Conductor esférico en un campo eléctrico uniforme

prev.gif (1231 bytes)home.gif (1232 bytes)next.gif (1211 bytes)

Electromagnetismo

Campo eléctrico
La ley de Coulomb
El motor de Franklin
Campo y potencial de
una carga puntual
Campo y potencial
de dos cargas
Dipolo eléctrico
Línea de cargas.
Ley de Gauss.
Anillo cargado
Modelo atómico de
Kelvin-Thomson
La cubeta de Faraday.
Conductores
Generador de
Van de Graaff
Conductores (II)
Carga inducida en un
conductor
marca.gif (847 bytes)Esfera conductora en
 un campo uniforme
Un péndulo que des-
carga un condensador.
Ping-pong eléctrico
Método de las 
imágenes.
Fuerza entre dos 
esferas conductoras
Campo eléctrico

Carga inducida

java.gif (886 bytes)Actividades

Referencias

 

Una esfera conductora está situada en un campo eléctrico uniforme, determinar la distribución de carga en la superficie del conductor. La solución a este problema es mucho más compleja que el procedimiento de las imágenes que hemos descrito en la página anterior, por lo que solamente se darán los resultados.

La ley de Gauss se puede expresar de forma diferencial o de forma integral. Cuando se expresa la ley de Gauss en forma diferencial en un espacio en el que la densidad de carga libre es cero, tenemos la ecuación de Laplace.

 

Campo eléctrico

Se resuelve la ecuación de Laplace en coordenadas esféricas con las siguientes condiciones de contorno

  • V=0 para r=R, en la superficie de la esfera
  • V=-E0x cuando x es grande y la influencia del campo eléctrico de la esfera es despreciable. (Recuérdese que el potencial disminuye en la dirección del campo eléctrico uniforme E0).

inducida5.gif (1215 bytes) El campo eléctrico total, es la suma del campo eléctrico uniforme más el campo producido por un dipolo de momento dipolar p=4p e0E0R3 situado en el centro de la esfera.

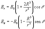
Las componentes del campo eléctrico en coordenadas polares son

Potencial

El potencial en un punto P de coordenadas (r, q ) es

Como vemos cumple que cuando r se hace grande, el potencial V tiende a –E0rcosq =-E0x, y para r=R, el potencial es V=0.

 

Carga inducida

La densidad superficial de carga inducida en la esfera conductora es el producto de e0 veces el valor de Er para r=R.

s =3e0E0cosq .

La carga inducida neta q en la esfera conductora se obtiene multiplicando la densidad de carga por el elemento de superficie esférica comprendido entre q y q +dq , sumando para todos los ángulos comprendidos entre 0 y p.

la carga neta q=0 es cero.

 

Actividades

En el applet se muestra las líneas de fuerza y equipotenciales de un campo eléctrico uniforme paralelo al eje X (horizontal) y una esfera conductora conectada a tierra.

Se introduce

  • el valor del campo eléctrico E0, en el control de selección titulado Campo.
  • el radio R de la esfera se ha fijado en la unidad.

Se pulsa el botón titulado Nuevo

Observamos como se perturba el campo cuando se introduce una esfera conductora en el espacio en el que existe un campo eléctrico uniforme.

Pulsando en la casilla titulada Carga inducida obtenemos una imagen de la distribución de carga inducida, es decir, de la variación de la densidad de carga s en función del ángulo q . Los puntos de color rojo representan  las cargas positivas y los azules las cargas negativas.

Al aplicar un campo eléctrico, los portadores de carga negativa de la esfera conductora se mueve en el sentido contrario al campo, hacia la izquierda, dejando la parte derecha del conductor cargada positivamente. Tenemos de este modo un dipolo, formado por una distribución espacial y simétrica de dos cargas iguales y opuestas. La densidad de carga positiva es máxima para q =0, y la densidad de carga negativa es máxima para q =p . La densidad de carga es nula para q =p /2. Como vemos no hay líneas de fuerza que lleguen o salgan de esta posición.

 

LineasApplet aparecerá en un explorador compatible JDK 1.1

 

Referencias

Lorrain P. Corson D. Campos y ondas electromagnéticas. Selecciones Científicas (1972), págs. 179-184