Formulación discreta de las ecuaciones del movimiento de un cohete.

prev.gif (1231 bytes)home.gif (1232 bytes)next.gif (1211 bytes)

Dinámica

Sistemas de masa
variable (I). 
marca.gif (847 bytes)Modelo discreto de 
 cohete.
Cohete de empuje
constante
Cohete de dos etapas
Movimiento vertical
de un cohete.
Descenso del módulo 
lunar
Cohete "perfecto"
El cohete de Torricelli
 
Velocidad del cohete

Momento lineal

Energía

Desplazamiento

Del modelo discreto al continuo

java.gif (886 bytes)Actividades

Referencias

 
Un cohete expulsa una fracción m de su combustible a intervalos de tiempos fijos (por ejemplo, cada segundo), con una velocidad u respecto del cohete. Este es un problema similar al de un patinador de masa M en una pista de hielo que arroja repetidamente bolas de masa m con velocidad constante u respecto del patinador.

Supondremos que el cohete está en el espacio exterior y por tanto, no actúa ninguna fuerza exterior sobre el mismo. Para calcular la velocidad del cohete a medida que va expulsando el combustible aplicamos el principio de conservación del momento lineal.

discreto1.gif (3385 bytes)

El cohete tiene una masa M que incluye la carga útil, el combustible y la masa del depósito que lo contiene. Supondremos que el cohete expulsa n fracciones de combustible de masa m a intervalos fijos de tiempo, es decir, en los instantes 0, Dt, Dt...(n-1) ·Dt, alcanzando la velocidad en v1, v2, ....vn, tal como se muestra en la figura.

discreto5.gif (2317 bytes)

 

Velocidad del cohete

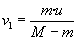
  1. En el intervalo (0-Dt)

En el instante inicial t=0, expulsa una fracción m de combustible con una velocidad u respecto del cohete. El cohete pierde una masa m y adquiere una velocidad v1. Si el cohete estaba inicialmente en reposo, su momento lineal es cero. Por tanto, la suma del momento lineal del cohete más el momento lineal del combustible expulsado debe dar cero.

discreto2.gif (1722 bytes) (M-m)v1+m(-u)=0

El cohete se moverá con velocidad constante v1 en el intervalo de tiempo 0-Dt. La fracción m del combustible expulsado se moverá con velocidad constante –u.

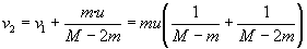
  1. En el intervalo (Dt-2Dt)

En el instante Dt, el cohete expulsa otra fracción m de combustible con velocidad u respecto del cohete o v1-u respecto de Tierra. El cohete pierde otra masa m y adquiere una velocidad v2.

El momento lineal inicial del cohete (M-m)v1 es igual al momento final del cohete más el de la fracción m del combustible expulsado.

discreto3.gif (1867 bytes) (M-2m)v2+m(v1-u)= (M-m)v1

El cohete se moverá con velocidad constante v2 en el intervalo de tiempo Dt -2Dt. La fracción m del combustible expulsado se moverá con velocidad constante v1-u.

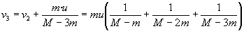
  1. En el intervalo (2Dt-3Dt)

En el instante 2Dt, el cohete expulsa otra fracción m de combustible con velocidad u respecto del cohete o v2-u respecto de Tierra. El cohete pierde otra masa m y adquiere una velocidad v3. Aplicando el principio de conservación del momento lineal, despejamos v3.

discreto4.gif (1912 bytes) (M-3m)v3+m(v2-u)= (M-2m)v2

El cohete se moverá con velocidad constante v3 en el intervalo de tiempo 2Dt -3Dt. La fracción m del combustible expulsado se moverá con velocidad constante v2-u.

  1. En el intervalo ((n-1)Dt-nDt)

En el instante (n-1)Dt, el cohete expulsa la última fracción m de combustible con velocidad u respecto del cohete o vn-1-u respecto de Tierra. El cohete pierde otra masa m y adquiere una velocidad vn.

El cohete se moverá con velocidad constante vn en a partir del instante t=(n-1)D t. La última fracción m del combustible expulsado se moverá con velocidad constante vn-1-u.

