Modelo atómico de Bohr

prev.gif (1231 bytes)home.gif (1232 bytes)next.gif (1211 bytes)

Electromagnetismo

Movimiento de las
partículas  cargadas 
Fuerzas sobre las 
cargas
marca.gif (847 bytes)Atomo de Bohr
El osciloscopio
Separación de
semillas
Motor iónico
Acelerador lineal
Medida de la relación
carga/masa
Medida de la unidad
fundamental de carga
El espectrómetro
de masas
El ciclotrón
Campos eléctrico y
magnético cruzados
Modelo atómico de Bohr

java.gif (886 bytes)Actividades

 

Un átomo tiene una dimensión del orden de 10-9 m. Está compuesto por un núcleo relativamente pesado (cuyas dimensiones son del orden de 10-14 m) alrededor del cual se mueven los electrones, cada uno de carga –e (1.6 10-19 C), y de masa me (9.1·10-31 kg).

El núcleo está compuesto por protones y neutrones. El número Z de protones coincide con el número de electrones en un átomo neutro. La masa de un protón o de un neutrón es aproximadamente 1850 veces la de un electrón. En consecuencia, la masa de un átomo es prácticamente igual a la del núcleo.

Sin embargo, los electrones de un átomo son los responsables de la mayoría de las propiedades atómicas que se reflejan en las propiedades macroscópicas de la materia.

El movimiento de los electrones alrededor del núcleo se explica, considerando solamente las interacciones entre el núcleo y los electrones (la interacción gravitatoria es completamente despreciable).

Consideremos dos electrones separados una distancia d, y comparemos la fuerza de repulsión eléctrica con fuerza de atracción entre sus masas.

La intensidad de la interacción gravitatoria es despreciable frente a la interacción electromagnética.

 

Modelo atómico de Bohr

El modelo de Bohr es muy simple y recuerda al modelo planetario de Copérnico, los planetas describiendo órbitas circulares alrededor del Sol. El electrón de un átomo o ión hidrogenoide describe también órbitas circulares, pero los radios de estas órbitas no pueden tener cualquier valor.

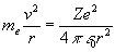
Consideremos un átomo o ión con un solo electrón. El núcleo de carga Ze es suficientemente pesado para considerarlo inmóvil,

bohr.gif (1839 bytes) Si el electrón describe una órbita circular de radio r, por la dinámica del movimiento circular uniforme

En el modelo de Bohr, solamente están permitidas aquellas órbitas cuyo momento angular está cuantizado.

n es un número entero que se denomina número cuántico, y h es la constante de Planck 6.6256·10-34 Js

Los radios de las órbitas permitidas son

donde a0 se denomina radio de Bohr. a0 es el radio de la órbita del electrón del átomo de Hidrógeno Z=1 en su estado fundamental n=1.

La energía total es

En una órbita circular, la energía total E es la mitad de la energía potencial

La energía del electrón aumenta con el número cuántico n.

La primera energía de excitación es la que lleva a un átomo de su estado fundamental a su primer (o más bajo) estado excitado. La energía del estado fundamental se obtiene con n=1, E1= -13.6 eV y la del primer estado excitado con n=2, E2=-3.4 eV. Las energías se suelen expresar en electrón-voltios (1eV=1.6 10-19 J)

La frecuencia f de la radiación emitida cuando el electrón pasa del estado excitado E2 al fundamental E1 es

 

Actividades

En este applet se trata de mostrar las características más sobresalientes del modelo atómico de Bohr.

  • Se elige el  átomo o ión hidrogenoide (un solo electrón) en el control de selección titulado Atomo de
  • Se introduce el número entero n de nivel o capa que ocupa el electrón, en el control de edición titulado Capa

Se pulsa el botón titulado Empieza

Se muestra de forma animada, el movimiento del electrón y se proporcionan datos relativos a su energía en eV y a su radio en angstrom.

Como ejercicio, el lector puede calcular los radios y las energía de algunas de las órbitas del átomo de hidrógeno o del ión  hidrogenoide seleccionado.

Datos:
átomo o ión hidrogenoide

número atómico Z

Hidrógeno 1
Helio 2
Litio 3
Berilio 4
Boro 5
Carbono 6
Nitrógeno 7
Oxígeno 8

carga del electrón e=1.6·10-19 C, masa me=9.1·10-31 kg

constante de Planck h=6.6256·10-34 J·s, constante 1/(4πε0)=9·109

Conversión de unidades: energía, 1eV=1.6 10-19 J, longitud, un angstrom vale 10-10 m

 

ThomsonApplet aparecerá en un explorador compatible con JDK 1.1.