El cohete "perfecto"

prev.gif (1231 bytes)home.gif (1232 bytes)next.gif (1211 bytes)

Dinámica

Sistemas de masa
variable (I). 
Modelo discreto de 
cohete.
Cohete de empuje
constante
Cohete de dos etapas
Movimiento vertical de
un cohete.
Descenso del módulo 
lunar
marca.gif (847 bytes)Cohete "perfecto"
El cohete de Torricelli

 

Conservación del momento lineal

Balance energético

java.gif (886 bytes)Actividades

Cohete con aceleración constante

Referencias

 

Los cohetes que usan combustibles de tipo químico proporcionan un empuje u·D constante. Siendo u la velocidad de salida de los gases (en el Sistema de Referencia en el cohete) y D el combustible expulsado en la unidad de tiempo. Si el cohete se mueve con velocidad v, la velocidad de los gases respecto del observador terrestre es v-u, que no es constante. Esta solución no es la más eficiente, aunque sea la más utilizada.

En esta página, vamos a estudiar el denominado cohete "perfecto" definido como aquél en el que la velocidad de salida de los gases u0 medida por el observador terrestre es constante. Por tanto, un cohete "perfecto" necesita de un motor que proporcione una velocidad variable de salida de los gases, que se incremente a medida que el cohete acelera.

Los cohetes del futuro probablemente dejarán de emplear combustibles químicos, y usarán aceleradores de iones, láseres, o motores nucleares, etc. que podrían aumentar de este modo el rendimiento del cohete.

 

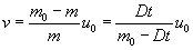
Conservación del momento lineal

Como se ha mencionado en la introducción a esta página y como se muestra en la figura, la velocidad de los gases expulsados respecto del observador terrestre es constante e igual a u0. La velocidad de salida de los gases para el observador situado en el cohete vale u0+v, si la velocidad del cohete es v.

La conservación del momento lineal aplicada al sistema aislado formado por el cohete (de masa m y velocidad v) y los gases expulsados hasta el instante t, (masa m0-m y velocidad u0) es

mv-(m0-m)u0=0

La ecuación del movimiento del cohete es muy simple

Siendo D la masa de combustible quemado en la unidad de tiempo.

Integrando, obtenemos la posición del cohete en función del tiempo (hay que integrar dos veces por partes)

 

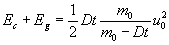
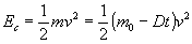
Balance energético

Energía cinética del cohete

Energía cinética de los gases expulsados desde el instante t=0, al instante t.

Energía cinética total del sistema aislado formado por el cohete y los gases

Rendimiento

El rendimiento del cohete es grande, siempre que la masa final o carga útil que transporta m=m0-Dt (masa inicial menos combustible quemado) sea pequeña comparada con la masa inicial m0.

Ejemplo

  • Combustible total en el cohete 9000 kg
  • Carga útil que transporta 800 kg
  • Combustible quemado por segundo D=1000 kg/s
  • Velocidad inicial de salida de los gases u0=2000 m/s
  • Masa del recipiente que contiene el combustible 5% de la masa del combustible

Masa total del cohete=carga útil+combustible+masa del recipiente

m0=800+9000+0.05·9000=10250 kg

  1. Tiempo que tarda en agotarse el combustible

Como hay 9000 kg de combustible que se queman a razón de 1000 kg/s. Luego, el combustible se agota en 9 s.

  1. Velocidad máxima alcanzada por el cohete

  1. En un cohete normal, la velocidad de salida de los gases respecto del cohete es constante (recta de color azul). En un cohete perfecto, el motor impulsor ha de estar diseñado de modo que la velocidad v+u0 de salida de los gases respecto del cohete (curva de color rojo) tiene que aumentar con el tiempo en la forma indicada en la figura

  1. Rendimiento cuando se ha agotado todo el combustible

  1. Desplazamiento al cabo de 9 s.

 

Actividades

Se introduce.

  • El combustible c, en el control de edición titulado Combustible total en el cohete
  • La carga útil que transporta, en el control de edición titulado Carga útil que transporta
  • La cantidad D de combustible que se quema por segundo, en el control de edición titulado Combustible quemado por seg.
  • La velocidad inicial de salida de los gases se ha fijado en u=2000 m/s
  • La masa del recipiente que contiene el combustible se ha fijado en el 5% de la masa del combustible

Se pulsa el botón titulado Empieza

El applet simula un cohete perfecto, de modo que la velocidad de salida de los gases siempre es constante para el observador terrestre pero crece en el sistema de referencia del cohete a medida que éste se acelera.

En la cola del cohete se dibuja una flecha que señala la fuerza de empuje u·D=(u0+vD. El empuje va aumentando a medida que aumenta la velocidad de salida de los gases u0+v en el Sistema de Referencia en el cohete.

El cohete que estudiaremos, expulsará una cantidad constante D de combustible en la unidad de tiempo

Se sugiere al lector que compare el comportamiento de dos cohetes con la misma carga y la misma cantidad de combustible, y el mismo valor para el parámetro D (combustible quemado por segundo).

                                  

 

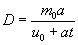
Cohete con aceleración constante

Si queremos que el cohete viaje con aceleración constante a, la masa de gas expulsada por segundo D, deja de ser constante

Para que la aceleración a sea constante D debe variar con el tiempo de la forma indicada en la figura. Los datos son los del ejemplo de más abajo.

La energía total del cohete más la de los gases expulsados será

La potencia (energía por unidad de tiempo) suministrada por el motor es constante

Ejemplo

Supongamos un cohete con una masa inicial de 10000 kg y que la velocidad inicial de salida de los gases de1000 m/s, la potencia de su motor es de 50·106 W. Determinar, su velocidad al cabo de 5 minutos, la distancia que habrá recorrido y la masa de combustible que ha gastado.

  1. En la fórmula de la potencia P, despejamos la aceleración

m0=10000 kg
u0=1000 m/s
P=50·106 W

El resultado es a=10 m/s2

  1. La velocidad al cabo de 5 minutos ó 300 s es v=10·300=3000 m/s
  1. La distancia que ha viajado

x=at2/2=450 km

  1. Combustible quemado en el tiempo t=300 s.

 

Referencias

Gowdy, R.H. The physics of perfect rockets. Am. J. Phys. 63 (3) March 1995, pp. 229-232.