La rueda de Barlow

prev.gif (1231 bytes)home.gif (1232 bytes)next.gif (1211 bytes)

Electromagnetismo

Campo magnético
Fuerza sobre un
conductor rectilíneo
La balanza de
corriente
Fuerza y momento 
sobre una espira
El galvanómetro
marca.gif (847 bytes)La rueda de Barlow

Corriente rectilínea
La espira
El solenoide y el
toroide
Oscilaciones de
un imán (I)
Oscilaciones de
un imán (II)
Fundamentos físicos

java.gif (886 bytes)Actividades

Referencias

 

Hemos estudiado la fuerza que ejerce una campo magnético sobre una porción de corriente rectilínea que circula por un conductor que puede deslizar sin rozamiento en contacto con dos rieles paralelos.

Ahora, vamos a estudiar el momento de la fuerza que ejerce el campo magnético sobre la corriente que circula entre el centro y el borde de un disco.

La rueda de Barlow es un disco de cobre que está situada entre los polos de un imán y cuyo borde está en contacto con un pequeño depósito de mercurio. Se conecta una batería entre el eje de la rueda y el depósito de mercurio y se observa que la rueda empieza a girar alcanzando una velocidad angular límite constante.

Comprobaremos que dicha velocidad angular es proporcional a la intensidad de la corriente.

La rueda de Barlow es reversible en el sentido de que si se quita la batería y se la hace girar aplicando una fuerza externa, se puede medir la corriente inducida generada. En la página titulada un disco, motor y generador eléctrico, estudiaremos con detalle el papel jugado por la corriente inducida en el movimiento de la rueda de Barlow.

 

Fundamentos físicos

Fuerza que ejerce el campo magnético

barlow_0.gif (1927 bytes) La fuerza sobre un elemento de corriente dx situado a una distancia x del eje del disco es

Su módulo es dF=iB·dx y está dirigido como vemos en la figura, hacia la derecha.

El momento de esta fuerza respecto del eje del disco es dM=x·dF, y el momento total

barlow_2.gif (2154 bytes) La fuerza resultante F=iBa que produce un momento total M estará aplicada en el punto medio del radio a/2 tal como se muestra en la figura.

Se puede demostrar (véase el artículo citado en las referencias) que el momento M no cambia si la rueda en vez de ser maciza consta de cuatro brazos que sostienen un anillo de cobre tal como se muestra en el applet al final de esta página.

Fuerza de rozamiento

En el eje del disco se produce un momento debido al rozamiento entre el eje y los rodamientos que se puede suponer que es proporcional a la velocidad angular de la rueda (ley de Petroff).

Mr=-kw

La constante de proporcionalidad depende del radio del eje, viscosidad del aceite lubrificante, etc.

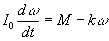
Ecuación del movimiento

La ecuación del movimiento de un sólido rígido en rotación alrededor de un eje fijo es

Donde I0 es el momento de inercia de la rueda.

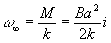
Integramos esta ecuación con las condiciones iniciales t=0, w =0, obteniendo la velocidad angular w de la rueda en cualquier instante t.

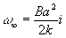
La velocidad angular crece desde cero hasta un valor límite constante

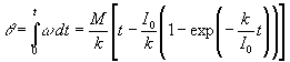
Integrando de nuevo obtenemos el ángulo girado q  por la rueda en función del tiempo t.

Cuando se alcanza el estado estacionario (el valor de la exponencial tiende a cero), la velocidad angular de rotación tiende hacia un valor constante y el ángulo girado por la rueda es proporcional al tiempo. Una situación análoga a la de una esfera que cae en el seno de un fluido viscoso.

Las medidas experimentales reales indican que el estado estacionario se alcanza inmediatamente, de modo que se observa una relación lineal entre el ángulo girado en función del tiempo. En la simulación, tomaremos un valor pequeño de k de modo que se pueda observar la evolución desde el estado inicial en reposo hasta el estado estacionario.

 

Actividades

Se ha simulado el comportamiento de un disco de cobre (de densidad 8.93 g/cm3) de radio 10 cm y de 1 mm de espesor, cuya masa es

m=8.93·103·p ·(0.1)2·0.001=0.280 kg, y cuyo momento de inercia es

I0=ma2/2=0.280·(0.1)2/2=0.001403 kgm2.

El programa fija la constante k de proporcionalidad del momento de la fuerza de rozamiento, en un valor aleatorio comprendido entre ciertos límites. También, fija el radio del disco en a=10 cm

  • Se introduce el valor (positivo o negativo) de la intensidad del campo magnético B, en el control de edición titulado C. magnético.

Se pulsa el botón titulado Nuevo

  • Se introduce el valor (positivo o negativo)  de la intensidad de la corriente i, actuando en la barra de desplazamiento titulada Intensidad

Se pulsa el botón titulado Empieza.

Cuando se haya alcanzado aproximadamente la velocidad angular límite constante (el valor de la la velocidad angular de rotación no cambia) se pulsa en el botón titulado Datos. En el control área de texto, situado a la izquierda del applet se guardan los pares de datos (intensidad, velocidad angular límite).

Cuando se tiene un número suficiente de datos, se pulsa el botón titulado Gráfica

El programa dibuja una gráfica con los resultados "experimentales", y la recta

Esta recta nos muestra que hay una relación de proporcionalidad entre la velocidad angular límite w ¥ y la intensidad de la corriente i.

Para realizar una nueva "experiencia":

  • Se cambia el valor del campo magnético, y se pulsa el botón titulado Nuevo
  • Se repite el proceso de medida, introduciendo valores de la intensidad positivos o negativos.

Ejemplo:

  • La intensidad del campo magnético B=0.1 T
  • El radio del disco a=10 cm=0.1 m

Para los siguientes valores de la intensidad i, se obtienen los siguientes de la velocidad angular límite w¥

i 2 5.5 10 15
w¥ 0.32 0.91 1.66 2.49

El valor de la pendiente de la recta es 0.166. El valor de la constante k de proporcionalidad del momento de la fuerza de rozamiento es

SolenoideApplet aparecerá en un explorador compatible JDK 1.1

 

Referencias

Maroto J. A, de Dios J., de las Nieves J. Evaluation of the Lorentz Law by Using a Barlow Wheel. IEEE Transactions on Education Vol. 41, nº 3, August 2000.

Los autores han catalogado un conjunto de instrumentos antiguos clasificados por áreas: Mecánica, Fluidos...