Movimiento rectilíneo

prev.gif (997 bytes)home.gif (1232 bytes)next.gif (1211 bytes)

Cinemática

Movimiento rectilíneo
marca.gif (847 bytes)Movimiento rectilíneo
Movimiento de caída
de los cuerpos
Regresión lineal
Movimiento rectilíneo
uniforme
Movimiento rectilíneo
u. acelerado
Movimiento rectilíneo y uniforme

Movimiento rectilíneo uniformemente acelerado

Interpretación geométrica de la derivada

Integral definida

 

Movimiento rectilíneo

Se denomina movimiento rectilíneo, aquél cuya trayectoria es una línea recta.

En la recta situamos un origen O, donde estará un observador que medirá la posición del móvil x en el instante t. Las posiciones serán positivas si el móvil está a la derecha del origen y negativas si está a la izquierda del origen.

Posición

La posición x del móvil se puede relacionar con el tiempo t mediante una función x=f(t).

Cine_02.gif (1315 bytes)

Desplazamiento

Supongamos ahora que en el tiempo t, el móvil se encuentra en posición x, más tarde, en el instante t' el móvil se encontrará en la posición x'. Decimos que móvil se ha desplazado Dx=x'-x en el intervalo de tiempo Dt=t'-t, medido desde el instante t al instante t'.

Velocidad

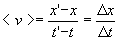
La velocidad media entre los instantes t y t' está definida por

Para determinar la velocidad en el instante t, debemos hacer el intervalo de tiempo Dt tan pequeño como sea posible, en el límite cuando Dt tiende a cero.

Pero dicho límite, es la definición de derivada de x con respecto del tiempo t.

Para comprender mejor el concepto de velocidad media, resolvemos el siguiente ejercicio

Ejercicio

Una partícula se mueve a lo largo del eje X, de manera que su posición en cualquier instante t está dada por x=5·t2+1, donde x se expresa en metros y t en segundos.

Calcular su velocidad promedio en el intervalo de tiempo entre:

  •  2 y 3 s.

  •  2 y 2.1 s.

  •  2 y 2.01 s.

  •  2 y 2.001 s.

  •  2 y 2.0001 s.

  •  Calcula la velocidad en el instante t=2 s.

En el instante t=2 s, x=21 m

t’ (s)

x’ (m)

Δx=x'-x

Δt=t'-t

 m/s

3

46

25

1

25

2.1

23.05

2.05

0.1

20.5

2.01

21.2005

0.2005

0.01

20.05

2.001

21.020005

0.020005

0.001

20.005

2.0001

21.00200005

0.00200005

0.0001

20.0005

 ...

  ...

 ...

 ...

 ...

 

0

20

Como podemos apreciar en la tabla, cuando el intervalo Δt→0, la velocidad media tiende a 20 m/s. La velocidad en el instante t=2 s es una velocidad media calculada en un intervalo de tiempo que tiende a cero.

Calculamos la velocidad en cualquier instante t

  • La posición del móvil en el instante t es x=5t2+1

  • La posición del móvil en el instante t+Dt es  x'=5(t+Dt)2+1=5t2+10tDt+5Dt2+1

  • El desplazamiento es Dx=x'-x=10tDt+5Dt2

  • La velocidad media <v> es

La velocidad en el instante t es el límite de la velocidad media cuando el intervalo de tiempo tiende a cero

La velocidad en un instante t se puede calcular directamente, hallando la derivada de la posición x respecto del tiempo.

En el instante t=2 s, v=20 m/s

Aceleración

En general, la velocidad de un cuerpo es una función del tiempo. Supongamos que en un instante t la velocidad del móvil es v, y en el instante t' la velocidad del móvil es v'. Se denomina aceleración media entre los instantes t y t' al cociente entre el cambio de velocidad Dv=v'-v y el intervalo de tiempo en el que se ha tardado en efectuar dicho cambio, Dt=t'-t.

