El galvanómetro balístico. Oscilaciones amortiguadas

prev.gif (1231 bytes)home.gif (1232 bytes)next.gif (1211 bytes)

Electromagnetismo

Ley de Faraday
Espiras en un campo
magnético variable (I)
Espiras en un campo
magnético variable (II)
Demostración de 
la ley de Faraday (I)
Demostración de 
la ley de Faraday (II)
Acelerador de partículas
El betatrón
Varilla que se mueve
en un c. magnético (I)
Caída de una varilla
en un c. magnético
Movimiento de una
espira a través de
un c. magnético
Medida del campo
magnético
Generador de corriente
alterna
marca.gif (847 bytes)Galvanómetro balístico
Corrientes de Foucault
Imán en tubo metálico
Inducción homopolar
Un disco motor y
generador
Varilla que se mueve
en un c. magnético (II)
Varilla que se mueve
en un c. magnético (III)
Varilla que se mueve
en un c. magnético (IV)
Momento angular de
los campos EM (I)
Momento angular de
los campos EM (II)

Corriente inducida

Fuerzas y momento que ejerce un campo magnético

Ecuación del movimiento

java.gif (886 bytes)Actividades

 

En esta página, estudiaremos en detalle el movimiento de rotación de  las espiras de un galvanómetro balístico, teniendo en cuenta la corriente inducida que se genera al moverse las espiras en el seno de un campo magnético.

Hemos estudiado ya el funcionamiento del galvanómetro balístico, concluyendo que la corriente que pasa por la bobina y el campo magnético proporcionan el impulso angular que hace que el galvanómetro adquiera una velocidad angular inicial de rotación. El hilo de torsión o el muelle helicoidal proporcionan el momento que frena la rotación hasta que alcanza una desviación máxima.

El galvanómetro oscila libremente alrededor de su eje con un periodo que tiene que ser mucho mayor que la duración de la corriente que lo atraviesa.

En este análisis hemos omitido el papel de la corriente inducida que se genera cuando una espira se mueve en el seno de un campo magnético. Veremos que la corriente inducida que circula por las espiras de la bobina hacen que la amplitud de la oscilación del galvanómetro disminuya con el tiempo.

 

Corriente inducida

En la figura, se representa la situación inicial de las espiras del galvanómetro, justo en el momento en el que ha adquirido una velocidad angular inicial w0, después de haber pasado la corriente.

galvano2.gif (3348 bytes)

En esta otra figura, se representa la corriente inducida en las espiras cuando su plano ha girado un ángulo q  respecto del plano horizontal.

galvano3.gif (3975 bytes)

El flujo del campo magnético que atraviesa las N espiras de área S es

F =B·NS=NBS·cos(90+q )= -NBS·senq

De acuerdo con la ley de Faraday la fem vale

El sentido de la corriente inducida i se obtiene aplicando la ley de Lenz. Como el flujo F aumenta la corriente inducida se opone al aumento de flujo. Las flechas de color rojo indican el sentido de dicha corriente.

Siendo R la resistencia del circuito

 

Fuerzas y momento que ejerce el campo magnético

El campo magnético ejerce una fuerza y un momento sobre las espiras. Como ya demostramos solamente es necesario determinar las fuerzas sobre los lados de longitud a de la espira.

galvano5.gif (3450 bytes)

El módulo de la fuerza sobre cada uno de los lados es

F=iNBa

Tiene la dirección y el sentido mostrado en la figura.

El momento de dichas fuerzas respecto del eje de rotación es

galvano4.gif (1669 bytes) M=-2F(b/2)cosq =i·NBS·cosq

Este momento se opone a la velocidad de rotación de las espiras.

 

Ecuación del movimiento

El momento total que se ejerce sobre la bobina es la suma del momento que ejerce el campo magnético M y del momento que ejerce el muelle helicoidal -k·q , tal como vimos en el estudio previo del galvanómetro balístico o del péndulo de torsión. Donde k es la constante del muelle helicoidal o la constante de torsión del hilo.

La ecuación del de la dinámica de rotación es (Momento de inercia por aceleración angular igual al momento de las fuerzas que se ejercen sobre el sólido).

