Campo y potencial eléctrico de una carga puntual

prev.gif (1231 bytes)home.gif (1232 bytes)next.gif (1211 bytes)

Electromagnetismo

Campo eléctrico
La ley de Coulomb
El motor de Franklin
marca.gif (847 bytes)Campo y potencial de 
  una carga puntual
Campo y potencial
de dos cargas
Dipolo eléctrico
Línea de cargas.
Ley de Gauss.
Anillo cargado
Modelo atómico de
Kelvin-Thomson
La cubeta de Faraday
Conductores
Generador de
Van de Graaff
Conductores (II)
Carga inducida en un
conductor
Esfera conductora en
un campo uniforme
El péndulo que des-
carga un condensador.
Ping-pong eléctrico
Método de las 
imágenes.
Fuerza entre dos 
esferas conductoras
Concepto de campo

Energía potencial

Concepto de potencial

Relaciones entre fuerzas y campos

Relaciones entre campo y diferencia de potencial

Trabajo realizado por el campo eléctrico

 

La ley de Coulomb nos describe la interacción entre dos cargas eléctricas del mismo o de distinto signo. La fuerza que ejerce la carga Q sobre otra carga q situada a una distancia r es.

La fuerza F es repulsiva si las cargas son del mismo signo y es atractiva si las cargas son de signo contrario.

fuerzas.gif (2530 bytes)

 

Concepto de campo

Es más útil, imaginar que cada uno de los cuerpos cargados modifica las propiedades del espacio que lo rodea con su sola presencia. Supongamos, que solamente está presente la carga Q, después de haber retirado la carga q del punto P. Se dice que la carga Q crea un campo eléctrico en el punto P. Al volver a poner la carga q en el punto P, cabe imaginar que la fuerza sobre esta carga la ejerce el campo eléctrico creado por la carga Q.

campo.gif (1923 bytes) Cada punto P del espacio que rodea a la carga Q tiene una nueva propiedad, que se denomina campo eléctrico E que describiremos mediante una magnitud vectorial, que se define como la fuerza sobre la unidad de carga positiva imaginariamente situada en el punto P.

La unidad de medida del campo en el S.I. de Unidades es el N/C

En la figura, hemos dibujado el campo en el punto P producido por una carga Q positiva y negativa respectivamente.

 

Energía potencial

La fuerza de atracción entre dos masas es conservativa, del mismo modo se puede demostrar que la fuerza de interacción entre cargas es conservativa.

El trabajo de una fuerza conservativa, es igual a la diferencia entre el valor inicial y el valor final de una función que solamente depende de las coordenadas que denominamos energía potencial.

El trabajo infinitesimal es el producto escalar del vector fuerza F por el vector desplazamiento dl, tangente a la trayectoria.

 dW=F·dl=F·dl·cosθ=F·dr.

 donde dr es el desplazamiento infinitesimal de la partícula cargada q en la dirección radial.

Para calcular el trabajo total, integramos entre la posición inicial A, distante rA del centro de fuerzas y la posición final B, distante rB del centro fijo de fuerzas.

El trabajo W no depende del camino seguido por la partícula para ir desde la posición A a la posición B. La fuerza de atracción F, que ejerce la carga fija Q sobre la carga q es conservativa.  La fórmula de la energía potencial es

El nivel cero de energía potencial se ha establecido en el infinito, para r=∞, Ep=0

El hecho de que la fuerza de atracción sea conservativa, implica que la energía total (cinética más potencial) de la partícula es constante, en cualquier punto de la trayectoria.

 

Concepto de potencial

Del mismo modo que hemos definido el campo eléctrico, el potencial es una propiedad del punto P del espacio que rodea la carga Q. Definimos potencial V como la energía potencial de la unidad de carga positiva imaginariamente situada en P, V=Ep/q. El potencial es una magnitud escalar.

La unidad de medida del potencial en el S.I. de unidades es el volt (V).

 

Relaciones entre fuerzas y campos

campo1.gif (1388 bytes) Una carga en el seno de un campo eléctrico E experimenta una fuerza proporcional al campo cuyo módulo es F=qE, cuya dirección es la misma, pero el sentido puede ser el mismo o el contrario dependiendo de que la carga sea positiva o negativa.

 

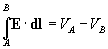
Relaciones entre campo y diferencia de potencial

La relación entre campo eléctrico y el potencial es.

potencial.gif (2754 bytes)

En la figura, vemos la interpretación geométrica. La diferencia de potencial es el área bajo la curva entre las posiciones A y B. Cuando el campo es constante

VA-VB=E·d que es el área del rectángulo sombreado.

El campo eléctrico E es conservativo lo que quiere decir que en un camino cerrado se cumple

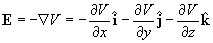
Dado el potencial V podemos calcular el vector campo eléctrico E, mediante el operador gradiente.

 

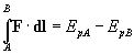
Trabajo realizado por el campo eléctrico

El trabajo que realiza el campo eléctrico sobre una carga q cuando se mueve desde una posición en el que el potencial es VA a otro lugar en el que el potencial es VB es

potencial1.gif (2529 bytes)

  • El campo eléctrico realiza un trabajo W cuando una carga positiva q se mueve desde un lugar A en el que el potencial es alto a otro B en el que el potencial es más bajo. Si q>0 y VA>VB entonces W>0.
  • El campo eléctrico realiza un trabajo cuando una carga negativa q se mueve desde un lugar B en el que el potencial es más bajo a otro A en el que el potencial es más alto.
     
  • Una fuerza externa tendrá que realizar un trabajo para trasladar una carga positiva q desde un lugar B en el que el potencial es más bajo hacia otro lugar A en el que el potencial más alto.
  • Una fuerza externa tendrá que realizar un trabajo para trasladar una carga negativa q desde un lugar A en el que el potencial es más alto hacia otro lugar B en el que el potencial más bajo.