Corrientes de Foucault

prev.gif (1231 bytes)home.gif (1232 bytes)next.gif (1211 bytes)

Electromagnetismo

Ley de Faraday
Espiras en un campo
magnético variable (I)
Espiras en un campo
magnético variable (II)
Demostración de
la ley de Faraday (I)
Demostración de 
la ley de Faraday (II)
Acelerador de partículas
El betatrón
Varilla que se mueve
en un c. magnético (I)
Caída de una varilla
en un c. magnético
Movimiento de una
espira a través de
un c. magnético
Medida del campo
magnético
Generador de corriente
alterna
Galvanómetro balístico
marca.gif (847 bytes)Corrientes de Foucault
Imán en tubo metálico
Inducción homopolar
Un disco motor y
generador
Varilla que se mueve
en un c. magnético (II)
Varilla que se mueve
en un c. magnético (III)
Varilla que se mueve
en un c. magnético (IV)
Momento angular de
los campos EM (I)
Momento angular de
los campos EM (II)
Movimiento de una pieza conductora hacia y desde un campo magnético uniforme

Modelo simple que calcula la fuerza de frenado.

Disco que se mueve en un campo magnético uniforme

java.gif (886 bytes)Actividades

Corrientes de Foucault en una pieza metálica de forma cilíndrica

Referencias

 

Hasta ahora hemos considerado ejemplos en los cuales las corriente inducidas están obligadas a seguir trayectorias bien definidas a través de hilos hechos de material conductor. Los equipos eléctricos están formados por piezas, trozos de conductor que se mueven en un campo magnético o están situadas en un campo magnético variable, dando lugar a corrientes inducidas que circulan por el volumen del conductor. Estas corrientes se denominan de Foucault.

Cuando se coloca una pieza de metal en un campo magnético variable con el tiempo B(t), se genera un campo eléctrico que produce un movimiento de las cargas libres en el conductor metálico, generando corrientes.

Estas corrientes disipan energía en el metal en forma de calor. Daremos un ejemplo, en la siguiente página dedicada a las corrientes de Foucault.

Cuando una pieza de metal se mueve en una región en la que existe un campo magnético no uniforme pero constante en el tiempo B(r) se generan corrientes y la energía se disipa en el conductor metálico. Este fenómeno se puede explicar por medio de la fuerza de Lorentz. A causa de la disipación de la energía se produce una fuerza de frenado que disminuye la velocidad de la pieza metálica.

En esta página, daremos una descripción cualitativa de las corrientes de Foucault, teniendo presente el comportamiento de una espira que atraviesa una región en la que existe un campo magnético uniforme con velocidad constante. A continuación, mediante un modelo simple se demostrará que la fuerza de frenado es proporcional a la velocidad de la pieza metálica, concluyendo con un programa interactivo, que muestra los efectos de la fuerza de frenado en un disco en rotación como el que se muestra en la figura..

 

Movimiento de una pieza conductora hacia y desde un campo magnético uniforme

El efecto de las corrientes de Foucault es una disipación de la energía por efecto Joule. Estas pérdidas se intentarán reducir al máximo posible en los núcleos de un transformador, pero puede ser interesante aumentarlas para realizar un frenado electromagnético (amortiguamiento, freno eléctrico) o en la producción del calor (horno de inducción).

El comportamiento de una pieza metálica rectangular que se mueve hacia o sale de una región donde existe un campo magnético uniforme es esencialmente el mismo que el de una espira que se mueve hacia o sale de una región donde existe un campo magnético uniforme perpendicular a la espira.

fem10_1.gif (3096 bytes)

Cuando se introduce la pieza rectangular en la región donde existe un campo magnético uniforme, el flujo aumenta y las corrientes en torbellino se oponen al incremento de flujo. La fuerza que ejerce el campo magnético sobre cada una de las corrientes inducidas da una resultante que se opone a la fuerza aplicada.

