Electromagnetismo |
Movimiento de las partículas cargadas Fuerzas sobre las cargas Atomo de Bohr
Separación de semillas Motor iónico Acelerador lineal Medida de la relación carga/masa Medida de la unidad fundamental de carga El espectrómetro de masas El ciclotrón Campos eléctrico y magnético cruzados |
Descripción | |
DescripciónEl osciloscopio es un instrumento muy corriente en el laboratorio de Física, de Electricidad y Electrónica. Tiene forma cónica con un cuello tubular en el que va montado el cañón de electrones. Describiremos sus distintas partes:
El cañón electrónicoLos electrones son emitidos por un cátodo de caldeo, que tiene forma de un cilindro cerrado por un extremo mediante una plaquita. Esta placa está recubierta por óxidos de bario y estroncio que emiten un haz de electrones de alta densidad. El cátodo se calienta mediante un elemento calefactor en forma de hélice que está contenido en el cilindro. A continuación, y muy próximo al cátodo viene la rejilla de control que tiene un orificio más pequeño que la superficie emisora. Una segunda rejilla de control acelera los electrones que han pasado a través de la primera rejilla. El siguiente elemento dentro del tubo, es el denominado ánodo de enfoque. Que tiene forma cilíndrica con varios orificios. Finalmente, tenemos el ánodo acelerador.
El ánodo acelerador A2 está fijado a un potencial de varios miles de voltios respecto al cátodo. El primer ánodo de enfoque A1 funciona a un potencial VC que es aproximadamente la cuarta parte de A2, VC+VB. La segunda rejilla R2 está conectada internamente a A2. Variando los potenciales VB y VC se puede cambiar la energía del haz de electrones. La rejilla de control R1 es siempre negativa respecto al potencial del cátodo C. La densidad del haz de electrones y por tanto, la intensidad de la imagen sobre la pantalla puede variarse cambiando esta diferencia de potencial, que recibe el nombre de tensión de polarización. Normalmente, la rejilla de control R1 funciona a un potencial de 20 voltios negativos respecto del cátodo. El tubo de rayos catódicos tiene dos pares de placas deflectoras que desvían el haz en dos direcciones mutuamente perpendiculares. Las placas no son completamente paralelas sino que se ensanchan para lograr grandes ángulos de desviación evitando que el haz de electrones choque contra los bordes de las placas. La diferencia de potencial entre las placas deflectoras suele ser de 0 a 45 voltios. La pantallaLa pantalla del tubo de rayos catódicos está recubierta internamente con una sustancia fosforosa que destella visiblemente cuando incide sobre ella un haz de electrones. Se denomina luminiscencia a una propiedad radiativa de los sólidos. La sustancia brilla cuando se ilumina con luz de longitud de onda apropiada o se excita por algún otro medio como el choque con un haz de electrones.
|

| Cuando se lleva un electrón de la banda de valencia a la banda de
conducción, deja un hueco en la banda de valencia. En una red perfectamente pura y
regular, el electrón regresa a la banda de valencia. Si la red tiene impurezas que introduzcan niveles de energía en la región prohibida, un electrón que ocupe un nivel de impureza bajo, puede llenar el hueco en la banda de valencia, mientras que el electrón en la banda de conducción puede caer a alguno de los niveles de impureza cercanos a dicha banda. Cuando el electrón pasa de un nivel de impureza cercano a la banda de conducción a un nivel de impureza de baja energía, emite radiación que se denomina luminiscencia. El electrón situado en la banda de conducción puede caer en una trampa, desde la cual está prohibida una transición al nivel fundamental de impureza. Al cabo de cierto tiempo, el electrón puede regresar a la banda de conducción, después de lo cual pasa de a un nivel de impureza cercano a la banda de conducción y a continuación, al nivel fundamental de impureza. Debido al tiempo empleado en este proceso, que puede ser de varios segundos, el proceso se llama fosforescencia. La sustancias que se comportan de esta manera como el sulfuro de cinc se usan en las pantallas de los tubos de rayos catódicos, televisión, etc. Cuando el haz de electrones choca contra el material de la pantalla, otros electrones son expulsados del fósforo. Estos electrones libres, se denominan electrones secundarios y son recogidos por un recubrimiento de grafito en polvo que se aplica a la superficie interna del tubo. El grafito es conductor de la electricidad y lleva los electrones al terminal positivo de la fuente de alimentación.
Fundamentos físicosEl movimiento del electrón se realiza en tres etapas:
Movimiento en el cañón acelerador
La velocidad de los electrones cuando llegan a las placas deflectoras después de haber sido acelerados por el cañón de electrones es.
Movimiento entre las placas del condensador Entre las placas deflectoras, el electrón experimenta una fuerza constante F=qE. Siendo E el campo eléctrico en el espacio comprendido entre las dos placas. Utilizamoslas ecuaciones del movimiento curvilíneo bajo aceleración constante
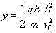
Si L es la longitud del condensador, la desviación vertical y del haz de electrones a la salida de las placas será
Movimiento fuera de las placas Después de que el haz de electrones abandone la región deflectora, sigue un movimiento rectilíneo uniforme, una línea recta tangente a la trayectoria en el punto x=L en el que dicho haz abandonó la mencionada región. La desviación total del haz en la pantalla situada a una distancia D del condensador es
El ángulo de desviación aumenta con la longitud L de las placas, con la diferencia de potencial Vd ( o el campo E) entre las mismas. Aumenta también, si se disminuye el potencial acelerador V, o la velocidad v0 de los electrones, permitiéndoles estar más tiempo dentro del campo deflector.
ActividadesSe introduce:
Se pulsa el botón titulado Nuevo, y se dibuja la trayectoria seguida por el haz de electrones. Sobre la escala vertical a la derecha del applet, se puede medir la desviación del haz de electrones en cm. Cuando se hayan dibujado varias trayectorias se pulsa el botón titulado Borrar, para limpiar el área de trabajo de applet. Ejemplo Se introducen los siguientes datos:
Si la diferencia de potencial entre el cátodo y el ánodo del cañón acelerador es 2000 V, la velocidad de los electrones al llegar a las placas deflectoras es
A lo largo del eje horizontal, la velocidad de los electrones es constante. El tiempo que tarda en recorrer los 4 cm que miden las placas es 0.04=vx·t, La desviación a la salida de las placas es
Las componentes de la velocidad en dicha posición son vx=2.65·107 m/s, y vy=3.98·106 m/s. El vector velocidad se habrá desviado de la dirección inicial horizontal, un ángulo tanq=vy/vx A continuación, los electrones siguen una trayectoria rectilínea a lo largo de una distancia horizontal de 12 cm hasta llegar a la pantalla La desviación total es y=0.003+0.12·tanq=0.021 m= 2.1 cm
|