 

Momento lineal

En el intervalo de tiempo comprendido entre (i-1Dt -i·Dt el momento lineal del cohete es

Pc=(M-i·m)vi

El momento lineal del combustible expulsado, como podemos comprobar en la primera figura es

Pg=m(-u)+m(v1-u)+m(v2-u)+…m(vi-1-u)

La conservación del momento lineal del sistema aislado formado por el cohete y el combustible que expulsa, exige que ambos momentos sean iguales y de sentido contrario. Pc+Pg=0.

 

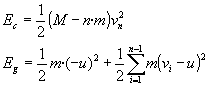
Energía

La energía final del sistema, es la suma de la energía cinética del cohete Ec con velocidad final vn, y la energía cinética Eg de las fracciones de masa m de combustible expulsados con velocidad (-u), (v1-u), (v2-u)(vn-1-u), respectivamente.

 

Desplazamiento

  • El desplazamiento en el intervalo de tiempo (0-Dt) es x1=v1·Dt
  • El desplazamiento en el intervalo de tiempo (Dt-2Dt), vale x2=v2·Dt
  • El desplazamiento en el intervalo de tiempo (2Dt-3Dt), vale x3=v3·Dt

El desplazamiento total en el intervalo de tiempo (0- Dt) será

 

Del modelo discreto al continuo

El paso del modelo discreto al modelo continuo, que veremos en la siguiente página, implica incrementar el número n de fracciones de combustible de modo que la masa m de cada fracción sea cada vez más reducida. En el límite, cuando n tienda a infinito, la masa de cada fracción será una cantidad infinitesimal dm. Vamos a comparar las predicciones del modelo discreto frente a las del modelo continuo.

La masa inicial M es la suma de la carga útil, más el combustible y más la masa del recipiente que será proporcional a la masa del combustible que contiene

masa inicial  M  =carga útil+(1+r) ·combustible.

donde r es del orden del 5% ó 0.05.

Tomaremos el intervalo de tiempo Dt =1 s. De modo que, la primera fracción de combustible se expulsa en el instante t=0, la segunda en el instante t=1 s., la tercera en el instante t=2 s, y así sucesivamente. El combustible se agota en el instante t=(n-1) s.

Ejemplo 1:

  • Combustible en el cohete, 9000 kg
  • Carga útil que transporta, 800 kg.
  • Número de fracciones, 3.

La masa inicial del cohete es (carga útil+combustible+masa del depósito)

M=800+1.05·9000=10250 kg.

La masa de cada fracción de combustible es m=9000/3=3000 kg, y se expulsan en los instantes t=0, t=1, y t=2 s.

La velocidad con la que se expulsa cada una de las fracciones es u=2000 m/s constante respecto del cohete, y está fijada en el programa interactivo.

Modelo discreto

Las velocidades del cohete en los intervalos de tiempo que se indican son

Intervalo (s) Masa del cohete (kg) Velocidad cohete (m/s) Velocidad del combustible (m/s)
0-1 10250-3000 827.6 -2000
1-2 10250-2·3000 2239.3 827.6-2000
2-3 10250-3·3000 7039.3 2239.3-2000
  1. Desplazamiento del cohete en el intervalo de (0- 3) s es el área bajo la curva escalonada.

x=827.6·1+2239.3·1+7039.3·1=10106.3 m.

  1. Momento lineal final del cohete:

Pc=(10250-3·3000)·7039.3=8799188.6 kg·m/s

Momento lineal final de los gases expulsados:

Pg=3000·(-2000)+3000·(827.6-2000)+3000·(2239.3-2000)=-8799188.6 kg·m/s.

  1. Energía del cohete:

Ec=(10250-3·3000)·7039.32/2=3.097·1010 J

Energía de los gases expulsados:

Eg=3000·(-2000)2/2+3000·(827.6-2000)2/2+3000·(2239.3-2000)2/2=8.148·109 J

La energía total necesaria para que el cohete alcance la velocidad final de 7039.3 m/s es la suma de las dos contribuciones.

E= Ec+ Eg=3.912·1010 J

Modelo continuo.

En la formulación continua, se queman 3000 kg de combustible cada segundo, D=3000 kg/s, resultando

  • Velocidad final de v=4208 m/s
  • Desplazamiento en el intervalo de tiempo (0-3)s es, x=4246 m.

