Inducción homopolar

prev.gif (1231 bytes)home.gif (1232 bytes)next.gif (1211 bytes)

Electromagnetismo

Ley de Faraday
Espiras en un campo
magnético variable (I)
Espiras en un campo
magnético variable (II)
Demostración de
la ley de Faraday (I)
Demostración de 
la ley de Faraday (II)
Acelerador de partículas
El betatrón
Varilla que se mueve
en un c. magnético (I)
Caída de una varilla
en un c. magnético
Movimiento de una
espira a través de
un c. magnético
Medida del campo
magnético
Generador de corriente
alterna
Galvanómetro balístico
Corrientes de Foucault
Imán en tubo metálico
marca.gif (847 bytes)Inducción homopolar
Un disco motor y
generador
Varilla que se mueve
en un c. magnético (II)
Varilla que se mueve
en un c. magnético (III)
Varilla que se mueve
en un c. magnético (IV)
Momento angular de
los campos EM (I)
Momento angular de
los campos EM (II)
Calculo de la fem

Momento de las fuerzas sobre el disco

Balance energético

java.gif (886 bytes)Actividades

Referencias

 
fem8_1.gif (2942 bytes) Poco después de descubrimiento de la inducción electromagnética, Faraday llevó a cabo el experimento cuyo esquema se muestra en la figura. Un imán cilíndrico se sostiene colgando verticalmente con uno de los polos sumergido en mercurio. El polo superior se conecta al mercurio mediante un cable. Si el imán se pone en movimiento de rotación, se observa el paso de corriente por el galvanómetro G.

Si se sustituye el galvanómetro por una batería que suministre corriente al circuito, el imán empieza a girar espontáneamente alrededor de su eje, tenemos entonces un motor.

 

La inducción homopolar es intrigante en el sentido de que el flujo que atraviesa el circuito no cambia con el tiempo y sin embargo, se produce una fem. El término inducción homopolar fue acuñado por Weber, quién pensó que solamente uno de los polos estaba involucrado en el fenómeno.

 

Cálculo de la fem

El campo en el interior del imán se dirige desde el polo Sur hacia el polo Norte y no cambia al girar el imán. Las líneas de fuerza en el interior del imán tienen una forma complicada por lo que nos limitaremos al estudio de un modelo más simple.

fem8_2.gif (2632 bytes)

Consideremos un disco metálico en rotación bajo la influencia de un campo magnético uniforme paralelo al eje del disco.

Explicaremos la aparición de la fem en términos de las fuerzas sobre los portadores de carga positivos del disco.

Consideremos un portador de carga positivo situado a una distancia r del disco. La velocidad del portador de carga es v=w ·r, cuya dirección es tangente a la circunferencia que describe. La fuerza que ejerce el campo magnético es

La fuerza magnética impulsa a los portadores de carga positivos desde el eje hacia el borde del disco. El campo En=fm/q (fuerza por unidad de carga ) es En=v·B=B·w ·r. La fem, o diferencia de potencial entre el borde del disco y el eje es

fem8_3.gif (2678 bytes) Los portadores de carga positiva son "impulsados" desde el eje hacia la periferia donde adquieren un potencial mayor. Luego, los portadores de carga "descienden espontáneamente" desde la periferia hacia el eje, completando el circuito.

La intensidad de la corriente inducida es el cociente entre la fem y la resistencia i=Vε/Re. Se denomina aquí Re a la resistencia para no confundirla con el radio del disco.

 

Momento de las fuerzas sobre el disco

Calcularemos el momento que tendremos que ejercer para que el disco se mueva con velocidad angular constante.

fem8_4.gif (2254 bytes)

La fuerza que ejerce un campo magnético sobre una porción de corriente rectilínea de longitud L viene dada por la expresión

El vector unitarios ut señala el sentido de la corriente inducida

La fuerza magnética sobre una porción de corriente rectilínea comprendida entre r y r+dr (el campo y la corriente son perpendiculares) es

dF=iBdr

El momento de todas estas fuerzas respecto del eje de rotación es

Este momento se opone al movimiento del disco, por lo que tendremos que aplicar una fuerza cuyo momento Ma sea igual y opuesto al momento Mm que ejerce el campo magnético sobre la corriente inducida.

Como podemos apreciar, el disco de Faraday tiene un comportamiento similar a la varilla que se mueve en un campo magnético uniforme. La diferencia está en el tipo de movimiento, rotación en el disco, traslación en la varilla, y las magnitudes que intervienen:

  • momento y velocidad angular en el disco,
  • fuerza y velocidad lineal en la varilla.

 

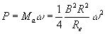
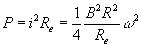
Balance energético

La energía por unidad de tiempo (potencia) mecánica aplicada es el producto del momento de la fuerza aplicada Ma por la velocidad angular constante w .

Esta energía se disipa en la resistencia por efecto Joule

 

Actividades

Se introduce

  • El campo magnético (en gauss ó 10-4 T) que puede ser un número positivo o negativo
  • La velocidad angular de rotación en (rad/s) un número positivo o negativo.
  • Radio del disco (en cm)

Se pulsa el botón titulado Empieza.

Se observa el movimiento de rotación del disco.

Las corriente inducidas se visualizan mediante el movimiento de puntos de color rojo que representan a portadores de carga positivos.

Se representan los siguientes vectores

  • Velocidad del portador de carga positivo (un vector de color negro tangente a la circunferencia que describe)
  • Campo magnético (un vector de color azul que apunta hacia arriba o hacia abajo)
  • Fuerza que ejerce el campo magnético sobre el portador de carga positivo (un vector de color rojo que apunta hacia la izquierda o hacia la derecha).

En la parte superior derecha, aparece el valor numérico de la fem, calculada mediante la fórmula

Se recomienda al lector dibujar sobre un papel el disco y el campo magnético con el siguiente convenio:

  • Un círculo con un punto en su interior indica que el campo magnético es perpendicular al plano del papel que apunta hacia el lector.
  • Un círculo con una cruz representa un campo magnético perpendicular al plano del papel que apunta hacia dentro, en sentido contrario al anterior.
  1. Dibujar el vector velocidad de un punto del disco.
  2. Dibujar la fuerza sobre un portador de carga positivo situado en dicho punto y a continuación, el sentido de la corriente inducida.
FemApplet aparecerá en un explorador compatible JDK 1.1

 

Referencias

Montgomery H. Unipolar induction: a neglected topic in the teaching of electromagnetism.  Eur. J. Phys. 20 (1999) pp. 271-280