El dipolo eléctrico

prev.gif (1231 bytes)home.gif (1232 bytes)next.gif (1211 bytes)

Electromagnetismo

Campo eléctrico
La ley de Coulomb
El motor de Franklin
Campo y potencial de
una carga puntual
Campo y potencial
de dos cargas
marca.gif (847 bytes)Dipolo eléctrico
Línea de cargas.
Ley de Gauss.
Anillo cargado
Modelo atómico de
Kelvin-Thomson
La cubeta de Faraday.
Conductores
Generador de
Van de Graaff
Conductores (II)
Carga inducida en un
conductor
Esfera conductora en
un campo uniforme
Un péndulo que des-
carga un condensador.
Ping-pong eléctrico
Método de las 
imágenes.
Fuerza entre dos 
esferas conductoras
java.gif (886 bytes)Dipolo eléctrico

java.gif (886 bytes)Cuadripolo

 

El dipolo eléctrico es un tipo de distribución de carga que se presenta frecuentemente como veremos en la página dedicada a los dieléctricos.

Un dipolo eléctrico está formado por dos cargas, una positiva +Q y otra negativa -Q del mismo valor, separadas una distancia d.

 

Dipolo eléctrico

El potencial en el punto P distante r1 de la carga –Q y r2 de la carga +Q es

Expresamos r1 y r2 en función de r y q , que es la posición del punto P expresada en coordenadas polares.

Teniendo en cuenta que d es pequeño frente a r, podemos obtener una buena aproximación empleando el desarrollo en serie

para expresar de forma aproximada los cocientes r/r1 y r/r2.

Despreciando los términos de orden superior a d2/r2

El potencial se expresa en función de r y θ

Es interesante destacar, que el potencial debido a un dipolo disminuye con la inversa del cuadrado de la distancia r, mientras que para una carga puntual disminuye con la inversa de r.

 

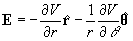
Componentes del campo eléctrico

Las componentes de E en coordenadas polares se pueden calcular a partir del gradiente de V expresado en coordenadas polares

dipolo1.gif (2362 bytes) Las componentes del campo eléctrico E son

La intensidad del campo eléctrico disminuye como el cubo de la distancia r.

Definimos momento dipolar al vector p, cuyo módulo es p=Qd, el producto de la carga Q por la separación d, y que se dirige desde la carga negativa a la positiva.

 

Actividades

Se introduce

  • El módulo de p (en unidades arbitrarias), en el control de selección titulado momento dipolar

Se pulsa el botón titulado Nuevo.

Observar las líneas de fuerza (en color blanco) y las equipotenciales (en color azul claro) de un dipolo.

Las equipotenciales se han trazado de modo que su separación es de 10 unidades arbitrarias de energía potencial.

Las líneas de fuerza y equipotenciales son similares a las obtenidas en el applet del sistema de dos cargas, cuando las cargas son iguales y opuestas.

 

LineasApplet aparecerá en un explorador compatible JDK 1.1
                                       

 

Cuadripolo

Un cuadripolo es un sistema formado por tres cargas +2Q en el origen y –Q en los puntos (-d, 0) y (+d, 0).

El potencial en el punto P distante r1 de la carga –Q, r2 de la carga –Q  y r de la carga +2Q es

Como r>>d podemos expresar de forma aproximada los cocientes r/r1 y r/r2.

El potencial se expresa en función de r y θ

Es interesante destacar, que el potencial debido a un cuadripolo disminuye con la inversa del cubo de la distancia r, mientras que para un dipolo disminuye como la inversa del cuadrado, y para una carga puntual disminuye con la inversa de r.

Las componentes del campo eléctrico E son

Actividades

Observar las líneas de fuerza (en color blanco) y las equipotenciales (en color azul claro) de un cuadripolo.

Las equipotenciales se han trazado de modo que su separación es de 10 unidades arbitrarias de energía potencial.

 

LineasApplet aparecerá en un explorador compatible JDK 1.1