La radiación del cuerpo negro

prev.gif (1231 bytes)home.gif (1232 bytes)next.gif (1211 bytes)

Mecánica Cuántica

Experiencias relevantes
Parámetro de impacto y
ángulo de dispersión
Dispersión de partículas (I)
La estructura atómica
Dispersión de partículas (II)

El espectro
electromagnético
marca.gif (847 bytes)El cuerpo negro (I)
El cuerpo negro (II)
Ley de Stefan-
Boltzmann

El efecto fotoeléctrico
El efecto Compton
La cuantización de la 
energía
El espín del electrón
Difracción de micro-
partículas
Propiedades de la superficie de un cuerpo

El cuerpo negro

La radiación del cuerpo negro

java.gif (886 bytes)La ley del desplazamiento de Wien

java.gif (886 bytes)La ley de Stefan-Boltzmann

 

El término radiación se refiere a la emisión continua de energía desde la superficie de cualquier cuerpo, esta energía se denomina radiante y es transportada por las ondas electromagnéticas que viajan en el vacío a la velocidad de 3·108 m/s . Las ondas de radio, las radiaciones infrarrojas, la luz visible, la luz ultravioleta, los rayos X y los rayos gamma, constituyen las distintas regiones del espectro electromagnético.

 

Propiedades de la superficie de un cuerpo

Sobre la superficie de un cuerpo incide constantemente energía radiante, tanto desde el interior como desde el exterior, la que incide desde el exterior procede de los objetos que rodean al cuerpo. Cuando la energía radiante incide sobre la superficie una parte se refleja y la otra parte se transmite.

emite1.gif (4344 bytes) Consideremos la energía radiante que incide desde el exterior sobre la superficie del cuerpo. Si la superficie es lisa y pulimentada, como la de un espejo, la mayor parte de la energía incidente se refleja, el resto atraviesa la superficie del cuerpo y es absorbido por sus átomos o moléculas.

Si r es la proporción de energía radiante que se refleja, y a la proporción que se absorbe, se debe de cumplir que r+a=1.

emite2.gif (4188 bytes) La misma proporción r de la energía radiante que incide desde el interior se refleja hacia dentro, y se transmite la proporción a=1-r que se propaga hacia afuera y se denomina por tanto, energía radiante emitida por la superficie.

En la figura, se muestra el comportamiento de la superficie de un cuerpo que refleja una pequeña parte de la energía incidente. Las anchuras de las distintas bandas corresponden a cantidades relativas de energía radiante incidente, reflejada y transmitida a través de la superficie.

 

Comparando ambas figuras, vemos que un buen absorbedor de radiación es un buen emisor, y un mal absorbedor es un mal emisor. También podemos decir, que un buen reflector es un mal emisor, y un mal reflector es un buen emisor.

Una aplicación práctica está en los termos utilizados para mantener la temperatura de los líquidos como el café. Un termo tiene dobles paredes de vidrio, habiéndose vaciado de aire el espacio entre dichas paredes para evitar las pérdidas por conducción y convección. Para reducir las pérdidas por radiación, se cubren las paredes con una lámina de plata que es altamente reflectante y por tanto, mal emisor y mal absorbedor de radiación.

 

El cuerpo negro

emite3.gif (3517 bytes) La superficie de un cuerpo negro es un caso límite, en el que toda la energía incidente desde el exterior es absorbida, y toda la energía incidente desde el interior es emitida.

 

No existe en la naturaleza un cuerpo negro, incluso el negro de humo refleja el 1% de la energía incidente.

negro2.gif (2065 bytes) Sin embargo, un cuerpo negro se puede sustituir con gran aproximación por una cavidad con una pequeña abertura. La energía radiante incidente a través de la abertura, es absorbida por las paredes en múltiples reflexiones y solamente una mínima proporción escapa (se refleja) a través de la abertura. Podemos por tanto decir, que toda la energía incidente es absorbida.

 

La radiación del cuerpo negro

Consideremos una cavidad cuyas paredes están a una cierta temperatura. Los átomos que componen las paredes están emitiendo radiación electromagnética y al mismo tiempo absorben la radiación emitida por otros átomos de las paredes. Cuando la radiación encerrada dentro de la cavidad alcanza el equilibrio con los átomos de las paredes, la cantidad de energía que emiten los átomos en la unidad de tiempo es igual a la que absorben. En consecuencia, la densidad de energía del campo electromagnético existente en la cavidad es constante.

A cada frecuencia corresponde una densidad de energía que depende solamente de la temperatura de las paredes y es independiente del material del que están hechas.

negro1.gif (1593 bytes) Si se abre un pequeño agujero en el recipiente, parte de la radiación se escapa y se puede analizar. El agujero se ve muy brillante cuando el cuerpo está a alta temperatura, y se ve completamente negro a bajas temperaturas.

Históricamente, el nacimiento de la Mecánica Cuántica, se sitúa en el momento en el que Max Panck explica el mecanismo que hace que los átomos radiantes produzcan la distribución de energía observada. Max Planck sugirió en 1900 que

  1. La radiación dentro de la cavidad está en equilibrio con los átomos de las paredes que se comportan como osciladores armónicos de frecuencia dada f .
  2. Cada oscilador puede absorber o emitir energía de la radiación en una cantidad proporcional a f. Cuando un oscilador absorbe o emite radiación electromagnética, su energía aumenta o disminuye en una cantidad hf .

