La dispersión en el Sistema de Referencia del c.m. y del Laboratorio

prev.gif (1231 bytes)home.gif (1232 bytes)next.gif (1211 bytes)

Mecánica Cuántica

Experiencias relevantes
Parámetro de impacto y
ángulo de dispersión
Dispersión de partículas (I)
La estructura atómica
marca.gif (847 bytes)Dispersión de partículas(II)

El espectro
electromagnético
El cuerpo negro (I)
El cuerpo negro (II)
Ley de Stefan-
Boltzmann

El efecto fotoeléctrico
El efecto Compton
La cuantización de la 
energía
El espín del electrón
Difracción de micro-
partículas
Descripción

Movimiento del proyectil y del blanco en el S.R. del c.m.

Movimiento del proyectil y del blanco en el S.R. del Laboratorio

java.gif (886 bytes)Actividades

 

 

Hemos estudiado el problema de la dispersión de una partícula por un centro de fuerzas fijo. En la práctica, siempre hay presentes dos cuerpos, la partícula alfa o cualquier otra partícula incidente y el núcleo atómico. La segunda partícula no permanece fija, sino que retrocede a partir de la posición inicial como resultado de la dispersión.

Este ejemplo, nos permite observar el proceso bien situándonos en el (Sistema de Referencia del centro de masa (en adelante S.R. del c.m.) o en el S.R. del Laboratorio. Como ya apreciamos al estudiar los choques en una y en dos dimensiones, la descripción del fenómeno físico en el S.R. del c.m. es mucho más simple que en el S.R. del Laboratorio.

 

Descripción

Como el problema de dos cuerpos es reducible a otro de un solo cuerpo, cabe imaginar que sería suficiente sustituir la masa m por la masa reducida m . Sin embargo, el ángulo de dispersión que se mide en el laboratorio resulta algo más complicado de calcular.

dispersion4.gif (2291 bytes) Si r=rp-rb es la posición del proyectil respecto del blanco, la posición de cada una de las partículas respecto del c.m. es

Las velocidades de las partículas respecto del S.R. del c.m. están relacionadas de forma análoga.

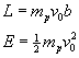
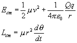
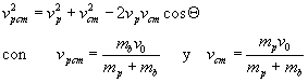
La energía cinética es la suma de la energía cinética de las partículas en el S.R. del c.m. y la energía cinética del c.m. donde suponemos concentrada toda la masa del sistema.

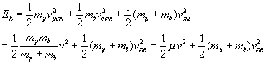
El momento angular, se puede expresar como la suma de dos contribuciones, el momento angular de las partículas respecto del c.m. y el momento angular del c.m.

L=Lcm+(mp+mb)·rcm xvcm

Las ecuaciones del movimiento del proyectil respecto del blanco se escriben de forma análoga a las de una partícula bajo la acción de un centro fijo de fuerzas, basta sustituir la masa m por la masa reducida m , la energía E y el momento angular L, por sus valores análogos Ecm y Lcm medidos en el S.R. del c.m.

A partir de estas dos ecuaciones, obtenemos la ecuación de la trayectoria r=r(q ) en coordenadas polares. La trayectoria del proyectil respecto del blanco es una hipérbola

Calculemos los valores de Ecm y Lcm para una partícula proyectil con velocidad v0 y parámetro de impacto b, que se lanza contra un blanco inicialmente en reposo.

Los valores de E y L respecto del sistema de referencia fijo en el laboratorio son

La posición y la velocidad del centro de masas es

Por tanto, la energía y el momento angular en el S.R. del c.m. son

 

Movimiento del proyectil y del blanco en el S.R. del c.m.

Conocido r(q ) podemos determinar la trayectoria del proyectil y del blanco en el SR del c.m. Para ello, basta relacionar r (posición del proyectil respecto del blanco) con rpcm (posición del proyectil respecto del c.m.) y con rbcm (posición del blanco respecto del c.m.) tal como hemos hecho al principio de esta página.

El ángulo de dispersión, es decir, el ángulo que forma la dirección del proyectil antes y después del proceso de dispersión, se calcula con la fórmula ya deducida en la que se ha sustituido la masa m por la masa reducida m .

dispersion6.gif (3091 bytes)

En la figura de la izquierda, vemos como aparecería el proceso de dispersión para un observador situado en el sistema de referencia del c.m, (la trayectoria del proyectil se muestra en color azul, y la del blanco en color rojo). Las partículas se mueven con momentos lineales iguales y opuestos. Se señala el ángulo de dispersión, es decir, el ángulo que forma la dirección inicial y la final del proyectil.

Las partículas antes y después de la dispersión (cuando se encuentran suficientemente alejadas para considerar que la interacción es despreciable) tienen el mismo módulo de la velocidad,

su dirección ha cambiado de dirección un ángulo F, que es el denominado ángulo de dispersión.

 

Movimiento del proyectil y del blanco en el S.R. del Laboratorio

En la parte derecha de la figura anterior, vemos la trayectoria seguida por el proyectil (en azul) y por el blanco (en rojo) en el S.R. del Laboratorio, también se señala la posición del c.m mediante un punto de color negro.

Como estamos estudiando un sistema aislado de dos partículas interactuantes, el centro de masas se mueve con velocidad constante.

donde x0cm, es la posición inicial del c.m.

