el disco actúan en P. El momento de dichas fuerzas respecto de P es cero. El momento angular respecto de dicho punto será constante.

La constancia del momento angular para un disco de momento de inercia I=mr2/2, que gira con velocidad angular w en el sentido indicado después del choque, se escribe

r·mv·senf +I·w =r·mu·senq   

rω=2senq  -2senf   (2)

Tenemos dos ecuaciones y tres incógnitas

  • La velocidad del centro del disco después del choque v, y su dirección f
  • La velocidad angular de rotación del disco, ω

Precisamos una ecuación más para resolver el problema

El disco no desliza

La velocidad del punto P de contacto entre el disco y la pared es cero.

vP=v·senf -w r=0   (3)

Resolviendo un sistema de tres ecuaciones con tres incógnitas

Estas tres ecuaciones nos permiten determinar la velocidad del disco después del choque v, su velocidad angular de rotación w y el ángulo f que forma con la dirección normal a la pared, con los datos de la velocidad inicial u y del ángulo de incidencia q .

Despejamos rω de la ecuación (3) y sustituimos en la ecuación (2)

senf  =(2/3)·u·senq
cosf  =e·u·cosq

La velocidad angular de rotación ωr se despeja en las ecuación (3)

w r=(2/3)senq .

Balance energético

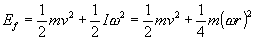
La energía cinética inicial del disco es

La energía cinética final del disco es

La energía Q perdida en la colisión es

El disco desliza

disco4.gif (3260 bytes)

La pared ejerce sobre el disco dos fuerzas, la reacción N y la fuerza F que se opone a que el disco deslice sobre la pared, y que es de sentido contrario a vP¹ 0, la velocidad del punto de contacto entre el disco y la pared.

La fuerza N actuando durante el pequeño intervalo de tiempo Dt que el disco está en contacto con la pared modifica la componente normal del momento lineal del disco. De modo análogo el impulso de la fuerza F modifica la componente paralela al plano del momento lineal del disco.

Teniendo en cuenta la relación entre ambas fuerzas, F=m ·N, obtenemos la ecuación que sustituye a (3)

-mv·senf +mu·senq =m (mv·cosf +mu·cosq )   (3)

Resolviendo un sistema de tres ecuaciones con tres incógnitas

Sustituimos cosf  de la ecuación (1) en la (3)

senf =u·senq -m u(1+e)·cosq
cosf =e·u·cosq    

Dividiendo miembro a miembro por la ecuación (1), nos permite establecer la relación entre el ángulo de incidencia q , y el reflejado f

Una vez calculado el ángulo f,  despejamos la velocidad angular del disco rω de la ecuación (2)

rω=2senq  -2senf =2m (1+ecosq

Balance energético

La energía perdida en la colisión Q vale

Ángulo crítico

Cuando el disco no desliza vP=0, la relación entre la fuerza F y la reacción N es desconocida. La relación entre el ángulo reflejado y el incidente como hemos visto es

Cuando el disco desliza vP¹ 0, la relación entre ambas fuerzas es F=m ·N,

El ángulo crítico incidente q c será aquél en la que el disco comienza a deslizar cumpliéndose ambas condiciones a la vez (supondremos que el coeficiente de rozamiento estático y dinámico son iguales). Por tanto,

tanqc=3m (1+e)
  • Si θ<θc utilizamos las fórmulas deducidas en el apartado el disco no desliza

  • Si θ>θc utilizamos las fórmulas deducidas en el apartado disco desliza

Caso particular: Choque elásticos

Cuando m =0 y e=1,

El ángulo crítico qL=0. Para cualquier ángulo incidente q  estamos en el caso el disco desliza

  • Se cumple que el ángulo incidente es igual al reflejado f =q
  • El disco no gira después del choque rω=0
  • La energía perdida en el choque Q=0

Ejemplos

En la tabla tenemos los datos correspondientes al coeficiente de rozamiento m y al coeficiente de restitución e.

Materiales Coef. restitución e Coef. de rozamiento m
Acero-acero 0.94 0.10
Aluminio-aluminio 0.61 0.12
Latón-latón 0.57 0.11
Acero-latón 0.65 0.10
Aluminio-latón 0.55 0.10
Acero-aluminio 0.62 0.09

Fuente: Doménech A, Doménech M.T. Colisiones inelásticas de esferas. Revista Española de Física 4, 3 (1990) págs.52-56.

Elegimos, acero-acero

  • m =0.1
  • e=0.94

El ángulo crítico es

tanqc=3m (1+e)       qc=8.8º

  • Ángulo incidente, q =45º
  • Velocidad del disco antes del choque, u=3.5

El ángulo q >qc el disco desliza

  1. El ángulo después del choque se obtiene con la fórmula

El valor de f =40.61º

  1. Calculamos la velocidad v después del choque mediante

cosf =e·u·cosq

Se despeja v=3.06

  1. La velocidad angular de rotación w (o mejor rw ), se obtiene mediante la relación

rw =2m (1+ecosq

Se obtiene rw =0.96

Como podemos comprobar la velocidad del punto P de contacto entre el disco y la pared vP=v·senf -rw>0, por tanto, el disco desliza.

  1. La energía perdida en el choque es la diferencia entre la energía final (de traslación y de rotación) y la inicial (de traslación).

Q=-1.2m

El ángulo q <qc el disco no desliza.

  • Ángulo incidente, q =
  1. El ángulo después del choque se obtiene con la fórmula

El valor de f =3.55º

  1. Calculamos la velocidad después del choque mediante el coeficiente de restitución

cosf =e·u·cosq

Se despeja v=3.28

  1. La velocidad angular de rotación w (o mejor rw ), se obtiene mediante la relación

rw =(2u/3senq

rw =0.203

Como podemos comprobar la velocidad del punto P de contacto entre el disco y la pared vP=v·senf -rw=0, por tanto, el disco no desliza.

  1. La energía perdida en la colisión es

Q=-072·m

 

Actividades

Se introduce

  • Los materiales de los que está hechos el disco que choca con la pared, en el control de selección.
  • El ángulo incidente, actuando en la barra de desplazamiento titulada Ángulo.
  • La velocidad del disco antes del choque, en el control de edición titulado Velocidad del disco.

Se pulsa el botón titulado Empieza

El programa interactivo calcula la velocidad del disco después del choque v, su velocidad angular de rotación w y el ángulo f que forma con la dirección normal a la pared, con los datos de la velocidad inicial u y del ángulo incidente q .

 

stokesApplet aparecerá en un explorador compatible con JDK 1.1.

 

Referencias

Doménech A, Doménech M.T. Analysis of two-disc collisions. Eur. J. Phys. 14 (1993), pp. 177-183.