Acelerador de partículas cargadas. El betatrón

prev.gif (1231 bytes)home.gif (1232 bytes)next.gif (1211 bytes)

Electromagnetismo

Ley de Faraday
Espiras en un campo
magnético variable (I)
Espiras en un campo
 magnético variable (II)
Demostración de
la ley de Faraday (I)
Demostración de 
la ley de Faraday (II)
marca.gif (847 bytes)Acelerador de partículas
  El betatrón
Varilla que se mueve
en un c. magnético (I)
Caída de una varilla
en un c. magnético
Movimiento de una
espira a través de
un c. magnético
Medida del campo
magnético
Generador de corriente
alterna
Galvanómetro balístico
Corrientes de Foucault
Imán en tubo metálico
Inducción homopolar
Un disco motor y
generador
Varilla que se mueve
en un c. magnético (II)
Varilla que se mueve
en un c. magnético (III)
Varilla que se mueve
en un c. magnético (IV)
Momento angular de
los campos EM (I)
Momento angular de
los campos EM (II)
Fundamentos físicos

java.gif (886 bytes)Actividades

 

El acelerador de inducción magnética o betatrón, pertenece al grupo de máquinas ideadas para acelerar partículas cargadas hasta elevadas energías. Fue inventado en 1941 por Donald W. Kerst. El betatrón construido en 1945 aceleraba electrones hasta una energía de 108 eV.

El acelerador consistía en un tubo toroidal en el que se había hecho el vacío, y se situaba entre las piezas polares de un electroimán. Los electrones, acelerados mediante una diferencia de potencial de unos 50000 voltios por un cañón electrónico, entraban tangencialmente dentro del tubo, donde el campo magnético les hacía dar vueltas en una órbita circular de 5 m de longitud.

Los betatrones se usan para estudiar ciertos tipos de reacciones nucleares y como fuentes de radiación para el tratamiento del cáncer.

La fuerza que ejerce el campo magnético, como hemos visto ya en el espectrómetro de masas y en el ciclotrón obliga a las partículas a describir una órbita circular. El problema que surge en esta situación, es que a medida que las partículas son aceleradas, se necesita un campo magnético cada vez mayor para que las partículas describan una órbita circular de un determinado radio.

 

Fundamentos físicos

Los fundamentos físicos del betatrón combinan, la ley de Faraday, y el movimiento de partículas cargadas en un campo eléctrico y en un campo magnético.

Ley de Faraday-Henry

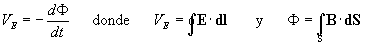
En primer lugar, determinaremos el campo eléctrico en cada punto del espacio, producido por un campo magnético que tiene simetría axial (su módulo depende solamente de la distancia r al eje Z), pero a su vez, cambia con el tiempo.

El camino cerrado elegido es una circunferencia de radio r, centrada en el eje Z. Como el flujo varía con el tiempo, se induce una fem dada por la ley de Faraday

Debido a la simetría axial, el campo eléctrico generado E solamente depende de r, es constante y tangente en todos los puntos de la circunferencia de radio r, de modo que VE=E·2p r

betatron3.gif (2488 bytes)

El flujo del campo magnético es F =<B>p r2. Donde <B> es el campo medio existente en la región que cubre el área S=p r2. Despejando el módulo del campo eléctrico

Movimiento de las partículas cargadas

betatron.gif (2713 bytes) Ya que la partícula describe una trayectoria circular con velocidad variable con el tiempo, hemos de estudiar el movimiento de la partícula en la dirección tangencial y en la dirección normal.

 

  • Movimiento en la dirección tangencial

La partícula cargada experimenta una fuerza F=qE, tangente a la circunferencia de radio r. Si la carga es positiva la fuerza es en el sentido del campo, y si la carga es negativa es en sentido contrario al campo.

La ecuación del movimiento de la partícula (masa por aceleración tangencial igual a la componente tangencial de la fuerza) será

(1)

  • Movimiento en la dirección radial

El campo magnético ejerce una fuerza centrípeta (v y B son mutuamente perpendiculares) Fn=qvB. La ecuación del movimiento (masa por aceleración normal igual a la componente normal de la fuerza que actúa sobre la partícula) es

                    (2)

betatron1.gif (2537 bytes)  

Para que se cumplan simultáneamente las dos condiciones (1) y (2), el campo magnético a la distancia r del eje Z, tiene que ser igual a la mitad del campo magnético medio <B> en la región que cubre el área S=p r2.

