Dispersión de partículas alfa por un núcleo

prev.gif (997 bytes)home.gif (1232 bytes)next.gif (1211 bytes)

Mecánica Cuántica

Experiencias relevantes
Parámetro de impacto y
ángulo de dispersión
marca.gif (847 bytes)Dispersión de partículas (I)
La estructura atómica
Dispersión de partículas (II)

El espectro
electromagnético
El cuerpo negro (I)
El cuerpo negro (II)
Ley de Stefan-
Boltzmann

El efecto fotoeléctrico
El efecto Compton
La cuantización de la 
energía
El espín del electrón
Difracción de micro-
partículas
java.gif (886 bytes)Trayectoria de la partícula

java.gif (886 bytes)Relación entre parámetro de impacto y ángulo de dispersión

 

La ley de la Gravitación Universal describe la interacción entre cuerpos debido a su masa. La fuerza de atracción entre dos cuerpos es central y conservativa, su módulo es inversamente proporcional al cuadrado de la distancia que separa los centros de ambos cuerpos. Cuando se integra la ecuación diferencial que describe el movimiento de un cuerpo bajo la acción de dicha fuerza, se obtiene una trayectoria que es una cónica. El tipo de cónica depende signo de la energía total del cuerpo.

Trayectoria Energía
Elipse E<0
Parábola E=0
Hipérbola E>0

Los planetas describen elipses estando el Sol en uno de sus focos. El hecho de que la energía sea negativa se debe a que la energía potencial de una fuerza atractiva es negativa, y la energía cinética es menor que la energía potencial (el cuerpo está confinado).

La interacción eléctrica puede ser repulsiva o atractiva según que las cargas sean del mismo o distinto signo. La fuerza que describe la interacción eléctrica es central y conservativa, su módulo, de acuerdo a ley de Coulomb, es inversamente proporcional al cuadrado de la distancia que separa ambas cargas.

En este programa, estudiaremos la dispersión de partículas alfa (núcleos de helio) por el núcleo de un átomo, experiencia que condujo a la determinación de la estructura del átomo por el físico Rutherford. En general, la dispersión es de especial interés en física atómica y nuclear. Por ejemplo, cuando un protón, acelerado por un ciclotrón pasa cerca de un núcleo de un átomo del material que constituye el blanco, es desviado o dispersado debido a su repulsión con el núcleo.

En la página anterior, introdujimos el concepto de dispersión con ocasión del estudio del choque de un disco rígido contra un obstáculo puntual . En el modelo estudiado, el obstáculo ejerce una fuerza instantánea que cambia la dirección del disco de acuerdo con la ley de la reflexión. ángulo de dispersión, y la relación cualitativa entre ambas magnitudes.

El objetivo de esta página, es el de profundizar en el estudio del fenómeno de la dispersión, considerando las fuerzas repulsivas de largo alcance que ejerce el núcleo del átomo sobre las partículas alfa incidentes.

 

Trayectoria de la partícula

rutherford_1.gif (1741 bytes)

La fuerza de repulsión entre dos cargas Q y q del mismo signo es de acuerdo a la ley de Coulomb

Esta fuerza es conservativa, y la energía potencial Ep correspondiente es

Supongamos que Q es una carga fija y que una partícula de masa m y carga q se mueve en el campo creado por la carga Q.

Como la fuerza de repulsión es central y conservativa se cumple

  1. La energía total de la partícula cargada es constante

  1. El momento angular es constante

L=r´ mv

Que L sea constante en dirección y sentido quiere decir que la trayectoria de la partícula está contenida en un plano perpendicular a la dirección del momento angular.

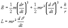
Expresamos la energía y el momento angular en coordenadas polares

Las ecuaciones de constancia del momento angular y de la energía constituyen un par de ecuaciones diferenciales en las que se puede eliminar el tiempo t. Para obtener la ecuación de la trayectoria r=r(q ) se integra la ecuación diferencial

El resultado es una hipérbola

Los valores de d y la excentricidad e en la ecuación de la hipérbola expresados en términos de la energía E y del parámetro de impacto b son, respectivamente.

Las condiciones iniciales son las de una partícula de masa m y carga q que se mueve a gran distancia del centro de fuerzas con velocidad v0, tal como se muestra en la figura.

