Efectos mecánicos de la ley de Faraday. Oscilaciones amortiguadas

up.gif (1005 bytes)home.gif (1232 bytes)next.gif (1211 bytes)

Electromagnetismo

Autoinducción e 
Inducción mutua
Autoinducción.
Circuito R-L
Circuitos acoplados (I)
Circuitos acoplados (II)
Oscilaciones eléctricas
Circuito LCR conectado
a una batería
El problema de los
dos condensadores
Elementos de un
circuito de C.A.
Sistema electro-
mecánico oscilante
Medida de la auto-
inducción de un anillo
Circuito LCR en serie
Resonancia
Medida de la velocidad
de la luz en el vacío
marca.gif (847 bytes)Efectos mecánicos de
  la ley de Faraday
Caída de un imán
El anillo de Thomson (I)
El anillo de Thomson (II)
Resistencia y autoinducción no nulas (L¹ 0, R¹ 0)

Oscilaciones amortiguadas

Oscilaciones críticas

Oscilaciones sobreamortiguadas

Estudio energético

 

El programa interactivo de la página anterior no incluye el estudio del comportamiento de la espira en el caso general, en el que la espira tiene una resistencia y una autoinducción. En esta página web se estudia las oscilaciones amortiguadas, críticas y sobreamortiguadas de la espira, siempre que que cumpla la condición de que solamente su lado derecho esté en el interior del campo magnético x³ 0. Además, este ejemplo, permite al lector familiarizarse con la resolución de ecuaciones diferenciales sencillas.

 

Resistencia y autoinducción no nulas (L¹ 0, R¹ 0)

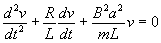
En este caso la ecuación del circuito es (suma de fems igual a intensidad por resistencia)

VL+Ve =iR.

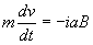
y la ecuación del movimiento

Despejando la intensidad i en la ecuación del movimiento e introduciéndola en la ecuación del circuito, llegamos a la siguiente ecuación diferencial de segundo orden

Que describe las oscilaciones amortiguadas

Las condiciones iniciales son:

Esta ecuación tiene tres posibles soluciones:

 

Oscilaciones amortiguadas

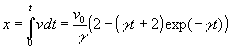
Si la resistencia R no es muy grande de modo que w20>g 2 o bien, w0t <2.

donde w es la frecuencia de las oscilaciones amortiguadas. Las constantes A y j se determinan a partir de las condiciones iniciales

Integrando dos veces por partes, obtenemos la posición x, de la espira en función del tiempo.

A partir de la ecuación del movimiento, obtenemos la intensidad i derivando la velocidad v.

 

Oscilaciones críticas

Cuando la resistencia aumenta, puede ocurrir que w20=g 2 o bien w0t =2.

La solución de la ecuación diferencial es

Donde A y B se determinan a partir de las condiciones iniciales

Integrando por partes, obtenemos la posición x, de la espira en función del tiempo.

A partir de la ecuación del movimiento, obtenemos la intensidad i derivando la velocidad v.

 

Oscilaciones sobreamortiguadas

Cuando la resistencia es grande, puede ocurrir que w20<g 2 o bien w0t >2.

La solución de la ecuación diferencial es

Donde A y B se determinan a partir de las condiciones iniciales

Integrando obtenemos la posición x, de la espira en función del tiempo.

A partir de la ecuación del movimiento, obtenemos la intensidad i derivando la velocidad v.

 

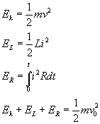
Estudio energético

Parte de la energía cinética inicial se pierde en la resistencia ER, otra parte se acumula en forma de campo magnético en la autoinducción EL, y el resto es la energía cinética de la espira Ek.