Electromagnetismo |
Campo eléctrico La ley de Coulomb El motor de Franklin Campo y potencial de una carga puntual Campo y potencial de dos cargas Dipolo eléctrico Línea de cargas. Ley de Gauss. Anillo cargado
La cubeta de Faraday. Conductores Generador de Van de Graaff Conductores (II) Carga inducida en un conductor Esfera conductora en un campo uniforme Un péndulo que des- carga un condensador. Ping-pong eléctrico Método de las imágenes. Fuerza entre dos esferas conductoras |
Campo
eléctrico de una distribución esférica y uniforme de carga Potencial a una distancia r del centro de la esfera cargada Energía potencial de una distribución de cargas Energía total del átomo de Kelvin-Thomson |
|
| Actualmente, los libros de texto no suelen mencionar el átomo de Kelvin-Thomson. Sin embargo, durante el periodo que va de 1902 a1906 tuvo bastante éxito, hasta que Rutherford demostró que este modelo no podía explicar la dispersión de las partículas alfa por los átomos de una lámina de oro. Este modelo simple de átomo explicaba bastante bien la valencia química, la emisión de partículas b por los núcleos de elementos radioactivos, etc. El aspecto didáctico más importante es la aplicación de la ley de Gauss a una distribución esférica y uniforme de carga, y describir el movimiento oscilatorio de los electrones en dicho átomo. Consideramos el caso más simple, un átomo o ion hidrogenoide con un solo electrón. Suponemos que el átomo tiene forma esférica de radio R, y que la carga positiva Q está uniformemente distribuida en dicha esfera.
Campo eléctrico de una distribución esférica y uniforme de cargaEl teorema de Gauss afirma que el flujo del campo eléctrico a través de una superficie cerrada es igual al cociente entre la carga en el interior de dicha superficie dividido entre e0.
Para una distribución esférica y uniforme de carga, la aplicación del teorema de Gauss requiere los siguientes pasos: 1.-A partir de la simetría de la distribución de carga, determinar la dirección del campo eléctrico.
El flujo total es, E·4p r2 3. Determinar la carga que hay en el interior de la superficie cerrada
4.-Aplicar el teorema de Gauss y despejar el módulo del campo eléctrico
El campo en el exterior de una esfera cargada con carga Q, tiene la misma expresión que el campo producido por una carga puntual Q situada en su centro.
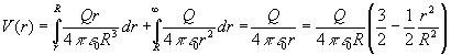
Potencial a una distancia r del centro de la esfera cargadaSe denomina potencial en un punto P a una distancia r del centro de la esfera cargada V(r) a la diferencia de potencial existente entre el punto P y el infinito V(r)-V(¥ ). Por convenio, se establece que en el infinito la energía potencial es cero. Representamos el módulo del campo eléctrico E, en función de la distancia r al centro de la esfera cargada, en los intervalos 0< r<R y r>R
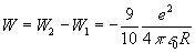
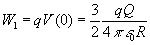
Energía de ionización La energía de ionización, es la energía mínima necesaria para sacar al electrón situado en el origen de la esfera cargada hasta el infinito.
Para un átomo con un electrón q=Q=e=1.6 10-19 C. R» 10-10 m. W1=3.456 10-18 J=21.6 eV. Que es algo mayor que la energía de ionización del electrón en un átomo de hidrógeno en el estado fundamental, 13.6 eV.
Energía potencial de una distribución de cargasVamos a calcular ahora la energía necesaria para formar la distribución uniforme de carga positiva. O bien, la energía que se liberaría cuando la distribución uniforme de carga positiva explotase de modo que cada parte de ella estuviese a una distancia infinita una de la otra. Determinaremos la expresión de la energía de un sistema de tres cargas, y la generalizamos para una distribución continua de carga. Consideremos un sistema de tres cargas puntuales fijas q1, q2 y q3, tal como se indica en la figura. |

| La energía de este sistema U vale
Llamando V1 al potencial producido por las cargas q2 y q3 en la posición que ocupa q1. La energía de la carga q1 en el campo producido por las otras dos es
Análogamente, llamando V2 al potencial producido por las cargas q1 y q3 en la posición que ocupa q2. La energía de la carga q2 en el campo producido por las otras dos es
Del mismo modo, llamando V3 al potencial producido por las cargas q1 y q2 en la posición que ocupa q3. La energía de la carga q3 en el campo producido por las otras dos es
Sumando estas tres contribuciones obtenemos el doble de la energía del sistema de partículas
Energía de la esfera cargada Volviendo de nuevo a la esfera uniformemente cargada, el potencial Vi se sustituye por el potencial en la posición r, V(r) que hemos calculado previamente. La carga qi se sustituye por la carga que hay en la capa esférica comprendida entre r y r+dr. El volumen de dicha capa esférica es 4p r2dr, y la carga que hay en este volumen vale (densidad de carga por volumen)
La energía vale entonces
Energía total del átomo de Kelvin-ThomsonLa energía total de nuestro modelo de átomo de hidrógeno Q=q=e, es la diferencia entre dos energías:
Movimiento del electrón en el átomo de Kelvin-ThomsonSupongamos que el electrón se puede mover libremente en el interior de la distribución esférica de carga positiva. En un instante dado, se encuentra a una distancia x del centro de dicha distribución. Aplicando la ley de Gauss (r<R) hemos obtenido la expresión del campo eléctrico creado por la distribución de carga positiva a la distancia r=x del centro. Dicho campo tiene dirección radial y sentido hacia afuera.
cuya frecuencia angular vale
Para un átomo con un electrón q=Q=e=1.6 10-19 C. R» 10-10 m, y m=9.1 10-31 kg, se obtiene f =2pw =2.53 1015 Hz. Cuando un electrón pasa del primer estado excitado al estado fundamental, emite radiación de frecuencia 2.47 1015 Hz que es del orden de la frecuencia f de su Movimiento Armónico Simple. Un problema completamente análogo es el movimiento de un cuerpo a lo largo de un túnel excavado en la Tierra, supuesta una distribución esférica y uniforme de masa.
Actividades.En este applet se muestra como un electrón (círculo de color azul) describe un M.A.S. en el interior de una distribución esférica y uniforme de carga positiva. Se introduce
Se pulsa en el botón titulado Empieza. Ejemplo: El cuadrado de la frecuencia angular ω es
A la derecha del applet, se representa su posición en función del tiempo. A partir de las medidas efectuadas en la gráfica podemos determinar aproximadamente su periodo. El tiempo obtenido hay que multiplicarlo por el factor 10-15 s. Las ecuaciones de su movimiento son x=x0sen(w t+j) Como el electrón se suelta en la posición inicial x0 con velocidad nula v=0, la ecuación de su MAS es x=x0cos(w t). La posición inicial del electrón se ha tomado arbitrariamente igual a las tres cuartas partes del radio del átomo x0=3R/4.
|