Composición de movimientos: traslación y rotación

prev.gif (1231 bytes)home.gif (1232 bytes)next.gif (1211 bytes)

Sólido rígido

Movimiento general
de un sólido rígido
marca.gif (847 bytes)Composición de
  movimientos
La rueda de Maxwell
Equilibrio
rotación-traslación(I)
Fuerza sobre una 
rueda
Rodando por
un plano inclinado
Equilibrio 
rotación-traslación(III)
Deformaciones de
la rueda y el plano
Desplazando el 
plano sobre el que 
se apoya la rueda
Choque frontal de
dos esferas.
Percusión en una
bola de billar
Movimiento de una 
esfera en un
plano horizontal
Choque de dos 
bolas de billar
Movimiento general de un sólido rígido

java.gif (886 bytes) Movimiento de rodar sin deslizar

java.gif (886 bytes) Composición de movimientos

java.gif (886 bytes) Velocidad y trayectoria de un punto de una rueda.

 

Movimiento general de un sólido rígido

En esta página, se describe el movimiento general de un sólido rígido respecto a un observador inercial O. Un sólido fijo se caracteriza por ser indeformable, las posiciones relativas de los puntos del sólido se mantienen fijas aunque se apliquen fuerzas al mismo.

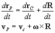
En la figura vemos que la posición del punto P del sólido es

rP=rc+R

Donde C se refiere al centro de masas del sólido. El vector R que va del centro de masas al punto P es un vector cuyo módulo es constante. 

general.gif (2282 bytes)

Derivando la expresión anterior respecto del tiempo obtenemos

El primer término es la velocidad del punto P, el segundo la velocidad del centro de masas y el tercero es la velocidad del punto P respecto del centro de masas.

rotacion.gif (2951 bytes) Dado que el vector R tiene módulo constante, el único movimiento posible de P respecto de C es una rotación con velocidad angular w alrededor de un eje instantáneo que pase por C, tal como vemos en la figura.

Así pues, el movimiento de un punto P del sólido lo podemos considerar como la suma de un movimiento de traslación del centro de masas más una rotación alrededor de un eje instantáneo que pasa por el centro de masas.

 

Movimiento de rodar sin deslizar

El movimiento general de un sólido rígido, es la composición de un movimiento de traslación del centro de masa y de un movimiento de rotación alrededor de un eje que pasa por el centro de masa. En el movimiento de rodar sin deslizar, la rueda se traslada a la vez que gira.

  • En el movimiento de traslación, todos los puntos del sólido se mueven en trayectorias paralelas. La velocidad de un punto del sólido es la misma que la velocidad del centro de masas.
  • En el movimiento de rotación alrededor de un eje que pasa por el centro de masas, la velocidad de un punto del sólido es proporcional la radio de la circunferencia que describe, y su dirección es tangente a dicha circunferencia.

En el movimiento de rodar sin deslizar, existe una relación entre el movimiento de rotación y traslación. El punto de la rueda que está en contacto en un instante dado con el suelo tiene velocidad nula. Por tanto, se debe de cumplir que

vc=w R

La velocidad de traslación vc es igual a la velocidad de rotación w por el radio de la rueda R.

Calculamos la velocidad de cualquier punto P, que dista r del centro de una rueda de radio R, y que forma un ángulo φ, con la horizontal. Los ángulos se miden en sentido de las agujas del reloj, que es el sentido del movimiento de rotación de la rueda.

El módulo y el ángulo que forman con el eje horizontal X son, respectivamente

Ejemplo:

Sea r=R=1;

  • Cuando φ=π/2, v=0
  • Cuando φ=π, , θ=π/4
  • Cuando φ=3π/2, v=2vc, θ=0

Sea r=0.5

  • Cuando φ=π/2, v=0.25, θ=0
  • Cuando φ=π, , θ=0.46 rad=26.6ş
  • Cuando φ=3π/2, v=1.5vc, θ=0

Actividades

Se introduce

  • La posición angular φ en grados, actuando en la barra de desplazamiento titulada Ángulo. Los ángulos se miden en sentido de las agujas del reloj, que es el sentido del movimiento de rotación de la rueda.

  • La distancia r entre el punto P y el centro de la rueda, actuando en la barra de desplazamiento titulada Distancia.

