Un cohete de dos etapas

prev.gif (1231 bytes)home.gif (1232 bytes)next.gif (1211 bytes)

Dinámica

Sistemas de masa
variable (I). 
Modelo discreto de 
cohete.
Cohete de empuje
constante
marca.gif (847 bytes)Cohete de dos etapas
Movimiento vertical de
un cohete.
Descenso del módulo 
lunar
Cohete "perfecto"
El cohete de Torricelli

 

java.gif (886 bytes)Cohete de dos etapas

Reparto óptimo del combustible

Referencias

 

En esta página, vamos a ver las ventajas que representa un cohete de dos etapas frente a un cohete de las mismas características de una sola etapa, e investigaremos el reparto óptimo de combustible entre las dos etapas para conseguir que la velocidad final sea la máxima posible.

 

Cohete de dos etapas

dos_etapas.gif (2015 bytes) La masa inicial m0 es la suma de la carga útil, más el combustible y más la masa de los recipientes que contienen el combustible. Para calcular esta última cantidad, se ha supuesto que los recipientes metálicos tiene una masa que es el factor r multiplicado por la masa de combustible. Donde r es del orden del 5% ó 0.05.

masa inicial  m0  =carga útil+(1+r) · combustible total.

La cantidad de combustible en la primera fase c0 es igual al producto del combustible total, por el tanto por ciento, y dividido por cien.

combustible en la primera fase c0 =combustible total · tanto por ciento/100;

Una vez que ha transcurrido un tiempo t0 igual al cociente entre el combustible en la primera fase c0 y la cantidad D que se quema por segundo.

t0=c0/D

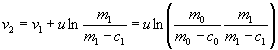
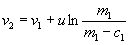
se alcanza una velocidad máxima v1

El cohete se desprende de la primera fase disminuyendo la masa inicial del cohete m0 en una cantidad igual a la suma de la masa del combustible quemado c0, y la masa del recipiente que lo contiene

masa inicial al encenderse la segunda fase m1=m0 -(1+r) · c0

o bien

masa inicial al encenderse la segunda fase m1=carga útil+(1+r) · c1

Siendo c1 la masa de combustible de la segunda fase, que es igual a la masa del combustible total menos la masa de combustible de la primera fase c0 ya quemado.

combustible en la segunda fase c1 =combustible total - combustible en la primera fase c0

En el instante t1 se agota el combustible de la segunda  fase, y es igual al cociente entre la masa de combustible total y la cantidad D que se quema por segundo

t1=combustible total/D.

Cuando se agota el combustible, el cohete alcanza la velocidad máxima v2, continuando con la misma velocidad ya que no actúan fuerzas sobre el mismo.

 

Actividades

Se introduce

  • El combustible total en ambas fases, en el control de edición titulado Combustible total en el cohete
  • El tanto por ciento del combustible total en la primera fase, en el control de edición titulado Tanto por ciento de combustible en la primera fase
  • La carga útil que transporta el cohete, en el control de edición titulado Carga útil que transporta
  • La cantidad D de combustible que se quema por segundo, en el control de edición titulado Combustible quemado por seg.

Se pulsa el botón titulado Empieza

Ahora se tratará de comprobar, que un cohete de dos etapas que transporta la misma cantidad de combustible y la misma carga útil, es más ventajoso que el mismo cohete de una sola etapa.

En segundo lugar, se tratará de investigar la dependencia de la velocidad final del cohete con el reparto de combustible total entre las dos etapas. Manteniendo fijas la cantidad total de combustible y la carga útil, se tratará de modificar el tanto por ciento de combustible en la primera etapa,  c0/(c0+c1) y anotar la velocidad final una vez agotado todo el combustible de la primera y de la segunda etapa. ¿Cuál es aproximadamente la distribución óptima de combustible?, es decir, aquella que da lugar a una mayor velocidad final.

Tanto por ciento Velocidad al desprenderse la primera fase Velocidad final al agotarse el combustible de la segunda fase
10    
20    
30    
40    
50    
60    
70    
80    
90    

 

               
 

Reparto óptimo del combustible

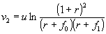
Diseñaremos un cohete de dos etapas que va a acelerar una carga útil mu hasta una velocidad v, en el espacio exterior, libre de la acción del campo gravitatorio y de la resistencia del aire.

El combustible total del cohete es c0+c1 repartido en las dos fases. El recipiente que lo contiene tiene una masa de r veces la masa del combustible. La velocidad de los gases relativo al cohete es u.

La masa total del cohete será la suma de la carga útil, del combustible y del recipiente que lo contiene.

m0=mu+(1+r)·(c0+c1)

Una vez consumida la primera fase, la masa del cohete es la suma de la carga útil, el combustible en la segunda fase y el recipiente que lo contiene.

m1=mu+(1+r)·c1

Como ya hemos demostrado, la velocidad del cohete al consumirse la primera fase será

Image403.gif (1088 bytes)

Cuando se haya consumido la segunda fase la velocidad final v2 será

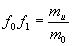
Llamando  f0=m1/m0f1=mu/m1 se obtiene

(1)

         (2)

Tenemos que minimizar el peso total del cohete m0, para un valor dado de la carga útil mu y de la velocidad v2 que queremos alcanzar. Utilizando el procedimiento de los multiplicadores de Lagrange para las ecuaciones (1) y (2) se obtiene el siguiente resultado

(3)

Teniendo en cuenta este resultado, podemos determinar la distribución óptima de combustible en las dos etapas del cohete.

Llamando p a la proporción de combustible en la segunda fase

La igualdad (3) nos conduce a la ecuación de segundo grado en p

Despejamos la raíz positiva de la ecuación.

Ejemplo

Sea un cohete que transporta una carga útil de 800 kg, el combustible total es 9000 kg, y el valor de r=0.05 (el depósito representas una masa del 5% del combustible que contiene).

Primero calculamos k

y luego p=0.22. La máxima velocidad de la carga útil después de haberse consumido el combustible se obtiene para p=0.22, es decir, poniendo el 22% de combustible en la segunda fase y el 78% en la primera fase.

El cohete que llevó el primer hombre a la Luna tenía 3 etapas, se podría pensar que este es el número óptimo. Se puede demostrar que a medida que se usan más y más etapas decrece el peso total al despegue. Sin embargo, después de tres etapas las variaciones del peso tienen menos importancia para el diseñador que los problemas que se derivan de la complejidad estructural (control de las vibraciones, etc.).

 

Referencias

Díaz-Jiménez, A., Mathieu Valderrama R.. Redistribuyendo la masa con la velocidad: El cohete clásico. Revista Española de Física. Volumen 4, nº 3, 1990. págs. 65-67.