Conocidas la posición del proyectil rpcm y del blanco rbcm respecto del c.m. y la posición rcm del centro de masas, podemos determinar la posición del proyectil rp y del blanco rb en el S. R. del Laboratorio.

rp=rpcm+rcm
rb=rbcm+rcm

dispersion5.gif (1832 bytes) vp=vpcm+vcm

En la figura anterior y en ésta, vemos la relación entre el ángulo de dispersión F medido en el SR del c.m. con el ángulo de dispersión Q medido en el S.R. del Laboratorio, para ello, basta establecer la relación entre las velocidades finales del proyectil vpcm en el SR del c.m., la velocidad final del proyectil vp en el S.R. del Laboratorio y la velocidad constante del centro de masa vcm.

Como ya hemos mencionado, el proyectil antes y después de la dispersión tiene el mismo módulo de la velocidad en el S.R. del c.m, las direcciones de la velocidad inicial y final han cambiado solamente de dirección un ángulo F.

Sustituyendo en la última fórmula la velocidad del centro de masa vcm, y la velocidad final vpcm del proyectil medida en el S.R. del c.m, obtenemos la relación entre los ángulos de dispersión medidos en el S.R. del Laboratorio y en el SR del c.m.

Como el proyectil y el blanco forman un sistema aislado, la energía cinética total antes y después del proceso de dispersión se conserva.

El blanco se encuentra inicialmente en reposo, y como resultado de la dispersión retrocede. Para que se conserve la energía, el proyectil habrá de experimentar una disminución de su velocidad y energía cinética. Por tanto, como consecuencia del proceso de dispersión hay una transferencia de energía del proyectil al blanco.

En la figura anterior, tenemos que vpcm=vp-vcm. Los módulos de estos vectores están relacionados

La velocidad final del proyectil es la raíz positiva de ecuación de segundo grado en vp/v0.

En el caso especial de que mp=mb tenemos que vp/v0=cos Q.

Así para un ángulo de dispersión de Q=90º en el S.R. del Laboratorio lo que corresponde una dispersión de F=180º en el S.R. del c.m., se produce una transferencia máxima de energía y la partícula que retrocede (el blanco) adquiere toda la energía cinética inicial.

Esta transferencia de energía cinética mediante dispersión constituye el principio de los moderadores en las pilas de neutrones lentos. Los neutrones rápidos producidos en la fisión experimentan sucesivos procesos de dispersión hasta que su energía cinética se reduce. Los mejores moderadores son los elementos ligeros, idealmente el hidrógeno, aunque en la práctica se utilizan el deuterio (masa 2) y el carbono (masa 12).

 

Actividades

Se introduce

  • La energía cinética E de la partícula incidente, en el control de edición titulado Energía.
  • El parámetro de impacto b, en el control de edición titulado p. impacto
  • La masa de la partícula incidente mp (un número entero), en el control de edición titulado Masa proyectil
  • La masa del blanco la partícula incidente mb (un número entero).en el control de edición titulado Masa blanco.

Se elige entre dos posible opciones:

  • El observador situado en el centro de masa (S.R. del c.m.)
  • El observador fijo en el laboratorio (S.R. del Laboratorio)

Finalmente, se pulsa en el botón titulado Empieza.

El programa, traza las trayectorias del proyectil y del blanco y calcula los ángulos de dispersión. El programa interactivo compara la velocidad inicial de la partícula con la velocidad final. En ambos casos se supone que las partículas están suficientemente alejadas para considerar que su interacción mutua es despreciable.

Podemos observar que en el S.R. de c.m. el proceso de dispersión no cambia el módulo de la velocidad, aunque si cambia su dirección.

En el S.R. del laboratorio, la velocidad final del proyectil es menor que la inicial, y el blanco incrementa su velocidad debido a la interacción. Por tanto, en este S.R. hay un cambio tanto en el módulo como en la dirección de la velocidad de la partícula incidente.

Ejemplo 1:

Introduzcamos los siguientes datos

  • Energía cinética del proyectil E=0.75
  • Parámetro de impacto b=0.5
  • Masa del proyectil mp=1
  • Masa del blanco mb=1

Establecemos un Sistema de Unidades en el que k=1

La velocidad del proyectil en el S.R. del Laboratorio es

                     v0=1.22

La masa reducida m es

m =0.5

La energía cinética del proyectil en el S.R. del c.m. vale

                  Ecm=0.375

El ángulo de dispersión F en el S.R. del c.m. vale

               F =138.9º

El ángulo de dispersión medido en el Laboratorio vale

               Q =69.4º

Calculamos la velocidad del proyectil después de la dispersión, resolviendo la ecuación de segundo grado

vp=0.43 m/s.

Ejemplo 2:

Introduzcamos los siguientes datos

  • Energía cinética del proyectil E=0.75
  • Parámetro de impacto b=0.5
  • Masa del proyectil mp=1
  • Masa del blanco mb=50

La masa del blanco es mucho mayor que la masa del proyectil. Los resultados son

La velocidad del proyectil en el S.R. del Laboratorio es  v0=1.22

La masa reducida m es m =0.98

La energía cinética del proyectil en el S.R. del c.m. vale Ecm=0.735

El ángulo de dispersión F en el S.R. del c.m. vale F =107.3º

El ángulo de dispersión medido en el Laboratorio vale Q =106.2º

Calculamos la velocidad del proyectil después de la dispersión, resolviendo la ecuación de segundo grado

vp=1.19 m/s.

Las trayectorias que sigue el proyectil en el S.R. de c.m. y en el S.R. de laboratorio son parecidas. El ángulo de dispersión es aproximadamente el mismo. Estamos aproximadamente, en el caso de dispersión de una partícula por un centro fijo de fuerzas.

 

DispersionApplet aparecerá en un explorador compatible con JDK 1.1.