La aceleración en el instante t es el límite de la aceleración media cuando el intervalo Dt tiende a cero, que es la definición de la derivada de v.

Ejemplo:

Un cuerpo se mueve a lo largo de una línea recta x=2t3-4t2+5 m. Hallar la expresión de

  • La velocidad

  • La aceleración del móvil en función del tiempo.

Dada la velocidad del móvil hallar el desplazamiento

Si conocemos un registro de la velocidad podemos calcular el desplazamiento x-x0 del móvil entre los instantes t0 y t, mediante la integral definida.

El producto v dt representa el desplazamiento del móvil entre los instantes t y t+dt, o en el intervalo dt. El desplazamiento total es la suma de los infinitos desplazamientos infinitesimales entre los instantes t0 y t.

En la figura, se muestra una gráfica de la velocidad en función del tiempo, el área en color azul mide el desplazamiento total del móvil entre los instantes t0 y t, el segmento en color azul marcado en la trayectoria recta.

Hallamos la posición x del móvil en el instante t, sumando la posición inicial x0 al desplazamiento, calculado mediante la medida del área bajo la curva v-t o mediante cálculo de la integral definida en la fórmula anterior.

Ejemplo:

Un cuerpo se mueve a lo largo de una línea recta de acuerdo a la ley v=t3-4t2 +5 m/s. Si en el instante t0=2 s. está situado en x0=4 m del origen. Calcular la posición x del móvil en cualquier instante.

Dada la aceleración del móvil hallar el cambio de velocidad

Del mismo modo, que hemos calculado el desplazamiento del móvil entre los instantes t0 y t, a partir de un registro de la velocidad v en función del tiempo t, podemos calcular el cambio de velocidad v-v0 que experimenta el móvil entre dichos instantes, a partir de un registro de la aceleración en función del tiempo.

En la figura,  el cambio de velocidad v-v0 es el área bajo la curva a-t, o el valor numérico de la integral definida en la fórmula anterior.

Conociendo el cambio de velocidad v-v0, y el valor inicial v0 en el instante t0, podemos calcular la velocidad v en el instante t.

Ejemplo:

La aceleración de un cuerpo que se mueve a lo largo de una línea recta viene dada por la expresión. a=4-t2 m/s2. Sabiendo que en el instante t0=3 s, la velocidad del móvil vale v0=2 m/s. Determinar la expresión de la velocidad del móvil en cualquier instante

Resumiendo, las fórmulas empleadas para resolver problemas de movimiento rectilíneo son

 

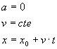
Movimiento rectilíneo uniforme

Un movimiento rectilíneo uniforme es aquél cuya velocidad es constante, por tanto, la aceleración es cero. La posición x del móvil en el instante t lo podemos calcular integrando

o gráficamente, en la representación de v en función de t.

Habitualmente, el instante inicial t0 se toma como cero, por lo que las ecuaciones del movimiento uniforme resultan

 

Movimiento rectilíneo uniformemente acelerado

Un movimiento uniformemente acelerado es aquél cuya aceleración es constante. Dada la aceleración podemos obtener el cambio de velocidad v-v0 entre los instantes t0 y t, mediante integración, o gráficamente.

Dada la velocidad en función del tiempo, obtenemos el desplazamiento x-x0 del móvil entre los instantes t0 y t, gráficamente (área de un rectángulo + área de un triángulo), o integrando

Habitualmente, el instante inicial t0 se toma como cero, quedando las fórmulas del movimiento rectilíneo uniformemente acelerado, las siguientes.

Despejando el tiempo t en la segunda ecuación  y sustituyéndola en la tercera, relacionamos la velocidad v con el desplazamiento x-x0

 

Interpretación geométrica de la derivada

El siguiente applet, nos puede ayudar a entender el concepto de derivada y la interpretación geométrica de la derivada

Se elige la función a representar en el control de selección titulado Función,  entre las siguientes:

Se pulsa el botón titulado Nuevo

Se observa la representación de la función elegida

Con el puntero del ratón se mueve el cuadrado de color azul, para seleccionar una abscisa t0.

