Movimiento bajo la aceleración constante de la gravedad

prev.gif (1231 bytes)home.gif (1232 bytes)next.gif (1211 bytes)

Cinemática

Movimiento curvilíneo
Magnitudes cinemáticas
marca.gif (847 bytes)Tiro parabólico
Composición de
movimientos
Apuntar un cañón para
dar en un blanco fijo
Bombardear un blanco
móvil desde un avión
Tiros frontales 
a canasta
Alcance máximo en el
plano horizontal
Alcance máximo en el
plano inclinado
Otros máximos
Disparo de un proyectil
contra un blanco móvil
Barro que se desprende
de una rueda
Tiro parabólico y
movimiento circular
Torpedo a la caza de
un submarino
Descripción

java.gif (886 bytes) Actividades

java.gif (886 bytes)Alcance horizontal y altura máxima

Referencias

 

En este programa, se estudia un caso particular de movimiento curvilíneo, el tiro parabólico, que es la composición de dos movimientos:

  • Uniforme a lo largo del eje X.
  • Uniformemente acelerado a lo largo del eje vertical Y.

 Para resolver un problema de tiro parabólico es necesario seguir los siguientes pasos

1.-Establecer el sistema de referencia, es decir, el origen y los ejes horizontal X, y vertical Y

2.-Determinar el valor y el signo de la aceleración vertical

3.-Las componentes de la velocidad inicial (incluido el signo)

4.-La posición inicial

5.-Escribir las ecuaciones del movimiento

6.-A partir de los datos, hallar las incógnitas

 

Descripción

En la figura tenemos un proyectil que se ha disparado con una velocidad inicial v0, haciendo un ángulo q  con la horizontal, las componentes de la velocidad inicial son

Image545.gif (1131 bytes)

Como el tiro parabólico es la composición de dos movimientos:

Las ecuaciones del movimiento de un proyectil bajo la aceleración constante de la gravedad son:

Image478.gif (1637 bytes)

Eliminado el tiempo en las ecuaciones que nos dan las posiciones x e y, obtenemos la ecuación de la trayectoria, que tiene la forma y=ax2 +bx +c, lo que representa una parábola.

Obtenemos la altura máxima, cuando la componente vertical de la velocidad vy es cero; el alcance horizontal x cuando el cuerpo retorna al suelo y=0.

 

Actividades

Resolver numéricamente los siguientes problemas y comprobar la solución con el programa interactivo

1.-Un avión en vuelo horizontal a una altura de 300 m y con una velocidad de 60 m/s, deja caer una bomba. Calcular el tiempo que tarda en llegar al suelo, y el desplazamiento horizontal de la bomba.

2.-Se lanza un cuerpo desde el origen con velocidad horizontal de 40 m/s, y con una velocidad vertical hacia arriba de 60 m/s. Calcular la máxima altura y el alcance horizontal.

3.-Resolver el ejercicio anterior, tomando como lugar de lanzamiento la cima de una colina de 50 m de altura.

4.-Se lanza un proyectil desde una colina de 300 m de altura, con una velocidad horizontal de 50 m/s, y una velocidad vertical de -10 m/s (hacia abajo). Calcular el alcance horizontal y la velocidad con que llega al suelo.

5.-Un cañón dispara una bala desde lo alto de un acantilado de 200 m de altura con una velocidad de 46 m/s haciendo un ángulo de 30º por encima de la horizontal. Calcular el alcance, el tiempo de vuelo, y las componentes de la velocidad de la bala al nivel del mar. Hallar también la altura máxima. (Hallar primero, las componentes horizontal y vertical de la velocidad inicial).


Se introduce en los controles de edición

  • la altura inicial y0.
  • la componente vx de la velocidad inicial
  • la componente vy de la velocidad inicial

Se pulsa el botón titulado Empieza. Se observa el movimiento de de la partícula y la trayectoria que describe. En la parte superior del applet, se muestran los valores de su posición x, e, y de su velocidad vx y vy, según va transcurriendo el tiempo t.

Se puede detener el movimiento en cualquier momento, pulsando en el botón titulado Pausa, o se puede observar el movimiento paso a paso, pulsando varias veces en el botón titulado Paso. Para reanudar el movimiento, se pulsa en el botón titulado Continua que es el mismo que el botón Pausa.

Por ejemplo, cuando el móvil esté a punto de alcanzar la altura máxima, se pulsa el botón Pausa y luego, varias veces en el botón Paso, hasta que alcanza dicha altura (observar que la velocidad vertical vy es cero). Luego, se pulsa en el botón Continua, para que se reanude el movimiento. Cuando esté a punto de regresar al origen, se pulsa el botón Pausa y luego, varias veces en el botón Paso hasta que la y se haga cero. Finalmente, se pulsa Continua hasta que desaparece el móvil de la ventana del applet.

CinemaApplet2 aparecerá en un explorador compatible con JDK 1.1.
                
