Línea de cargas. Ley de Gauss

prev.gif (1231 bytes)home.gif (1232 bytes)next.gif (1211 bytes)

Electromagnetismo

Campo eléctrico
La ley de Coulomb
El motor de Franklin
Campo y potencial de
una carga puntual
Campo y potencial
de dos cargas
Dipolo eléctrico
marca.gif (847 bytes)Línea de cargas.
Ley de Gauss.
Anillo cargado
Modelo átomico de
Kelvin-Thomson
La cubeta de Faraday.
Conductores
Generador de
 Van de Graaff
Conductores (II)
Carga inducida en un
conductor
Esfera conductora en
un campo uniforme
Un péndulo que des-
carga un condensador.
Ping-pong eléctrico
Método de las 
imágenes.
Fuerza entre dos 
esferas conductoras
java.gif (886 bytes)Campo producido por un conjunto de cargas iguales e igualmente espaciadas

Campo producido por un hilo rectilíneo cargado

Concepto de flujo del campo eléctrico

Ley de Gauss

 

Campo producido por un conjunto de cargas iguales e igualmente espaciadas

Hemos determinado ya el campo producido por un sistema de dos cargas y estudiado un caso de especial importancia, el dipolo eléctrico.

Vamos estudiar un sistema un sistema de n cargas puntuales iguales y equidistantes n>2, como paso previo a la obtención del campo producido por una distribución continua de carga.

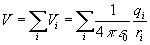
campo2.gif (2536 bytes) El campo eléctrico E producido por n cargas en el punto P, es la suma vectorial de los campos producidos por cada una de las cargas individuales en el punto P.

Donde ri es el vector unitario cuya dirección es la recta que pasa por la carga i y el punto P.

El potencial en el punto P, es la suma de los potenciales producidos por cada una de las cargas individuales en el punto P.

 

Actividades

En el applet se muestra las líneas de campo eléctrico (en color blanco) de una, dos, ... hasta ocho cargas iguales y equidistantes alineadas, pulsando el botón titulado Siguiente

Podemos observar, que a medida que aumenta el número de cargas la dirección del campo eléctrico se hace perpendicular a la línea de cargas. Las equipotenciales (en color azul claro) se aproximan a líneas rectas paralelas a línea cargada.

 

LineasApplet aparecerá en un explorador compatible JDK 1.1
                 

 

Campo producido por un hilo rectilíneo cargado

En este apartado, vamos a deducir el campo producido en un punto P distante R, de una línea indefinida cargada con una densidad de carga de l C/m.

lineaCargada.gif (2416 bytes)

El campo producido por el elemento de carga dq, comprendido entre x y x+dx, tiene la dirección y el sentido indicado en la figura y su módulo es

Este campo tiene dos componentes: una a lo largo del eje vertical Y, y otra a lo largo del eje horizontal X.

La componente horizontal X no es necesario calcularla ya que por simetría se anulan de dos en dos. El elemento de carga dq situado en x, y el elemento de carga dq situado en –x producen campos cuyos módulos son iguales, y cuyas componentes horizontales son iguales y opuestas. El campo total es la suma de las componentes verticales Y

El campo tiene por dirección la perpendicular a la línea indefinida cargada, tal como se indica en la figura de la derecha.

 

Concepto de flujo del campo eléctrico

Cuando el vector campo eléctrico E es constante en todos los puntos de una superficie S, se denomina flujo al producto escalar del vector campo por el vector superficie F =E·S

flujo.gif (1770 bytes)

El vector superficie es un vector que tiene por módulo el área de dicha superficie, la dirección es perpendicular al plano que la contiene.

Cuando el vector campo E y el vector superficie S son perpendiculares el flujo es cero.

 

Ley de Gauss

lineaCargada1.gif (4179 bytes) El teorema de Gauss afirma que el flujo del campo eléctrico a través de una superficie cerrada es igual al cociente entre la carga que hay en el interior de dicha superficie dividido entre e0.

Para una línea indefinida cargada, la aplicación del teorema de Gauss requiere los siguientes pasos:

1.-A partir de la simetría de la distribución de carga, determinar la dirección del campo eléctrico.

La dirección del campo es radial y perpendicular a la línea cargada

2.-Elegir una superficie cerrada apropiada para calcular el flujo

Tomamos como superficie cerrada, un cilindro de radio r y longitud L.

  • Flujo a través de las bases del cilindro: el campo E y el vector superficie S1 o S2 forman 90º, luego el flujo es cero.
  • Flujo a través de la superficie lateral del cilindro: el campo E es paralelo al vector superficie dS. El campo eléctrico E es constante en todos los puntos de la superficie lateral,

El flujo total es, 2p rL

3. Determinar la carga que hay en el interior de la superficie cerrada

La carga que hay en el interior de la superficie cerrada vale q=l L, donde l es la carga por unidad de longitud.

4.-Aplicar el teorema de Gauss y despejar el módulo del campo eléctrico

El mismo resultado que hemos obtenido previamente, pero de una forma mucho más simple.