Se elige el aumento, 10, 100, ó 1000 en el control de selección titulado Aumento

  • Cuando se elige 100 ó 1000, la representación gráfica de la función es casi un segmento rectilíneo. Se mide su pendiente con ayuda de la rejilla trazada sobre la representación gráfica

  • Se calcula la derivada de la función en el punto de abscisa t0 elegido

  • Se comprueba si coinciden la medida de la pendiente y el valor de la derivada en t0.

Ejemplo:

Elegimos la primera función y el punto t0=3.009

Elegimos ampliación 1000.  La pendiente de la recta vale -1, y se muestra en la figura.

La derivada de dicha función es

para t0=3.0 la derivada tiene vale -1.0

 

CinemaApplet1 aparecerá en un explorador compatible con JDK 1.1.

Pulsar el botón titulado Nuevo, mover con el puntero del ratón el pequeño cuadrado de color azul

                                      

 

Integral definida

Dada la velocidad del móvil en función del tiempo, vamos a calcular el desplazamiento del móvil entre los instantes t0 y t.  En los casos en los que la velocidad es constante o varía linealmente con el tiempo, el desplazamiento se calcula fácilmente

Si v=35 m/s, el desplazamiento del móvil entre los instantes t0=0 y t=10 s es Δx=35·10=350 m
Si v=6·t, el desplazamiento del móvil entre los instantes t0=0 y t=10 s es el área del triángulo de color azul claro Δx=(60·10)/2=300 m
Si v=-8·t+60. el desplazamiento del móvil entre los instantes t0=0 y t=10 s es la suma de las áreas de dos triángulos:
  • el de la izquierda tiene un área de (7.5·60)/2=225 
  • el de la derecha tiene un área de (-20·2.5)/2=-25.

El desplazamiento es el área total Δx=225+(-25)=200 m

En otros casos, podemos calcular el desplazamiento aproximado, siguiendo el procedimiento que se muestra en la figura

En el instante ti-1 la velocidad del móvil es vi-1, en el instante ti la velocidad del móvil es vi. La velocidad media <vi> en el intervalo de tiempo Δti=ti-ti-1 comprendido entre ti-1 y ti es

El desplazamiento del móvil durante el intervalo de tiempo Δti=ti-ti-1 comprendido entre ti-1 y ti es aproximadamente el área del rectángulo <vi>·Δti. El desplazamiento total x-x0 entre el instante inicial t0, y el instante final t=tn es, aproximadamente

donde n es el número de intervalos

Si v=-t2+14t+21 (m/s) y tomamos n=10 intervalos iguales, entre el instante t0=0 y t=10 s el desplazamiento aproximado vale

x-x0≈27.7+39.8+49.8+57.7+63.7+67.7+69.7+69.8+67.8+63.8=577.5 m

Cuando el número de intervalos en los que se ha dividido un intervalo dado (t0, t) es muy grande Δti→0. En el límite, el desplazamiento se expresa como

Si v=-t2+14t+21 (m/s), el desplazamiento entre el instante t0=0 y t=10 s vale

Actividades

Se elige la función a representar en el control de selección titulado Función, entre las siguientes:

v=-t2+14t+21
v=-8t+60
v=35
v=2t2-12t-12

Se pulsa el botón titulado Nuevo

Se arrastra el puntero del ratón el pequeño cuadrado de color azul, y se pulsa el botón titulado Área.

Se arrastra hacia la derecha el el pequeño cuadrado de color azul, y se vuelve a pulsar el botón titulado Área y así sucesivamente, hasta un máximo de 15 veces.

Se representa y se calcula el área <viΔti de cada rectángulo que se suma al área calculada previamente.

 

CinemaApplet1 aparecerá en un explorador compatible con JDK 1.1.

Mover con el puntero del ratón el pequeño cuadrado de color azul y pulsar el botón titulado Área