El campo magnético es perpendicular al plano del dibujo y está dirigido hacia el lector. El sentido de la corriente inducida en la región donde existe campo magnético está indicada por el vector unitario ut.

fem10_2.gif (3203 bytes) Cuando se saca la pieza rectangular de la región donde existe un campo magnético uniforme, el flujo disminuye y las corrientes en torbellino se oponen a dicha disminución. La fuerza que ejerce el campo magnético sobre cada una de las corrientes inducidas da una resultante que se opone a la fuerza aplicada.

Del mismo modo que hemos visto en la espira que se introduce en el campo magnético, la corriente se genera en el lado de la espira que está en el interior del campo magnético y retorna por la parte de la espira que está fuera de dicha región.

fem10_3.gif (3613 bytes) Consideremos ahora que la pieza metálica es más grande que la región que contiene el campo magnético. Se forman dos corrientes en forma de torbellino de sentidos contrarios, una a la izquierda y otra a la derecha en los límites de la región rectangular donde existe el campo magnético. La fuerza que ejerce el campo magnético sobre las corrientes inducidas es de sentido contrario a la fuerza aplicada que mueve la pieza hacia la derecha.

 

Modelo simple que calcula la fuerza de frenado.

Sea una pieza metálica larga y ancha y de pequeño espesor que se mueve con velocidad constante v. Un campo magnético B uniforme perpendicular al plano de la hoja metálica se aplica a una pequeña porción rectangular de dimensiones a y b.

Se supondrá que el campo magnético producido por las corrientes inducidas es suficientemente pequeño, para considerar que la fuerza de frenado proviene únicamente de la acción del campo magnético externo sobre las corrientes inducidas. Esto se produce si la velocidad v de la pieza metálica es inferior a una velocidad característica vc, que depende de la conductividad del metal  y del espesor de la pieza.

Supongamos que el campo magnético B es perpendicular al plano de la hoja metálica, al moverse la pieza metálica con velocidad v, los portadores de carga q existentes en la pequeña región rectangular de dimensiones a y b experimentan una fuerza fm=q(v×B), tal como se muestra en la figura. Los portadores de carga son impulsados por la fuerza magnética hacia la derecha.

La separación de cargas produce un campo eléctrico E=-v×B,  dirigido hacia la izquierda. Tenemos el equivalente a una batería cuya fem es igual a la diferencia de potencial Vε =vBa medida en circuito abierto.

La pequeña región rectangular no está aislada del resto de la hoja metálica, que proporciona la conexión entre los dos terminales de la imaginaria batería por el que circula una corriente de intensidad i. El resto de la pieza metálica opone una resistencia R al paso de la corriente eléctrica. Mientras que la pequeña región rectangular presenta una resistencia interna r que podemos calcular aplicando la ley de Ohm.

siendo δ el espesor de la pieza metálica y σ la conductividad del metal.  La ecuación del circuito se escribe i(r+R)=Vε

El cálculo de la resistencia R de la pieza metálica excepto la región rectangular es muy complicado.

La fuerza que ejerce el campo magnético B sobre esta porción de corriente rectilínea es

Fm=i(ut×B)a

Se supone que la intensidad está uniformemente distribuida en la sección

La fuerza Fm se opone a la velocidad v de la pieza metálica y es proporcional a su velocidad, y al cuadrado del campo magnético BEl producto δab es el volumen de la porción de la pieza metálica que está bajo la influencia del campo magnético uniforme B.

 

La energía disipada en la unidad de tiempo, es el producto de la fuerza por la velocidad, Fm·v, es proporcional al cuadrado del producto de la intensidad del campo magnético por la velocidad.

Deducción alternativa

De la ley de Ohm y de la fuerza de Lorentz, calculamos la densidad de corriente J

J=σ(E+v×B)

  • El campo magnético tiene la dirección del eje Z, B=Bk.

  • La velocidad tiene la dirección del eje Y, v=vj

  • El campo eléctrico inducido E=-(V/a)i, siendo V la diferencia de potencial entre los extremos de la región rectangular de anchura a.