  • El radio de la rueda se ha fijado en R=1 m

  • La velocidad del c.m. de la rueda se ha fijado en vc=1 m/s

Se pulsa el botón titulado Calcula

En el disco de la izquierda:

  • la flecha de color azul representa la velocidad de traslación del centro de masa, vc.

  • la flecha de color rojo representa la velocidad de rotación alrededor de un eje perpendicular al disco y que pasa por su centro ωr.

En el disco de la derecha, una flecha de color negro representa el vector resultante, suma vectorial de ambas velocidades.

En la parte superior del applet, se proporciona el dato de la velocidad resultante v proporcional a vc y su dirección θ, o ángulo que forma con el eje horizontal X.

 

stokesApplet aparecerá en un explorador compatible con JDK 1.1.
                 

 

Composición de movimientos

En este programa interactivo se trata de comprobar que el movimiento general de un sólido rígido es la composición de un movimiento de traslación del centro de masas y de un movimiento de rotación alrededor de un eje que pasa por el centro de masas.

Por otra parte, se trata de establecer la relación que debe de existir entre las velocidades de traslación y de rotación para producir un movimiento de rodar sin deslizar.

Se introduce:

  • La velocidad angular de rotación, en el control de selección titulado v. rotación
  • La velocidad de traslación del centro de masas se ha fijado en vc=1.0
  • El radio de la rueda, se ha fijado en R=1.0

Se pulsa el botón titulado Empieza

Se representa el perfil de velocidades de diversos puntos de la rueda y en particular, los situados en su diámetro vertical, que son los más importantes para la resolución de los problemas. Podemos observar, que las velocidades de dichos puntos (en color rojo en la figura de abajo) son la suma vectorial de su velocidad de traslación (en color azul en la figura intermedia) y de su velocidad de rotación (en color azul en la figura de arriba).

Como caso particular, se sugiere al lector examinar el movimiento de rodar sin deslizar, la velocidad del punto de la rueda que está en contacto con el plano horizontal debe de ser cero. Por tanto, la relación entre las velocidades angular de rotación w  y traslación vc deberá ser vc=w R. Observar que:

  • La velocidad del punto de la rueda que está en contacto con el plano horizontal debe de ser cero
  • La velocidad del centro de masas es vc
  • La velocidad del punto más alto de la rueda  es el doble de la velocidad del centro de masas, 2ˇvc

 

stokesApplet aparecerá en un explorador compatible con JDK 1.1.

 

Velocidad y trayectoria de un punto de una rueda.

En este programa interactivo, podemos observar el vector velocidad y la trayectoria que describe un punto de la rueda.

Se pulsa el botón titulado Inicio

  • Situamos el puntero del ratón en un punto de color azul, pulsamos el botón izquierdo del ratón y lo arrastramos hasta la posición deseada en el diámetro vertical de la rueda . A continuación, dejamos de pulsar el botón izquierdo del ratón.

En la parte superior del applet, observamos la posición del punto relativa al centro de la rueda cuyo radio está fijado por el programa interactivo y es de un metro

Se introduce:

  • La velocidad angular de rotación, en el control de selección titulado v. rotación
  • La velocidad de traslación del centro de masas se ha fijado en vc=1.0
  • El radio de la rueda, se ha fijado en R=1.0

Se pulsa el botón titulado Empieza.

Cuando la rueda llega al final del applet, se pulsa el botón titulado Inicio para preparar otra "experiencia".

Observamos la trayectoria de un punto de la rueda y su vector velocidad, tangente a la trayectoria. El vector velocidad de un punto de la rueda es la suma de

  • El vector velocidad en el movimiento de traslación, que es constante..
  • El vector velocidad en el movimiento de rotación cuyo módulo es constante pero cuya dirección va cambiando, es perpendicular a la dirección radial y su longitud es proporcional a la distancia entre el punto de la rueda y el centro de la misma.

Se considerará aquellas situaciones en las que el disco rueda sin deslizar, (cuando la velocidad de rotación y de traslación coinciden, ya que el radio es de un metro). Se observará, en esta situación, el movimiento de:

  • Un punto que está en la periferia de la rueda
  • El centro de la rueda
  • Un punto situado entre el centro y la periferia.

 

stokesApplet aparecerá en un explorador compatible con JDK 1.1.

Mover el punto azul con el puntero del ratón acercándolo o alejándolo del centro del disco