 

Energía de las partículas cargadas

betatron2.gif (1562 bytes) En general, el campo magnético B es oscilatorio, con frecuencia angular w , pero las partículas solamente se aceleran cuando el campo magnético está aumentando.

Las partículas se inyectan cuando el campo magnético es cero, por tanto, las partículas se aceleran solamente durante un cuarto de periodo, de 0 a P/4. Al cabo de este tiempo, se les proporciona un impulso adicional que las dirige hacia el blanco.

En el instante t=P/4, cuando B adquiere su valor máximo B0, la velocidad de las partículas es (2)

m·vmáx=qB0·r

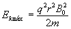
y la energía cinética máxima es

Si B=B0·sen(w t) la aceleración tangencial dada por (1) vale

Integrando obtenemos la velocidad de la partícula en cada instante, (suponemos que la partícula parte del reposo en el instante inicial t=0)

Como vemos para w t=p/2, o cuando t=P/4 se obtiene la máxima velocidad vmáx de las partículas aceleradas. La velocidad máxima es independiente del valor del periodo P. Dependiendo del valor de P, las partículas tardarán más o menos tiempo en alcanzar la velocidad máxima.

 

Actividades

El applet nos muestra los principios físicos en los que se basa el funcionamiento de un betatrón. Supondremos que, el campo magnético tiene simetría axial, y que la variación del campo magnético con la distancia radial r es tal que se cumple la condición para que las partículas cargadas describan una órbita circular de radio r.

Supondremos también, que el campo magnético apunta perpendicularmente hacia el plano del applet y hacia dentro. Su módulo varía con el tiempo, de modo que su periodo es 4 unidades de tiempo (el periodo como hemos visto no influye para nada en el valor de la velocidad máxima). Las partículas cargadas son aceleradas durante una unidad de tiempo.

Como vemos el campo E, es tangente a la circunferencia de radio r, y tiene el mismo valor en todos sus puntos. El radio r ha sido fijado en el programa y vale 0.5 m

Verificar, aplicando la ley de Lenz, el sentido del campo E, cuando el campo magnético B aumenta y cuando B disminuye.

El sentido de la fuerza sobre la partícula cargada depende de su signo. Las partículas cargadas con carga positiva se aceleran en el sentido del campo, y las negativas en sentido contrario al campo.

Observar que la energía máxima se obtiene cuando el campo magnético se hace máximo es decir, en el instante t=P/4= 1 unidad de tiempo. A partir de este momento, el campo eléctrico cambia de signo y la partícula se frena hasta que se para. En la situación real cuando la partículas adquieren la máxima energía, reciben un impulso adicional que las hace salir de su órbita circular para dirigirse hacia el blanco.

En el gráfico de la parte superior derecha, se muestra la representación de B en función del tiempo, durante un semiperiodo.

En el gráfico de la parte inferior derecha, se muestra como la partícula va cambiando su energía cinética.

Se introduce:

  • La carga q de las partículas, en unidades de la carga del electrón, 1.6·10-19 C. El valor de la carga puede ser un número positivo o negativo.
  • La masa m de la partícula en u.m.a. ó 1.67·10-27 kg
  • El campo magnético B en gauss (10-4 T)
  • El radio r de la circunferencia se ha fijado en 0.5 m en el programa interactivo

Se pulsa el botón titulado Empieza.

Cuando B llegue a su valor máximo en el instante t=1 unidad de tiempo, se pulsa el botón titulado Pausa, para apuntar el valor máximo de la energía cinética. Para acercarse a este instante se puede pulsar repetidamente el botón Paso. Para que la partícula continúe su movimiento, se pulsa el botón titulado ahora Continua.

Ejemplo

Sea q=+2e, m=4 uma y B=5 gauss, r=0.5 m

  • la carga del electrón e=1.6·10-19 C.
  • una unidad de masa atómica, u.m.a. vale 1.67·10-27 kg
  • un gauss=10-4 T

FemApplet aparecerá en un explorador compatible JDK 1.1