| Examinaremos ahora, el movimiento de un cohete que es lanzado
verticalmente desde la superficie de la Tierra. Supondremos que se trata de un cohete
pequeño, que alcanza una altura limitada. Podemos considerar que la intensidad de la
gravedad g es aproximadamente constante e igual a 9.8 m/s2.
Analizaremos
las dos etapas en el movimiento del cohete:
- Desde que se lanza hasta que agota el combustible
- Desde el momento en el que agota el combustible, hasta que alcanza la máxima altura.
 |
Consideremos un cohete que en el instante t,
tiene una masa m que lleva una velocidad v respecto a un
Sistema de Referencia Inercial (por ejemplo, la Tierra).
En el instante t+Δt, una masa Δμ de combustible
se expulsa con una velocidad constante –u relativa al cohete,
como consecuencia la velocidad de la masa restante (m-Δμ)
del cohete se incrementa en v+Δv. |
En el instante t, el cohete de masa m
lleva una velocidad v. El momento lineal es
p(t)=mv
En el instante t+Δt
-
El cohete tiene una masa m-Δμ, su
velocidad es v+Δv.
-
La masa expulsada Δμ lleva una velocidad –u
respecto del cohete o una velocidad –u+ v,
respecto de Tierra
El momento lineal en este instante es
p(t+Δt)=(m-Δμ)(v+Δv)+
Δμ(–u+ v+Δv)
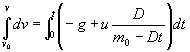
El cambio de momento lineal entre los instantes t y
t+Δt es
Δp= p(t+Δt)-
p(t)=m·Δv- u·Δμ-Δμ·Δv
En el límite cuando Δt→0

El cambio de momento lineal se debe a la acción de las
fuerzas exteriores al sistema (la fuerza de atracción gravitatoria, que
apunta en sentido contrario al momento lineal).

Por otra parte, la masa M del sistema formado
por el cohete m y el combustible expulsado μ es constante
M=μ+m, por lo que dμ+dm=0. La masa del cohete disminuye en dm
y aumenta la masa del combustible expulsado en la misma cantidad.
La ecuación del movimiento del cohete se escribe

 |
Suponemos que la cantidad de combustible quemado en la
unidad de tiempo, D, es constante, D=-dm/dt. La masa m
del cohete en el instante t valdrá m=m0-D·t.
Donde m0 es la suma de la carga útil más el
combustible inicial, y D·t es el combustible quemado al cabo de
un cierto tiempo t. 
Un cohete puede considerarse
una partícula de masa variable m sometida a dos fuerzas de la misma dirección
pero de sentidos
contrarios: el empuje de los gases uD y el peso mg. |
Como caso particular, mencionaremos que en
el espacio exterior el peso mg vale cero, y sobre el cohete
actuaría
únicamente la fuerza de empuje que le proporciona la expulsión de los gases al quemarse
el combustible.
La ecuación anterior la podemos escribir

Que se puede integrar de forma inmediata

obteniéndose la expresión de la velocidad en función del tiempo

Volviendo a integrar

Se obtiene la posición x del móvil en cualquier
instante t.

El empuje es mayor que peso
- Combustible total en el cohete, 1.0 kg
- Carga útil que transporta, 2.0 kg
- Combustible quemado por segundo, D=0.1 kg/s
- Velocidad de salida de los gases u0=1000 m/s
Se considera despreciable la masa del recipiente que contiene el combustible
- Fuerzas sobre el cohete
Masa total del cohete=carga útil+combustible
m0=2.0+1.0=3.0 kg
El peso del cohete m0·g (29.4 N) es menor que el empuje u·D
(100 N)
- Tiempo que tarda en agotarse el combustible
Como hay 1.0 kg de combustible que se queman a razón de 0.1 kg/s. Luego, el
combustible se agota en el instante t0= 10 s.
- Velocidad máxima alcanzada por el cohete

- Altura que alcanza hasta que se agota el combustible

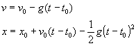
- Una vez que ha agotado el combustible, el cohete prosigue su movimiento hasta que
alcanza la máxima altura. Las ecuaciones del movimiento son

Donde x0, v0 es la posición, velocidad del cohete
en el instante t0 en el que se ha agotado el combustible.
La altura máxima se alcanza cuando v=0, en el instante t=41.4 s. La
posición del cohete en dicho instante es x=6223 m.
El empuje es menor que peso
- Combustible total en el cohete, 2.0 kg
- Carga útil que transporta, 9.0 kg
- Combustible quemado por segundo, D=0.1 kg/s
- Velocidad de salida de los gases u0=1000 m/s
Se considera despreciable la masa del recipiente que contiene el combustible
- Fuerzas sobre el cohete
El peso del cohete (2.0+9.0)·9.8=107.8 N es mayor que el empuje u·D=1000·0.1=100
N
Se va quemando el combustible sin que se mueva el cohete hasta el momento en el que el
peso se iguala al empuje.
(c+9)·9.8=100
Cuando el combustible c=1.204 kg el cohete empieza a elevarse.
Se han desperdiciado 2-1.204=0.796 kg de combustible.
- Masa inicial del cohete al despegue
m0= 1.204+9.0=10.204 kg
- Tiempo que tarda en agotarse el combustible
Como hay 1.204 kg de combustible que se queman a razón de 0.1 kg/s. Luego, el
combustible se agota en 12.04 s.
- Velocidad máxima alcanzada por el cohete

- Altura que alcanza hasta que se agota el combustible

- Tiempo que tarda en alcanzar la máxima altura
0=7.56-9.8(t-12.04)
t=12.8 s
Posición del cohete en dicho instante
x=29.62+7.56·0.77-4.9·0.772=32.5 m
Se introduce:
- Combustible total en el cohete, en el control de edición titulado
Combustible total en el cohete
- Carga útil que transporta, en el control de edición titulado Carga útil que transporta
- Combustible quemado por segundo, en el control de edición titulado Combustible quemado por seg.
- Velocidad de salida de los gases u0=1000 m/s
Se pulsa el botón titulado Empieza
Al lado del cohete, dos flechas, se dibujan las
fuerzas sobre el cohete: en color rojo el empuje y en color azul el peso. El
empuje permanece constante, el peso va disminuyendo a medida que se va
quemando el combustible.
Si el peso inicial del cohete (carga útil más combustible) m0·g es
mayor que el empuje proporcionado por la expulsión de los gases u·D,
el cohete
quema el combustible sin despegar, hasta el momento en el que el peso se hace igual o
menor que el empuje.
Una vez que despega, el cohete agota el combustible en el instante t, cociente
entre la masa combustible y el combustible quemado por segundo.
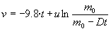
La velocidad que alcanza el cohete cuando agota el combustible se obtiene mediante la fórmula

donde m0 es la masa del cohete al despegar, y t es el tiempo
desde que despega hasta que agota el combustible. Después, el cohete continúa ascendiendo hasta que su velocidad se hace cero.
- En la parte derecha del applet, se representa la velocidad del cohete en función del
tiempo.
- En la parte izquierda del applet, observamos la altura del cohete en función del
tiempo.
|