Electromagnetismo |
Movimiento de las partículas cargadas Fuerzas sobre las cargas Atomo de Bohr El osciloscopio Separación de semillas Motor iónico
Medida de la relación carga/masa Medida de la unidad fundamental de carga El espectrómetro de masas El ciclotrón Campos eléctrico y magnético cruzados |
Fundamentos físicos | |
| El acelerador lineal también llamado LINAC (linear accelerator) es un tipo de acelerador que le proporciona a la partícula subatómica cargada pequeños incrementos de energía cuando pasa a través de una secuencia de campos eléctricos alternos. Mientras que el generador de Van de Graaff proporciona energía a la partícula en una sola etapa, el acelerador lineal y el ciclotrón proporcionan energía a la partícula en pequeñas cantidades que se van sumando. El acelerador lineal, fue propuesto en 1924 por el físico sueco Gustaf Ising. El ingeniero noruego Rolf Wideröe construyó la primera máquina de esta clase, que aceleraba iones de potasio hasta una energía de 50.000 eV. Durante la Segunda Guerra Mundial se construyeron potentes osciladores de radio frecuencia, necesarios para los radares de la época. Después se usaron para crear aceleradores lineales para protones que trabajaban a una frecuencia de 200 MHz, mientras que los aceleradores de electrones trabajan a una frecuencia de 3000 MHz. El acelerador lineal de protones diseñado por el físico Luis Alvarez en 1946, tenía 875 m de largo y aceleraba protones hasta alcanzar una energía de 800 MeV (800 millones). El acelerador lineal de la universidad de Stanford es el más largo entre los aceleradores de electrones, mide 3.2 km de longitud y proporciona una energía de 50 GeV (50 billones). En la industria y en la medicina se usan pequeños aceleradores lineales, bien sea de protones o de electrones.
Fundamentos físicosUn acelerador lineal está constituido por un tubo muy largo dividido en porciones de longitud variable. |

|
Las secciones alternas del tubo se conectan entre sí y se aplica una diferencia de potencial oscilante, entre los dos conjuntos. En la figura, el potencial de las porciones de tubo de color rojo es positivo y el de las de color azul es negativo. Vamos a demostrar que para que el ión esté en fase con el potencial oscilante, cuando pasa de una porción del tubo a la siguiente, las longitudes de las sucesivas porciones Ln deben cumplir la siguiente proporción
donde L1 es la longitud de la primera. Primera etapa
El tiempo que tardan en recorrer el tubo de longitud L1 es t1=L1/v1
Segunda etapa
Al salir del primer tubo y entrar en el segundo, el potencial ha cambiado de polaridad. De nuevo, la partícula se acelera recibiendo una energía adicional de 2qV0. La velocidad de la partícula en el segundo tubo será
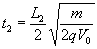
El tiempo que tardan en recorrer el tubo de longitud L2 es t2=L2/v2
para que t1 sea igual a t2, la longitud L2 del segundo tubo tiene que ser
Tercera etapa
Al salir del segundo tubo y entrar en el tercero, el potencial ha cambiado de polaridad De nuevo, la partícula se acelera recibiendo una energía adicional de 2qV0. La velocidad de la partícula en el tercer tubo será
El tiempo que tardan en recorrer el tubo de longitud L3 es t3=L3/v3
para que t1 sea igual a t3, la longitud L3 del tercer tubo tiene que ser
n-etapa En general, cuando la partícula pasa del tubo n-1 al tubo n, su energía es
La longitud del tubo n será
El acelerador lineal consta de n tubos alineados cuyas longitudes son proporcionales a la raíz cuadrada del número de tubo.
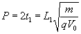
Frecuencia de la fem alternaComo hemos visto en la primera figura, los tubos en posiciones alternas tienen el mismo potencial. Por ejemplo, los tubos impares son bien positivos (negativos) mientas que los pares son negativos (positivos).
En la figura de arriba, vemos que la partícula se frena al pasar del segundo al tercer tubo. En la figura de abajo, vemos que el ión es acelerado al pasar del segundo al tercer tubo. Para conseguir que el ión se acelere siempre, la frecuencia de la fem alterna tiene que ser tal, que el tiempo que tarde del ión en recorrer cualquier tubo sea el mismo que necesita la fem para cambiar de polaridad. El periodo P de la fem será
Ejemplo 1: Tenemos un acelerador lineal de cinco etapas n=5. El primer tubo tiene una longitud de 5 cm. Aceleramos con esta máquina iones de 2 unidades de carga q=2·1.6 10-19 C, y de 4 uma de masa, m=4·1.67 10-27 kg. La amplitud de la fem alterna es 100 V. El periodo de la fem será
Su frecuencia f =1/P==1.38 MHz. La energía de los iones al llegar al blanco será Ef=n·2qV0.= 5·2·2·100=2000 eV Ejemplo 2: Veamos ahora, que ocurre si el periodo de la fem alterna es P=0.60 μs.
ActividadesEl applet simula el funcionamiento de un pequeño acelerador lineal que consta de cinco etapas. La primera porción de tubo (señalada con 1) tiene una longitud de 5 cm, los demás tubos tienen una longitud creciente cuyos valores son
Los tubos pares e impares están conectados a una fem alterna, pero tienen polaridad opuesta. El potencial de los tubos dibujados en color rojo es positivo, mientras que es negativo en los dibujados en color azul. Un ión positivo se acelera en el sentido del campo, cuando pasa desde un tubo con potencial positivo (rojo) a otro a potencial negativo (azul). La flecha que aparece cuando la partícula pasa de un tubo al siguiente indica la magnitud de la fuerza sobre la partícula. En la parte inferior del applet tenemos dos gráficas. La gráfica de la derecha indica la energía que va adquiriendo la partícula. Se toma como unidad la energía 2qV0, es decir, la que adquiere la partícula cuando pasa de la fuente (tubo cero) al primer tubo. La máxima energía que adquiere la partícula es de 5 unidades o bien, 5·2qV0 La gráfica de la izquierda, representa la fem alterna en función del tiempo. La recta vertical de color rojo representa el valor del potencial que tienen los tubos de color rojo en un instante determinado, y la recta de color azul representa el mismo valor pero de signo contrario para los tubos dibujados en color azul. Ambos están en oposición de fase. Se introduce
Se pulsa el botón titulado Empieza. Se puede parar la animación en cualquier momento pulsando el botón titulado Pausa, y se reanuda pulsando el mismo botón titulado ahora Continua. Se observa el movimiento del ión paso a paso pulsando el botón titulado Paso.
|