El espín del electrón

prev.gif (1231 bytes)home.gif (1232 bytes)next.gif (1211 bytes)

Mecánica Cuántica

Experiencias relevantes
Parámetro de impacto y
ángulo de dispersión
Dispersión de partículas (I)
La estructura atómica
Dispersión de partículas (II)

El espectro
electromagnético
El cuerpo negro (I)
El cuerpo negro (II)
Ley de Stefan-
Boltzmann

El efecto fotoeléctrico
El efecto Compton
La cuantización de la 
energía
marca.gif (847 bytes)El espín del electrón
Difracción de micro-
partículas
Descripción

java.gif (886 bytes) Actividades

 

La Tierra además de su movimiento orbital alrededor del Sol, tiene un movimiento de rotación alrededor de su eje. Por tanto, el momento angular total de la Tierra es la suma vectorial de su momento angular orbital y su momento angular de rotación alrededor de su eje.

Por analogía, un electrón ligado a un átomo también gira sobre sí mismo, pero no podemos calcular su momento angular de rotación del mismo modo que calculamos el de la Tierra en función de su masa, radio y velocidad angular.

La idea de que el electrón tiene un movimiento de rotación fue propuesta en 1926 por G. Uhlenbeck y S. Goudsmit para explicar las características de los espectros de átomos con un solo electrón. La existencia del espín (rotación) del electrón está confirmada por muchos resultados experimentales, y se manifiesta de forma muy directa en el experimento de Stern-Gerlach, realizado en 1924.

En la simulación de este experimento, se comprobará la existencia del espín del electrón observando que un haz de átomos se divide en dos trazas simétricas al eje X. A partir de la medida de la desviación del haz, determinaremos el valor del magnetón de Bohr.

La simulación es similar al experimento de Thomson que realizamos para determinar la naturaleza de los denominados rayos catódicos y medir la razón entre la carga y la masa del electrón.

La experiencia de Stern-Gerlach se completa en otra página para contar cuantos átomos se depositan en la placa a uno y otro lado del origen, a una temperatura dada, comprobando que el momento magnético medio de los átomos depositados es inversamente proporcional a la temperatura absoluta (ley de Curie).

 

Descripción

Se postula la existencia de un momento angular intrínseco del electrón llamado espín S . Como el electrón es una partícula cargada, el espín del electrón debe dar lugar a un momento magnético µ intrínseco o de espín. La relación que existente entre el vector momento magnético y el espín es

donde g se denomina razón giromagnética del electrón, su valor experimental es aproximadamente 2.

spin.gif (1364 bytes) El número de orientaciones del vector momento angular respecto a un eje Z fijo es 2S+1, tenemos para el caso del espín S=1/2 que la componente Z tiene dos valores permitidos . Por lo que

mB se denomina magnetón de Bohr.

Sabiendo que carga del electrón e=1.6·10-19 C, la masa m=9.1·10-31 kg y la constante de Planck =6.63·10-34/(2p) Js. Obtenemos mB =9.27 10-24 Am2.

La energía de un dipolo magnético  µ en un campo magnético B que tiene la dirección del eje Z es el producto escalar

U=-µ·B=-µz·B=±µB·B

Si B es variable en la dirección Z, el dipolo magnético experimenta una fuerza

fuerza.gif (1213 bytes) que lo desviará de su trayectoria rectilínea. Si el dipolo magnético es paralelo al campo magnético, tiende a moverse en la dirección en la que el campo magnético aumenta, mientras que si el dipolo magnético es antiparalelo al campo magnético se moverá en la dirección en la que el campo magnético disminuye.

 

 

En el experimento se usa un haz de átomos hidrogenoides, como plata, litio, sodio, potasio y otros que constan de capas electrónicas completas salvo la última en la que tienen un electrón. El momento angular orbital l de dicho electrón es cero, por lo que está en el estado s.

Se selecciona un haz de átomos de una velocidad dada y se le hace atravesar una región en la que existe un campo magnético no homogéneo, tal como se muestra en la figura.

dispositivo.gif (3211 bytes)

  1. Movimiento del átomo en la región en la que se ha establecido un gradiente de campo magnético
    Suponiendo que el gradiente de campo magnético es constante, la aceleración a lo largo del eje Z es constante, a lo largo del eje X es cero. Tenemos un movimiento curvilíneo bajo aceleración constante.

parabolico.gif (1019 bytes)

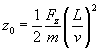
Si la región en la que hay un gradiente de campo magnético tiene una anchura L, la desviación que experimenta el haz, véase la figura, vale

 

  1. Movimiento del átomo fuera de dicha región
    Cuando el átomo de masa m abandona la región en la que hay un gradiente de campo magnético, sigue una trayectoria rectilínea con velocidad igual a la que tenía al abandonar la citada región. Las componentes de la velocidad serán

rectilineo.gif (1080 bytes)

La desviación total en la pantalla será

Midiendo d despejamos en dicha ecuación el valor mB del magnetón de Bohr.

 

Actividades

  • Se selecciona el tipo de átomos, en el control de selección titulado Atomos. Entre paréntesis, se proporciona el peso atómico en gramos.
  • Se introduce la velocidad del haz de átomos
  • Se pulsa el botón Nuevo.
  • Medir la desviación del haz en la pantalla, la regla está graduada en milímetros.  A partir de dicha medida obtener el valor el valor mB del magnetón de Bohr. Comparar el valor calculado con su definición dada más arriba en términos de la carga del electrón, de su masa y de la constante h de Planck.
  • Repetir el experimento, con otros tipos de átomos. Modificar la velocidad del haz cuando sea necesario para que pueda medirse su desviación sobre la escala graduada.

Datos

  • La anchura de la región donde se establece un gradiente de campo magnético es L= 5 cm. La distancia entre el límite de dicha región y la pantalla es de D=15 cm. El gradiente del campo magnético es .
  • La masa m de un átomo en gramos es el cociente entre su peso atómico y el número de Avogadro 6.02·1023 atomos/mol.

Se puede completar esta experiencia pulsando en el enlace experiencia de Stern-Gerlach con el fin de comprobar que el momento magnético medio de los átomos depositados en la placa es inversamente proporcional a la temperatura absoluta (ley de Curie).