  • El producto vectorial v×B=vBi

Si J es uniforme en la sección bδ, la intensidad i de la corriente que fluye por la región rectangular es J=i/(bδ)i

El primer término es la fem inducida Vε=vBa, el término que multiplica la intensidad es la resistencia r que presenta la región rectangular al paso de la corriente.

V es la diferencia de potencial en los terminales de la batería, y es también la diferencia de potencial entre los extremos de la resistencia R, por lo que V=iR. Llegamos a la ecuación del circuito vBa=i(r+R)

La fuerza que ejerce el campo magnético sobre la corriente de intensidad i la podemos escribir en términos del vector densidad de corriente J  cuyo módulo es la intensidad dividido el área J=i/(bδ), y cuya dirección y sentido es el del vector unitario ut.

 

El elemento de volumen dV=bδ·dx, señalado en color amarillo en la figura

Obtenemos el mismo resultado

 

Disco que se mueve en un campo magnético uniforme

Consideremos un disco que se mueve en un campo magnético uniforme perpendicular al plano del disco, pero limitado a una porción de su superficie. Tenemos ahora una doble corriente en forma de torbellino, que circula en sentidos contrarios, en el borde anterior y posterior del campo magnético.

fem10_4.gif (2209 bytes) Podemos explicar el origen de las corrientes inducidas a partir de la fuerza sobre los portadores de carga positiva situados en la región donde existe campo magnético.

donde v es la velocidad de los portadores situados a una distancia r del eje del disco v=w r.

Aunque los portadores de carga experimentan una fuerza más intensa en el borde del disco que los situados hacia el centro, la intensidad de la corriente inducida es proporcional a la velocidad angular w del disco. La intensidad es también proporcional al campo magnético B.

fem10_5.gif (2184 bytes) Las fuerzas que ejerce el campo magnético sobre las porciones de corriente inducida

se oponen todas al movimiento del disco, y son proporcionales a la intensidad de la corriente i y al campo magnético B aplicado. Por tanto, estas fuerzas serán proporcionales a la velocidad angular w de rotación del disco y a B2 al cuadrado del módulo del campo magnético aplicado.

El momento de dichas fuerzas respecto del eje del disco, como se ha señalado, es proporcional a la velocidad angular del disco, Mm=kw

Donde k es una constante que depende de la conductividad del material del que está hecho el disco, la intensidad del campo magnético y la posición y tamaño de la porción de la superficie del disco sobre la que actúa el campo magnético.

Una situación análoga al movimiento vertical de una varilla en un seno de un campo magnético uniforme.

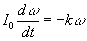
Ecuación de la dinámica de rotación

Supongamos un disco de momento de inercia I0 que se le proporciona una velocidad angular w0 en el instante inicial. La velocidad angular del disco en el instante t se obtiene a partir de la ecuación de la dinámica de rotación

La velocidad angular disminuye exponencialmente con el tiempo.

El péndulo de Pohl es un disco que puede oscilar angularmente gracias al momento que ejerce sobre el mismo un muelle helicoidal. Un dispositivo de este tipo describe oscilaciones libres. Si al disco se le acopla un anillo de metal (normalmente cobre) y se le hace girar entre los polos un electroimán tenemos un modelo de oscilador amortiguado.

Dependiendo de la intensidad de la corriente en el electroimán, el campo puede ser mayor o menor. El momento de la fuerza de frenado magnético puede hacerse suficientemente grande de modo que el sistema deje de oscilar, estamos en el caso de las oscilaciones críticas y sobreamortiguadas.

 

Actividades

Se introduce

  • El campo magnético (en gauss ó 10-4 T) que puede ser un número positivo o negativo
  • La velocidad angular inicial de rotación en (rad/s) un número positivo o negativo.

Se pulsa el botón titulado Empieza.

Se observa el movimiento de rotación del disco, como va disminuyendo su velocidad angular.

Las corriente inducidas se visualizan mediante el movimiento de puntos de color rojo que representan a portadores de carga positivos. Las corrientes inducidas se originan en la región en la que existe campo magnético y se cierran por fuera de dicha región tal como vimos en el movimiento de una espira en el seno de un campo magnético uniforme.