Parámetro de impacto

El parámetro de impacto b es la distancia existente entre la dirección de la partícula incidente, cuando se encuentra muy alejada del centro de fuerzas, y el centro de fuerzas. En la figura, el parámetro de impacto b es la distancia entre la dirección de la velocidad v0, y la carga fija Q.

rutherford_2.gif (1781 bytes) El módulo del momento angular es

L=mv0·b

Y la energía total

En la figura, se representa la ecuación de la trayectoria, una hipérbola, que tiene dos asíntotas, dos rectas simétricas con respecto al eje X, que forman un ángulo qL con éste, cuyo valor es

e ·cosqL-1=0, o bien

rutherford_3.gif (2247 bytes)

A continuación, giramos la hipérbola en sentido antihorario un ángulo a =180-qL, mediante la siguiente transformación de coordenadas

x’=x·cosa -y·sena
y’=x·sena +y·cosa

rutherford_4.gif (2181 bytes)

El resultado es la trayectoria de la partícula cargada que se representa en la figura y en la que se ha señalado, el parámetro de impacto y el ángulo de dispersión.

Ángulo de dispersión

Cuando la partícula se aleja mucho del centro de fuerzas, sigue una trayectoria que tiende asintóticamente a una línea recta. El ángulo que forma dicha recta con el eje horizontal se denomina ángulo de dispersión.

El ángulo de dispersión vale F =180-2qL, es decir

Ejemplo:

Hemos establecido un sistema de unidades en el que k=1.

El ángulo de dispersión para E=0.5 y b=0.75 vale F =106.3º, como podemos comprobar en los programas interactivos.

 

Actividades

Se introduce

  • el parámetro de impacto b
  • la energía de la partícula E, un número positivo, ya que la fuerza es repulsiva.

Se pulsa el botón titulado Empieza

Se representa la hipérbola (en color azul) y la trayectoria de la partícula (hipérbola girada un ángulo 180-qL)

Calcular algunos ángulos de dispersión F y compararlos con los proporcionados por el programa interactivo.

 

DispersionApplet aparecerá en un explorador compatible con JDK 1.1.
                

Ejercicio

Usando el principio de conservación de la energía calcular la distancia mínima de aproximación de una partícula cargada, que choca de frente contra un núcleo atómico

Para hacer más simple el problema supondremos que la masa del núcleo es mucho mayor que la masa del proyectil.

Si la carga del núcleo es Q y la del proyectil es q. La energía total del proyectil es

Cuando el proyectil está a mucha distancia del núcleo, su velocidad es v0, y toda la energía es cinética. En el punto C de máximo acercamiento (véase la figura), la velocidad v es transversal (perpendicular a la dirección radial) de modo que el momento angular es L=mRv. La ecuación de la conservación de la energía en dicho punto de máximo acercamiento se escribe

Ecuación de segundo grado en 1/R que permite obtener R en función de la energía y del momento angular de la partícula.

Disper_11.gif (1391 bytes) Para una colisión de frente, L=0 y se despeja R

En una colisión frontal, la velocidad de la partícula en el punto de máximo acercamiento es cero, v=0

 

Relación entre parámetro de impacto y ángulo de dispersión

En el apartado anterior, hemos obtenido la relación cuantitativa entre el parámetro de impacto y el ángulo de dispersión para una energía E de la partícula cargada. Mediante el programa interactivo que viene a continuación, se puede establecer una relación cualitativa, observando las trayectorias de un número de partículas de la misma energía que inciden sobre el centro fijo de fuerzas con parámetros de impacto espaciados regularmente.

Se introduce

  • la energía de la partícula E, un número positivo, actuando en la barra de desplazamiento titulada Energía

Se pulsa el botón titulado Empieza

Se observa las trayectorias de las partículas que inciden sobre el centro  fijo de fuerzas

Cuando se han trazado todas las trayectorias, se pulsa el botón titulado Gráfica

Se representa en el eje vertical, el ángulo de dispersión Ф y en el eje horizontal, el parámetro de impacto b.

DispersionApplet aparecerá en un explorador compatible con JDK 1.1.