La segunda hipótesis de Planck, establece que la energía de los osciladores está cuantizada. La energía de un oscilador de frecuencia f sólo puede tener ciertos valores que son 0, hf , 2hf ,3hf ....nhf .

La distribución espectral de radiación es continua y tiene un máximo dependiente de la temperatura. La distribución espectral se puede expresar en términos de la longitud de onda o de la frecuencia de la radiación.

dEf /df es la densidad de energía por unidad de frecuencia para la frecuencia f de la radiación contenida en una cavidad a la temperatura absoluta T. Su unidad es (J·m-3)·s.

donde k es la constante de Boltzmann cuyo valor es k=1.3805·10-23 J/K.

dEl /dl es la densidad de energía por unidad de longitud de onda para la longitud de onda l de la radiación contenida en una cavidad a la temperatura absoluta T. Su unidad es (J·m-3)·m-1.

 

La ley del desplazamiento de Wien

La posición del máximo en el espectro de la radiación del cuerpo negro depende de la temperatura del cuerpo negro y está dado por la ley de desplazamiento de Wien. Calculando la derivada primera de la función de la distribución de Planck expresada en términos de la longitud de onda o de la frecuencia

Obtenemos la ecuación trascendente

Este resultado constituye la ley de desplazamiento de Wien, que establece que el máximo de la densidad de energía dEl /dl por unidad de longitud de onda a distintas temperaturas T1, T2, T3, .., se produce a las longitudes de onda l1, l2, l3...tales que

De modo similar en el dominio de las frecuencias

Obtenemos la ecuación trascendente

A medida que la temperatura T se incrementa el máximo se desplaza hacia longitudes de onda menores (mayores frecuencias).

Como podemos comprobar el producto

no nos da la velocidad de la luz c como se podría esperar a primera vista, ya que estamos tratando con el máximo de una distribución que nos da la intensidad por unidad de longitud de onda o por unidad de frecuencia.

La luminosidad de un cuerpo caliente no se puede explicar, como se indica en algunos textos, a partir de la ley del desplazamiento de Wien, sino a partir de la intensidad de la radiación emitida en la región visible del espectro, tal como veremos más abajo. Así, a temperaturas tan elevadas como 6000 K el máximo medido en el eje de frecuencias de la distribución espectral se sitúa en la región del infrarrojo cercano. Sin embargo, a esta temperatura una proporción importante de la intensidad emitida se sitúa en la región visible del espectro.

 

La ley de Stefan-Boltzmann

La intensidad (energía por unidad de área y unidad de tiempo) por unidad de longitud de onda para la longitud de onda l , de un cuerpo negro a la temperatura absoluta T, viene dada por la expresión.

Su unidad es (W·m-2)·m-1.

La intensidad (energía por unidad de área y unidad de tiempo) por unidad de frecuencia para la frecuencia f , de un cuerpo negro a la temperatura absoluta T, viene dada por la expresión.

Su unidad es (W·m-2)·s.

El applet realiza una representación gráfica de esta función en escala doblemente logarítmica. La intensidad por unidad de frecuencia en el eje vertical, y la frecuencia en el eje horizontal, para las temperaturas que se indican en la parte izquierda del applet.

Se muestra la parte visible del espectro en el centro, a la izquierda la región infrarroja y a la derecha la región ultravioleta del espectro. Se han señalado los máximos de las curvas y se ha trazado la recta que pasa por dichos puntos.

 

                  
 

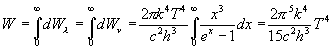
La intensidad total en W·m-2, de la radiación emitida por un cuerpo negro, se obtiene integrando la expresión anterior para todas las longitudes de onda (o frecuencias).

o bien

W=s ·T4, con s =5.670·10-8 (Wm-2K-4)

Esta expresión se conoce como ley de Stefan-Boltzmann. La energía emitida por un cuerpo negro por unidad de área y unidad de tiempo es proporcional a la cuarta potencia de la temperatura absoluta T.

Del mismo modo, integrando dEf/df para todas las frecuencias, podemos comprobar que la densidad de energía de la radiación contenida en una cavidad es proporcional a la cuarta potencia de la temperatura absoluta T de sus paredes. La constante de proporcionalidad vale s’=4s /c.

 

Intensidad de la radiación emitida en una región del espectro

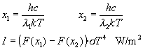
Vamos a calcular, la intensidad emitida por un cuerpo negro en una región del espectro comprendida entre las frecuencias f1 y f2, o entre las longitudes de onda l1=c/f1 y l2=c/f2

La fracción de la intensidad emitida en una región del espectro es el cociente entre la intensidad emitida en dicha región dividido por la intensidad total (ley de Stefan).

Esta fracción no depende de l o de T sino del producto l T. Esto quiere decir que por ejemplo la fracción de la intensidad emitida por un cuerpo negro en la región del espectro comprendida entre 0 y 10 mm a 1000º K es la misma que la fracción de la intensidad emitida en la región comprendida entre 0 y 5 mm a 2000º K.