I·α=M-k·q

Escribiéndola en forma de ecuación diferencial

Se trata de una ecuación similar a la ecuación diferencial que describe las oscilaciones amortiguadas salvo el término cos2 q, que multiplica a la derivada primera dq/dt .

Si el ángulo q es pequeño podemos tomar cos2q » 1

Tenemos una oscilación amortiguada cuya frecuencia propia es

y cuya constante de amortiguación

La frecuencia de la oscilación amortiguada es

y la solución de la ecuación diferencial es la ecuación de la oscilación amortiguada

La característica esencial de una oscilación amortiguada es que su amplitud disminuye exponencialmente con el tiempo.

Si la resistencia R es grande, el factor de amortiguamiento g es pequeño y la oscilación disminuye poco a poco su amplitud con el tiempo. Si la resistencia R es pequeña, el factor g es grande y la amplitud decrece rápidamente.

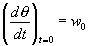
La amplitud A y la fase inicial f se determinan a partir de las condiciones iniciales, en el instante t=0, q =0, 

donde w0 ( no confundir con la frecuencia propia w0) es la velocidad angular inicial que proporciona el impulso angular de la corriente que atraviesa el galvanómetro.

En el caso de que el desplazamiento q  sea grande, ya no podemos hacer la aproximación cos2q » 1, y la ecuación diferencial ha de resolverse de forma numérica.

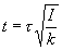
Simplificamos la ecuación diferencial tomando la escala de tiempos

La ecuación diferencial resultante depende de un parámetro a

Si la resistencia R es grande el factor a es pequeño y la oscilación cambia poco su amplitud con el paso del tiempo. Si la resistencia R es pequeña el factor a es grande y la oscilación desaparece rápidamente, regresando el galvanómetro a la posición inicial de partida.

 

Actividades

Se introduce

  • el valor del parámetro a, en el control de edición titulado Amortiguamiento.
  • la velocidad angular inicial  w0 en el instante inicial t=0, en el control de edición titulado Velocidad angular inicial.
Se pulsa el botón titulado Empieza.

En el caso de que el ángulo máximo de desviación supere los 45º, el programa no prosigue y nos invita a disminuir la velocidad angular inicial.

Lo primero que observamos en la simulación es la corriente que atraviesa el galvanómetro durante un intervalo de tiempo pequeño comparado con el periodo de la oscilación del galvanómetro. Dicha corriente se representa mediante puntos de color azul que se mueven a lo largo de la espira. El campo magnético B ejerce un momento sobre las espiras durante el breve intervalo de tiempo que dura el paso de la corriente. Podemos ver las fuerzas sobre las espiras.

Las espiras no cambian apreciablemente de posición durante este corto intervalo de tiempo. Pero un momento actuando durante un tiempo produce un impulso angular que modifica la velocidad angular de rotación de la bobina. La bobina adquiere una velocidad angular inicial w0  (no confundir con la frecuencia propia w0 del oscilador) que es la que introducimos en el control de edición titulado Velocidad angular inicial.

La bobina se desplaza hasta alcanzar la posición angular máxima, regresa al origen y así sucesivamente, describiendo una oscilación cuya amplitud va disminuyendo con el tiempo.

En la parte superior del applet, observamos el gráfico de la desviación de la aguja indicadora q del galvanómetro en función del tiempo t.

En la parte izquierda del applet, se muestra una vista en dos dimensiones del galvanómetro, las corrientes entrantes y salientes en las espiras se representan mediante los símbolos habituales.

Como en otros applets de esta sección, el lector tratará de comprobar el sentido de la corriente inducida y la dirección y sentido de las fuerzas que ejerce el campo magnético. Dibujando representaciones bidimensionales como las siguientes

galvano6.gif (3652 bytes)

En la figura, podemos ver el sentido de la corriente inducida cada cuarto de periodo y las direcciones y sentidos de las fuerzas sobre cada lado de la espira. Podemos comprobar que el momento del par de fuerzas se opone siempre a la velocidad de rotación de la espira.

 

SolenoideApplet aparecerá en un explorador compatible JDK 1.1