Carga inducida en un conductor esférico

prev.gif (1231 bytes)home.gif (1232 bytes)next.gif (1211 bytes)

Electromagnetismo

Campo eléctrico
La ley de Coulomb
El motor de Franklin
Campo y potencial de
una carga puntual
Campo y potencial
de dos cargas
Dipolo eléctrico
Línea de cargas.
Ley de Gauss.
Anillo cargado
Modelo atómico de
Kelvin-Thomson
La cubeta de Faraday.
Conductores
Generador de
Van de Graaff
Conductores (II)
marca.gif (847 bytes)Carga inducida en un
  conductor
Esfera conductora en
un campo uniforme
Un péndulo que des-
carga un condensador.
Ping-pong eléctrico
Método de las 
imágenes.
Fuerza entre dos 
esferas conductoras

El método de las imágenes

Carga inducida en el conductor esférico

java.gif (886 bytes)Actividades

Referencias

 

El método de las imágenes

El teorema de Gauss nos dice cómo es el campo eléctrico en las proximidades de un conductor cuando conocemos la distribución de la carga en su superficie. La situación inversa es la de preguntarnos como se distribuye la carga en un conductor cuando sobre él actúa un determinado campo.

inducida2.gif (2883 bytes)

La carga imagen

Supongamos un sistema formado por una carga puntual Q en las proximidades de una esfera conductora a potencial cero a una distancia d de su centro. El método de las imágenes nos permite sustituir el conductor por una carga "imagen" q que anulará el potencial sobre la superficie esférica de radio R.

El potencial en el punto P1 de la superficie esférica deberá ser cero

El potencial en el punto P3 diametralmente opuesto deberá ser cero.

Tenemos un sistema de dos ecuaciones con dos incógnitas de las que despejamos q y b.

Podemos demostrar haciendo algunas operaciones que estos valores de q y b hacen que el potencial en cualquier punto P2 de la superficie esférica, sea también cero.

El potencial

Vamos a calcular el campo en cualquier punto P exterior a la esfera conductora. Primero calculamos el potencial

Se expresa r1 y r2 en coordenadas polares en función de la distancia radial r del centro de la esfera al punto P y del ángulo q .

De este modo V es una función de r y q .

 

Componente radial del campo

Para calcular el vector campo E se halla el gradiente del potencial cambiado de signo. El valor de la componente radial del campo es

 

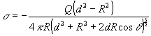
La carga inducida en el conductor esférico

Según hemos mencionado el campo en las proximidades de una superficie conductora es perpendicular a dicha superficie luego, el campo en la superficie esférica conductora es radial. Calculamos Er para r=R y a continuación la densidad superficial de carga inducida en la esfera, teniendo en cuenta que el campo en las proximidades de la superficie de un conductor es Er=s /e0

inducida4.gif (2397 bytes) Evidentemente, si integramos esta densidad de carga sobre la superficie de la esfera, obtenemos la carga total inducida q.

La carga total inducida sobre la esfera conductora es igual a la carga imagen que sustituye a la esfera.

Este resultado es consecuencia de la ley de Gauss: si dibujamos una superficie cerrada que abarque a la esfera pero que esté muy próxima a ésta, el flujo del campo eléctrico a través de esta superficie debe ser la misma, independientemente, de que la carga esté distribuida sobre la esfera conductora o haya sido sustituida por la carga puntual imagen situada en su interior.

Si nos dan una esfera de radio R con una carga Qs sobre ella y su centro se encuentra a una distancia d>a de la carga puntual Q, podemos sustituir la esfera por la carga imagen q=-QR/d a una distancia b=R2/d del centro, más una carga Qs-q en el centro. La densidad superficial de carga  es, entonces, σ+σ' donde σ es la distribución no uniforme calculada anteriormente a partir de q y Q, y σ' es la distribución uniforme calculada a partir de (Qs-q).

 

Actividades

Este applet muestra las líneas de fuerza y las superficies equipotenciales de un sistema formado por una carga puntual y una esfera conductora conectada a tierra.

Se introduce

  • el valor de la carga puntual Q, en el control de selección titulado Carga.
  • la distancia d entre la carga puntual y el centro de la esfera conductora, en el control de edición titulado Distancia.
  • el radio R de la esfera se ha fijado en la unidad.

Se pulsa el botón titulado Nuevo

La esfera conductora a potencial cero se sustituye por una carga imagen que aparece como un pequeño círculo de color azul. Observar que la carga imagen es negativa (color azul) si la carga puntual es positiva (color rojo). La carga imagen disminuye al aumentar la separación d, y aumenta con la carga puntual Q.

Observar que las líneas de fuerza que llegan al conductor esférico son perpendiculares a su superficie.

Se han trazado las líneas equipotenciales a la izquierda del applet separadas 0.1 unidades. Sin embargo, las  líneas equipotenciales de la derecha del applet se han trazado separadas 0.01 unidades arbitrarias.

Activando la casilla de titulada carga inducida desaparece la carga imagen y aparece una distribución de carga sobre la superficie de la esfera conductora en forma de pequeños puntos de color azul que pretenden darnos una idea de la dependencia de la densidad de carga s con el ángulo q .

Podemos observar que la densidad de carga es mayor en la parte de la esfera que está más cerca de la carga puntual positiva y es pequeña, en la parte opuesta, más alejada.

Podemos calcular la fuerza de atracción entre la carga puntual positiva y la esfera conductora, aplicando la ley de Coulomb a la carga puntual Q y a la carga imagen q, separadas una distancia d-b.

 

LineasApplet aparecerá en un explorador compatible JDK 1.1

 

Referencias

Lorrain P. Corson D. Campos y ondas electromagnéticas. Selecciones Científicas (1972), págs. 156-158