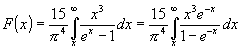
Para calcular la integral definida se ha de emplear un procedimiento numérico, por ejemplo el método de Simpson, o bien la aproximación que se explica a continuación.

Se define la función F(x) a

El término 1-e-x en el denominador se puede expresar como suma de potencias de e-x desarrollando el binomio (1-z)-1=1+z+z2+z3+z4+…

Integrando por partes obtenemos la siguiente expresión para F(x)

Un pequeño programa de ordenador, nos permite calcular el valor de F(x1) y de F(x2) y a partir de la diferencia el valor de fracción de la intensidad emitida por el cuerpo negro en una región dada del espectro comprendida entre dos longitudes de onda o entre dos frecuencias.

La intensidad total emitida en la región del espectro delimitada por las longitudes de onda l1 y l2 se obtiene

donde s ·T4 como se ha explicado, es la intensidad de la radiación emitida en todas las regiones del especto.

En la siguiente tabla, se proporcionan los datos acerca del tanto por ciento de la contribución de la radiación infrarroja, visible y ultravioleta a la radiación de un cuerpo negro a las temperaturas que se indican.

Temperatura (K) % infrarrojo %visible %ultravioleta
1000 99.999 7.367·10-4 3.258·10-11
2000 98.593 1.406 7.400·10-4
3000 88.393 11.476 0.131
4000 71.776 26.817 1.407
5000 55.705 39.166 5.129
6000 42.661 45.732 11.607
7000 32.852 47.506 19.641
8000 25.565 46.210 28.224
9000 20.154 43.247 36.599
10000 16.091 39.567 44.342

Fuente: Jain P. IR, visible and UV components in the spectral distribution of blackbody radiation. Phys. Educ. 31 pp. 149-155 (1996).

  • A baja temperatura prácticamente toda la radiación es infrarroja.
  • A muy alta temperatura la contribución de la radiación ultravioleta es cada vez mayor y la visible e infrarroja se hacen cada vez menores.
  • La contribución de la radiación visible alcanza un máximo aproximadamente a 7100º K.

Veamos ahora, la explicación del color aparente de un cuerpo caliente. Por ejemplo, a temperatura de 2000 K un cuerpo emite luz visible pero la intensidad en el extremo rojo (baja frecuencia, alta longitud de onda) del espectro visible es mucho mayor que la azul (alta frecuencia, baja longitud de onda) y el cuerpo aparece rojo brillante. A 3000 K, la temperatura aproximada de un filamento de una lámpara incandescente, la cantidad relativa de luz azul ha aumentado, pero predomina aún la componente roja. A 6000 K, que es aproximadamente la temperatura del Sol, la distribución es casi uniforme entre todas las componentes de la luz visible y el cuerpo aparece blanco brillante. Por encima de 10000 K se emite luz azul con mayor intensidad que roja y un cuerpo (estrella caliente) a esta temperatura se ve azul.

 

Actividades

Obtener la intensidad de la radiación emitida por un cuerpo negro a una temperatura dada en distintos intervalos de longitudes de onda. En la tabla se recogen los datos de las distintas regiones del espectro, la longitud de onda se da en mm (10-6 m).

 
Región del espectro Intervalo (mm)
(1) Infrarrojo lejano 1000-30
(2) Infrarrojo medio 30-3
(3) Infrarrojo cercano 3-0.78
(4) Visible 0.78-0.38
(5) Ultravioleta 0.38-0006
 
Visible Intervalo (mm)
Rojo 0.78-0.622
naranja 0.622-0.597
amarillo 0.597-0.577
verde 0.577-0.492
azul 0.492-0.455
violeta 0.455-0.38

Fuente: Alonso M, Finn E. Campos y Ondas. Fondo Educativo Interamericano (1970), págs 791-792

Se completará una tabla semejante a la siguiente. Anotando la intensidad (o la proporción) de la radiación emitida por un cuerpo negro en las distintas regiones del espectro y en todo el espectro a las siguientes temperaturas.

 

(1)

(2)

(3)

(4)

(5)

Todo

850 ºK            
1000 ºK            
1200 ºK            
             
             

Se introduce

  • la temperatura (K), en el control de edición titulado Temperatura
  • Se selecciona una región concreta del espectro o todo el espectro en el control de selección titulado Región del espectro.
  • Cuando se selecciona una región del espectro, por ejemplo, infrarrojo, se puede cambiar las longitudes de onda en mm (10-6 m), en los controles de edición titulados longitudes de onda desde ... a ... para calcular la intensidad de la radiación electromagnética en la región del espectro en la que estamos interesados.

Se pulsa el botón titulado Calcular.

Se puede cambiar la escala vertical en el control de selección para que las curvas sean visibles en el área de trabajo del applet.

En la parte superior derecha del applet, se muestra el valor calculado de la intensidad en W/m2 y muestra la fracción F(x1)-F(x2) (tanto por ciento) de la intensidad de la radiación emitida en la región del espectro seleccionada.