Un cohete de empuje constante

prev.gif (1231 bytes)home.gif (1232 bytes)next.gif (1211 bytes)

Dinámica

Sistemas de masa
variable (I). 
Modelo discreto de 
cohete.
marca.gif (847 bytes)Cohete de empuje
  constante
Cohete de dos etapas
Movimiento vertical de
un cohete.
Descenso del módulo 
lunar
Cohete "perfecto"
El cohete de Torricelli
Ecuación del movimiento

Momento lineal

Energías

Ejemplo

java.gif (886 bytes)Actividades

 

En esta página, estudiaremos el movimiento de un cohete en el espacio exterior.

Un cohete ordinario funciona a base de reacciones químicas que proporcionan una velocidad constante u de salida de los gases en el Sistema de Referencia en el cohete. Si la cantidad de combustible D que se quema en la unidad de tiempo es constante, entonces el empuje que proporcionan al cohete los gases expulsados es también constante.

En esta página, veremos que la velocidad final del cohete no depende de la cantidad D de combustible quemado en la unidad de tiempo, aunque el tiempo que tarda en alcanzar la velocidad máxima o el desplazamiento del cohete si dependen de esta cantidad.

 

Ecuación del movimiento

Consideremos un cohete de masa inicial m que lleva una velocidad v respecto a un Sistema de Referencia Inercial (por ejemplo, la Tierra).

En el instante t+Δt, una masa Δμ se expulsa con una velocidad constante –u relativa al cohete, como consecuencia la masa restante (m-Δμ) del cohete se incrementa en v+Δv.

En el instante t el cohete de masa m lleva una velocidad v. Su momento lineal es

p(t)=mv

En el instante t+Δt

  • El cohete tiene una masa m-Δμ, su velocidad es v+Δv.

  • La masa expulsada Δμ lleva una velocidad –u respecto del cohete o una velocidad –u+ v, respecto de Tierra

El momento lineal en este instante es

p(t+Δt)=(m-Δμ)(v+Δv)+ Δμ(–u+ v)

Si el cohete está en el espacio exterior, el sistema formado por el cohete y el combustible que expulsa es aislado, el momento lineal p permanece constante. La  ecuación del movimiento del cohete es

Δp= p(t+Δt)- p(t)=Δv- Δμ-Δv·Δμ=0

En el límite cuando Δt→0

La masa M del sistema formado por el cohete m y el combustible expulsado μ es constante M=μ+m, por lo que dμ+dm=0. La masa del cohete disminuye en dm y aumenta la masa del combustible expulsado en la misma cantidad.

                            (1)

Despejando dv

cuya integración entre los instantes 0 y t conduce a la siguiente expresión

Suponemos que la cantidad de combustible quemado en la unidad de tiempo, D, es constante, D=-dm/dt. La masa m del cohete en el instante t valdrá m=m0-D·t. Donde m0 es la suma de la carga útil más el combustible inicial, y D·t es el combustible quemado al cabo de un cierto tiempo t.

La ecuación del movimiento (1), la podemos interpretar afirmando que el cohete se comporta como una partícula de masa variable m que se mueve bajo la acción de una fuerza de empuje constante u·D.

Para hallar el desplazamiento x del cohete en el tiempo t, se integra la expresión de la velocidad

para lo cual, es útil conocer la integral

resultando la expresión

Cuando se agota el combustible, el cohete se mueve con velocidad constate.

 

Momento lineal

Un cohete con una masa inicial m0 empieza a expulsar los gases con velocidad u relativa al cohete y por consiguiente, comienza a moverse en el espacio exterior. Al cabo de un cierto tiempo, alcanza una velocidad v, expulsando los gases con una velocidad u relativa al cohete o con una velocidad v-u relativa al observador terrestre.

Si el cohete parte del reposo v0=0, la velocidad de los gases respecto del observador terrestre v-u no es constante. Al principio tiene sentido contrario al movimiento del cohete v-u<0, pero al cabo de un cierto tiempo t la velocidad de los gases v-u>0 es del mimo sentido que la del cohete.

t>0.632m0/D

En el instante t=0.632m0/D los gases expulsados están en reposo respecto del observador terrestre.