Como vemos hay una gran diferencia entre las predicciones de ambos modelos

 

Ejemplo 2:

  • Combustible en el cohete 9000 kg
  • Carga útil que transporta 800 kg.
  • Número de fracciones 9.

La masa inicial del cohete es (carga útil+combustible+masa del depósito)

M=800+1.05·9000=10250 kg.

La masa de cada fracción de combustible es m=9000/9=1000 kg, y se expulsan en los instantes t=0, t=1, ... t=8 s.

La velocidad de expulsión de cada una de las fracciones es de u=2000 m/s respecto del cohete, y está fijada en el programa interactivo.

Modelo discreto

Las velocidades del cohete en los intervalos de tiempo que se indican son

Intervalo (s) Masa del cohete (kg) Velocidad cohete (m/s) Velocidad del combustible (m/s)
0-1 9250 216.2 -2000
1-2 8250 458.6 216.2-2000
2-3 7250 734.5 458.6-2000
3-4 6250 1054.5 734.5-2000
4-5 5250 1435.5 1054.5-2000
5-6 4250 1906.0 1435.5-2000
6-7 3250 2521.4 1906.0-2000
7-8 2250 3410.3 2521.4-2000
8-9 1250 5010.3 3410.3-2000
  1. El desplazamiento total del cohete en el intervalo (0-9) s es x=16747.4 m
  1. El momento lineal final del cohete es Pc=6262895.8 kg·m/s

El momento lineal final del combustible expulsado es Pg=-6262895.8 kg·m/s

  1. La energía cinética del cohete es Ec=1.57·1010 J

La energía cinética del combustible expulsado es Eg=7.32 109 J.

La energía total es E= Ec+ Eg=2.30·1010 J.

Modelo continuo

En la formulación continua, se queman 1000 kg de combustible cada segundo, D=1000 kg/s, resultando

  • Velocidad final de v=4208 m/s.
  • Desplazamiento en el intervalo de tiempo (0-9) s es, x=12740 m.

Los resultados del modelo discreto se van acercando a los del modelo continuo.

Fijarse que en el modelo continuo, la velocidad final del cohete es independiente de D, la cantidad de combustible quemado en la unidad de tiempo.

 

Actividades

Se introduce

  • El combustible c, en el control de edición titulado Combustible en el cohete
  • La carga útil que transporta, en el control de edición titulado Carga útil que transporta
  • El número n de fracciones de combustible de masa m=c/n, que se expulsan a intervalos regulares de tiempo, en el control de edición titulado Número de fracciones
  • La velocidad de expulsión de cada una de las fracciones se ha fijado en u=2000 m/s respecto del cohete,

Se pulsa el botón titulado Empieza

En la parte inferior del applet, vemos el movimiento del cohete, en color azul, y el movimiento de las fracciones de combustible expulsados (en color rojo).

En la parte superior izquierda, tenemos un conjunto de tres barras:

  • La primera, señala el tanto por ciento de combustible (en color blanco) gastado y el remanente (en color rojo).
     
  • La segunda representa, el momento lineal del cohete (azul) y el momento lineal de los gases expulsados (en rojo), ambos momentos son iguales y de sentido contrario, de modo que el momento lineal total es cero.
     
  • La tercera barra, representa la energía: la longitud total de la barra es la energía total disponible, la parte azul corresponde a la energía cinética del cohete, y la parte roja, la energía cinética de las fracciones de combustible expulsadas.

Finalmente, tenemos la representación de la velocidad del cohete en función del tiempo. En color rojo la curva continua describe el perfil de la velocidad del cohete calculada siguiendo el modelo continuo. En color azul, tenemos una curva escalonada que representa el perfil de la velocidad del cohete calculada siguiendo el modelo discreto descrito en esta página.

Probar con diversos valores del número de fracciones, por ejemplo n=3 y compararla con n=9. Veremos cómo a medida que se incrementa n las predicciones del modelo discreto se acercan a las del modelo continuo.

 

Referencias

Bose S. K.. The rocket problem revisited. Am. J. Phys. 51 (5) 1983, pp. 463-464.