 

Alcance horizontal y altura máxima

En el applet se trazan las trayectorias de proyectiles disparados con la misma velocidad inicial v0 pero con los siguientes ángulos de tiro q : 10º, 20º, 30º, 40º, 45º, 50º, 60º, 70º, 80º, 90º.

 Las ecuaciones del movimiento de los proyectiles son

x=v0·cosq ·t
y=v0·
senq ·t-g·t2/2

La parábola de seguridad

El alcance horizontal de cada uno de los proyectiles se obtiene para y=0.

Su valor máximo se obtiene para q =45º, teniendo el mismo valor para q =45+a , que para q =45-a . Por ejemplo, tienen el mismo alcance los proyectiles disparados con ángulos de tiro de 40º y 60º, ya que sen(2·40)=sen(2·60).

La altura máxima que alcanza un proyectil se obtiene con vy=0.

Su valor máximo se obtiene para el ángulo de disparo q =90º.

La envolvente de todas las trayectorias descritas por los proyectiles cuyo ángulo de disparo está comprendido entre 0 y 180º se denomina parábola de seguridad.

Esta denominación hace referencia al hecho de que fuera de esta parábola estamos a salvo de los proyectiles disparados con velocidad v0.

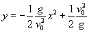
Se trata de la parábola simétrica respecto del eje Y de ecuación y=-ax2+b que pasa por los puntos (x=v02/g, y=0), y (x=0, y=v02/(2g)) tal como se ve en la figura.

La ecuación de dicha parábola es

Deducción alternativa de la ecuación de la parábola de seguridad

Las ecuaciones paramétricas de la trayectoria son

x=v0·cosθ·t
y=v0
·senθ·t-gt2/2

Eliminado el tiempo t, obtenemos la ecuación de la trayectoria

Esta ecuación se puede escribir de forma alternativa

Consideremos un punto arbitrario P del plano. Sustituimos las coordenadas (x, y) del punto en la ecuación de la trayectoria y puede ocurrir

  1. Que la ecuación de segundo grado en tanθ no tenga raíces reales. El punto P1 no podría ser un punto de impacto para un proyectil disparado con velocidad inicial v0.

  2. Que la ecuación de segundo grado tenga dos raíces reales, lo que implicará que el punto P2 es accesible, y que hay dos ángulos de tiro θ1 y θ2 que dan en el blanco P2. En la figura, vemos que cualquier punto en el interior de la envolvente es alcanzado por dos trayectorias.

  3. Cuando la raíz de la ecuación de segundo grado es doble θ1=θ2. Como vemos en la figura, solo hay una trayectoria que pasa por un punto P3 dado de la envolvente.

Para que las raíces sean iguales, se tiene que cumplir que el discriminante b2-4ac de la ecuación de segundo grado ax2+bx+c=0 sea nulo.

Esta es la ecuación de la envolvente que hemos obtenido anteriormente.

La elipse que une las posiciones de altura máxima

La altura máxima se alcanza cuando vy=0, en el intante t=v0·senθ/g. La posición (xh, yh) del proyectil en este instante es

Teniendo en cuenta, la relación trigonométrica 1-cos(2θ)=2sen2θ

Despejando sen(2θ) en la primera ecuación, cos(2θ), en la segunda, elevando al cuadrado y sumando, eliminamos el ángulo 2θ.

Esta ecuación representa una elipse centrada en el punto (0, b) cuyos semiejes son 2b y b

La semidistancia focal c y la excentricidad e valen, respectivamente.

La excentricidad es un valor constante que no depende de ningún parámetro del movimiento.

 

Actividades

Se introduce la velocidad inicial de los proyectiles en el control de edición titulado Velocidad inicial.

Se pulsa el botón titulado Empieza

Se representa las trayectorias que siguen los proyectiles disparados con ángulo de tiro q : 10º, 20º, 30º, 40º, 45º, 50º, 60º, 70º, 80º, 90º.

En la parte superior derecha del applet se muestra el alcance de cada uno de los proyectiles.

El lector puede calcular, el alcance, la altura máxima y el tiempo de vuelo de un proyectil para algunos de los ángulos de tiro especificados y en especial, el que corresponde a 45º,  y comparar sus resultados con los proporcionados por el programa interactivo.

 

CinemaApplet2 aparecerá en un explorador compatible con JDK 1.1.

 

Referencias

Para el apartado "La elipse que une las posiciones de altura máxima"

Fernández-Chapou J. L., Salas-Brito A. L., Vargas C. A. An elliptic property of parabolic trajectories. Am. J. Phys. 72 (8) August 2004, pp. 1109

Para el apartado "Deducción alternativa de la ecuación de la parábola de seguridad"

Donnelly D. The parabolic envelope of constant initial speed trajectories. Am. J. Phys. 60 (12) December 1992, pp. 1149-1150