El momento lineal del cohete en el instante t, es

El momento lineal de los gases expulsados entre el instante t=0, y el instante t, es

cohete_2.gif (2068 bytes)

Como el cohete y los gases forman un sistema aislado el momento lineal del cohete es igual y de sentido contrario al de los gases expulsados desde el instante inicial t=0, al instante t. Como la velocidad de los gases respecto del observador terrestre no es constante es necesario calcular una integral para obtener el momento total de los gases expulsados hasta el instante t, y comprobar de este modo que se cumple el principio de conservación del momento lineal, principio en el que nos hemos basado por otra parte, para obtener la ecuación del movimiento del cohete.

 

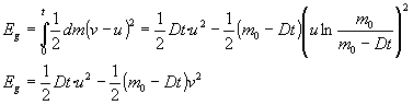
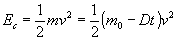
Energías

La energía cinética del cohete en el instante t es

La energía cinética de los gases expulsados desde el instante t=0, al instante t es

Para llegar a este resultado, es necesario conocer las siguientes las integrales :

La energía cinética total del sistema aislado formado por el cohete y los gases en el instante t es

El rendimiento del cohete en el instante t es el cociente entre la energía cinética del cohete y la energía cinética total (cohete más los gases expulsados).

 

Ejemplo:

  • Combustible total en el cohete 9000 kg
  • Carga útil que transporta 800 kg
  • Combustible quemado por segundo D=1000 kg/s
  • La velocidad constante de salida de los gases es u=2000 m/s respecto del cohete
  • La masa del recipiente que contiene el combustible es el 5% de la masa del combustible

Masa total del cohete=carga útil+combustible+masa del recipiente

m0=800+9000+0.05·9000=10250 kg

  1. Tiempo que tarda en agotarse el combustible

  2. Como hay 9000 kg de combustible que se queman a razón de 1000 kg/s, el combustible se agota en 9 s.
     
  3. Velocidad máxima alcanzada por el cohete

  1. Distancia recorrida hasta que se agota el combustible
  2. Energías

La energía total proporcionada por el combustible es

La energía cinética del cohete cuando se ha agotado el combustible es

El rendimiento es el cociente entre Ek/Ei=61.5%

 

Actividades

Se introduce.

  • El combustible c, en el control de edición titulado Combustible total en el cohete
  • La carga útil que transporta, en el control de edición titulado Carga útil que transporta
  • La cantidad D de combustible que se quema por segundo, en el control de edición titulado Combustible quemado por seg.
  • La velocidad constante de salida de los gases se ha fijado en u=2000 m/s respecto del cohete
  • La masa del recipiente que contiene el combustible se ha fijado en el 5% de la masa del combustible

Se pulsa el botón titulado Empieza

El cohete parte con velocidad inicial cero v0=0 desde el origen x0=0.

La masa inicial m0 es la suma de la carga útil, más el combustible y más la masa del recipiente cilíndrico que será proporcional a la masa del combustible que contiene

masa inicial  m0  =carga útil +(1+r) ·combustible.

donde r es del orden del 5% ó 0.05

El tiempo tmáx que tarda en agotarse el combustible es igual al cociente entre la masa de combustible c y la cantidad D que se quema por segundo

tmáx=c/D

Cuando se agota el combustible c, el cohete describe un movimiento rectilíneo y uniforme, ya que no actúan fuerzas sobre el mismo.

En la cola del cohete se dibuja una flecha que indica la intensidad de la fuerza de empuje. Como la velocidad de los gases es constante (en el Sistema de Referencia en el cohete) el empuje es constante.

Comprobar que el cohete alcanza el mismo valor de la velocidad máxima, independientemente de la cantidad D de combustible quemado en la unidad de tiempo. Mantener constantes la cantidad de de combustible c, la carga útil y variar la cantidad de combustible quemado por segundo. Anotar en una tabla la velocidades finales vmáx, una vez agotado todo el combustible, el tiempo empleado en alcanzar la velocidad máxima tmáx, y el desplazamiento del cohete x hasta este instante.

Usar los botones titulados Pausa y Paso para acercarse al instante en el que se agota el combustible.

D tmáx vmáx x
       
       
       
       

En el applet se muestra el balance energético del cohete. Un círculo muestra la energía inicial del combustible en el cohete, y cómo esta energía se va transformando en energía cinética de los gases expulsados y en energía cinética del cohete. Al agotarse todo el combustible, una parte de la energía inicial del combustible se ha transformado en energía cinética del cohete.