Medida de la relación carga/masa

prev.gif (1231 bytes)home.gif (1232 bytes)next.gif (1211 bytes)

Electromagnetismo

Movimiento de las
partículas  cargadas 
Fuerzas sobre las 
cargas
Atomo de Bohr
El osciloscopio
Separación de
semillas
Motor iónico
Acelerador lineal
marca.gif (847 bytes)Medida de la relación
  carga/masa
Medida de la unidad
fundamental de carga
El espectrómetro
de masas
El ciclotrón
Campos eléctrico y
magnético cruzados
Medida de la velocidad del haz de electrones

Medida de la relación carga/masa

java.gif (886 bytes) Actividades

 

En este programa, se ha tratado de reproducir las características esenciales del experimento real llevado a cabo por Thomson a finales del siglo XIX. El objetivo del experimento era describir la naturaleza corpuscular de los denominados rayos catódicos.

El experimento constaba de dos fases

  1. La determinación de la velocidad del haz de electrones mediante un campo eléctrico y otro magnético perpendiculares entre sí y a la dirección del haz. Se ajusta la magnitud de los campos hasta conseguir que el haz no se desvíe.
  1. Una vez conocida la velocidad de los electrones, se procede a la determinación de la relación carga/masa, midiendo la desviación del haz bajo la acción del campo eléctrico existente entre las placas del condensador.

 

Medida de la velocidad del haz de electrones

El selector de velocidades es una región en la que existen un campo eléctrico y un campo magnético perpendiculares entre sí y a la dirección de la velocidad de los electrones. En esta región, los electrones de una determinada velocidad no se desvían, si se ajusta convenientemente, la intensidad de los campos eléctrico y magnético.

  • El campo eléctrico ejerce una fuerza en la dirección del campo pero en sentido contrario, ya que la carga es negativa. El módulo de la fuerza es Fe=q·E
  • El campo magnético ejerce una fuerza cuya dirección y sentido vienen dados por el producto vectorial Fm=q·v´B cuyo módulo es Fm=q·v·B. De nuevo, por ser negativa la carga, el sentido de la fuerza es contrario al del producto vectorial v´B.

THOM_1.gif (1643 bytes)

Los electrones no se desvían, si ambas fuerzas son iguales y de sentido contrario.

Por tanto, atravesarán el selector de velocidades sin desviarse, aquellos electrones cuya velocidad v sea igual cociente E/B.

 

Medida de la relación carga/masa

La trayectoria seguida por el haz de electrones entre las placas del condensador, la hemos estudiado ya en la página dedicada al estudio del osciloscopio. Volveremos a repetir las ecuaciones del movimiento.

Movimiento entre las placas del condensador

Cuando eliminamos el campo magnético, el electrón se mueve bajo la acción de la fuerza eléctrica F=qE constante en la región del condensador perpendicular a la dirección inicial de su velocidad. Utilizamos las ecuaciones del movimiento curvilíneo bajo aceleración constante

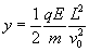
Si L es la longitud del condensador, la desviación vertical y de la partícula al salir de sus placas será

THOM_2.gif (3361 bytes)

Movimiento fuera de las placas del condensador

Una vez que el electrón ha salido de las placas del condensador, sigue un movimiento rectilíneo uniforme, hasta que llega a la pantalla. La desviación total del haz en la pantalla situada a una distancia D del condensador es

Donde vy y vx son las componentes del vector velocidad en el instante en el que el electrón abandona la región situada entre las placas del condensador x=L.

 

Actividades

El programa interactivo genera un número aleatorio que representa la velocidad v0 del haz de electrones.

Medida de la velocidad del haz de electrones

Se introduce

  • la intensidad del campo eléctrico (se multiplica por 10000), en el control de edición titulado Campo eléctrico
  • la intensidad del campo magnético (en gauss=10-4 T), en el control de edición titulado Campo magnético

Se activa en el botón de radio Velocidad

Se pulsa el botón titulado Empieza

Se modifica los valores del campo eléctrico y/o magnético tantas veces como sea necesario hasta conseguir una desviación nula del haz (que impacte sobre el origen).

Ejemplo:

Introducimos

  • 4.15 en el control de edición titulado Campo eléctrico
  • 3.0 en el control de edición titulado Campo magnético

Se pulsa el botón titulado Empieza y se observa una desviación nula del haz de electrones.

Se obtiene el valor de la velocidad del haz, dividiendo la intensidad del campo eléctrico E entre la intensidad del campo magnético B. El valor del campo eléctrico se ha de multiplicar por 10000, y el valor del campo magnético está expresado en gauss (0.0001 T). La velocidad del haz de electrones es

Encontrar otros valores del campo del campo eléctrico y del campo magnético que den lugar a una desviación nula del haz de electrones.

Medida de la relación carga/masa

Una vez obtenido el valor de la velocidad del haz de electrones, se activa el botón de radio Carga/masa y desaparece el campo magnético,

Se introduce

  • la intensidad del campo eléctrico (se multiplica por 10000), en el control de edición titulado Campo eléctrico

Se pulsa el botón titulado Empieza

Se mide la desviación d (en mm) del haz en la pantalla graduada.

Conocida la velocidad v0 del haz de electrones, la longitud del condensador L=4 cm y la distancia del condensador a la pantalla  D=12 cm, se despeja la relación q/m de la fórmula obtenida anteriormente. Antes de proceder al cálculo se expresa todas las magnitudes en el S.I. de unidades

Ejemplo:

Establecemos el valor del campo eléctrico E=50000 N/C. Se observa que el haz de electrones se ha desviado d=2.6 mm en la pantalla fluorescente.

Obtener el cociente q/m para otros valores de la intensidad del campo eléctrico

El valor de q/m correcto es

 

ThomsonApplet aparecerá en un explorador compatible con JDK 1.1.