Si activamos la casilla titulada Fuerza sobre las cargas, se representan los vectores

  • Velocidad del portador de carga (un vector hacia la derecha o hacia la izquierda de color rojo)
  • Campo magnético (un vector de color azul perpendicular al plano del applet, hacia el lector o en sentido contrario a éste)
  • Fuerzas sobre el portador de carga, que señala el sentido de la corriente inducida (un vector de color negro, hacia arriba o hacia abajo)

Activamos la casilla titulada Fuerza sobre las corrientes inducidas para ver los vectores

  • Sentido de la corriente inducida (un vector hacia arriba o hacia abajo de color rojo)
  • Campo magnético (un vector de color azul perpendicular al plano del applet, hacia el lector o en sentido contrario a éste)
  • Resultante de las fuerzas sobre las porciones de corriente inducida situadas en la región donde existe campo magnético (un vector de color negro, siempre opuesto a la velocidad del disco)

A la derecha del applet, se representa la velocidad angular en función del tiempo y se observa que se trata de una exponencial decreciente.

 

FemApplet aparecerá en un explorador compatible JDK 1.1

 

Corrientes de Foucault en una pieza metálica de forma cilíndrica

Ya hemos estudiado el problema de la corriente inducida que se genera cuando una espira está en una región en la que el campo magnético varía con el tiempo.

fem10_9.gif (1936 bytes) Consideremos un cilindro conductor de radio R colocado en un campo magnético paralelo al eje X, que varía con el tiempo de acuerdo con la ecuación

Bx=B0sen(w t)

Por simetría, las corrientes inducidas tendrán la forma de circunferencias centradas en el eje X

El flujo a través de una de estas líneas será (el vector campo B y el vector superficie S son paralelos)

F =Bx·p r2

La fem inducida en la línea de corriente de radio r es

Esta fem es la que pone en movimiento a los portadores de carga contenidos el volumen de la capa cilíndrica de longitud L comprendida entre r y r+dr. Originando una intensidad

i=Vε/Re

Siendo Re la resistencia del tubo (no confundirla con el radio R del cilindro) de longitud 2p r y de sección Ldr por el que circulan las cargas.

fem10_10.gif (3104 bytes)

La fórmula de la resistencia (resistividad por longitud del conductor y dividido por su sección) se expresa

donde r es la resistividad del material. Por tanto, la intensidad es

La energía por unidad de tiempo (potencia) disipada es Vε·di, y para calcular la potencia total se integra entre 0 y R (radio del cilindro)

Teniendo en cuenta que el valor medio durante un periodo 2p /w de la función periódica coseno cuadrado es1/2.

La potencia disipada es proporcional al cuadrado de la frecuencia ω del campo magnético variable. Esta es la razón por la que los hornos de inducción utilizan frecuencias elevadas.

En esta deducción se ha despreciando el campo magnético creado por las propias corrientes de Foucault. Esta aproximación no es válida para materiales de resistividad nula (materiales superconductores).

En los transformadores no podemos cambiar la frecuencia, ni la resistividad del material empleado como núcleo (se emplea un determinado tipo de material). Para reducir la pérdidas se actúa sobre la geometría de las líneas de corriente, se tratará de reducir sus dimensiones (fijarse que la potencia disipada <P> es proporcional a la cuarta potencia del radio del cilindro).

fem10_11.gif (2232 bytes) Si al cilindro de radio R, se le divide por la mitad mediante una pared aislante que pase por el eje, las pérdidas se reducen notablemente. Las líneas de corriente tienen ahora la forma que se muestra en la figura. El cálculo de la potencia disipada en esta configuración es ya muy complicado.

Se debe hacer notar que si el cilindro se corta por un plano aislante perpendicular al eje, la potencia disipada no cambia.

 

 

Referencias

Modelo de fuerza de frenado

Wiederick H. D. Gauthier D. A., Rochon P. Magnetic braking: Simple theory and experiment. Am. J. Phys. 55 (6)  June 1986, pp. 500-503.