Ecuación de la trayectoria

prev.gif (997 bytes)home.gif (1232 bytes)next.gif (1211 bytes)

Dinámica celeste

Leyes de Kepler
El descubrimiento de
la ley de la gravitación
Fuerza central y
conservativa
marca.gif (847 bytes)Ecuación de la trayectoria
Solución numérica de
las ecuaciones
Trayectorias hiperbólicas
Órbita de transferencia
Encuentros espaciales
Trayectoria espiral
Encuentro de una sonda
espacial con Júpiter
Orbitas de la misma
energía
Trayectoria de un 
proyectil (I)
Trayectoria de un 
proyectil (II)
Movimiento relativo
Caída de un satélite en
órbita hacia la Tierra.
Los anillos de un planeta
Movimiento bajo una
fuerza central y una
perturbación
El problema de Euler
Viaje a la Luna
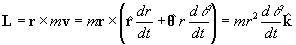
Posición y velocidad en coordenadas polares

La energía y el momento angular en coordenadas polares

Ecuación de la trayectoria

Tercera ley de Kepler

 

En esta página, vamos a deducir paso a paso la ecuación de la trayectoria de una partícula bajo la acción de una fuerza inversamente proporcional al cuadrado de la distancia.

Las fuerza de interacción gravitatoria y eléctrica son centrales y conservativas. Por tanto, la energía y el momento angular se mantienen constantes en todos los puntos de la trayectoria

 

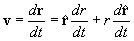
Posición y velocidad en coordenadas polares

polar_1.gif (1689 bytes)

La posición del punto P es

x=r·cosq
y=r·
senq

Expresamos la velocidad de la partícula en coordenadas polares

polar_2.gif (2122 bytes)

polar_3.gif (1745 bytes) Calculamos las componentes rectangulares de los vectores unitarios r y q .

vemos que

Las componentes del vector velocidad en coordenadas polares son, por tanto

 

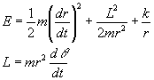
La energía y el momento angular en coordenadas polares

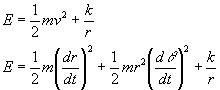
La expresión de la energía en coordenadas polares es

Donde k/r es la energía potencial correspondiente a la fuerza conservativa F=k/r2.

Con k=-GMm si la interacción es gravitatoria

si la interacción es de tipo eléctrico

  • k es negativo si la fuerza es atractiva
  • k es positivo si la fuerza es repulsiva

Expresamos el momento angular L en coordenadas polares

Despejamos dq /dt en la expresión del momento angular y la introducimos en la expresión de la energía. Tenemos dos ecuaciones

 

Ecuación de la trayectoria

Eliminamos dt entre estas dos ecuaciones para obtener la ecuación de la trayectoria

Para integrar se hace el cambio u=1/r

Tenemos una integral del tipo

con a=L2/(2m), b=k, c=E

Hacemos el cambio

Ahora, vamos deshaciendo los cambios

Hay dos posibles soluciones según el signo de b o de k.

Si k o b es positivo

Si k o b es negativo

  • La primera, es la ecuación de una hipérbola en coordenadas polares
  • La segunda, es la ecuación de una cónica (elipse, parábola o hipérbola) dependiendo del valor de la excentricidad e .

 

Tercera ley de Kepler

kepler_a1.gif (2032 bytes) La figura muestra un planeta que está describiendo una órbita alrededor del centro fijo de fuerzas S. la posición del planeta en el instante t viene dada por el vector r

En un pequeño intervalo de tiempo el planeta se desplaza v·dt. El área barrida por el radio vector r entre los instantes t y t+dt es el área de un triángulo

El momento angular del planeta es L=r´mv. Como la fuerza de atracción es central, el momento angular L permanece constante en módulo y dirección.

Mientras el radio vector barre el área de la elipse es A=p ab el planeta emplea un tiempo igual al periodo de revolución P. De modo que

P=2mp ab/L

A partir de esta relación vamos a obtener la tercera ley de Kepler.

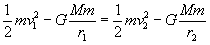
kepler_a2.gif (2136 bytes) En la figura tenemos que el momento angular L en los puntos de máxima proximidad y máximo alejamiento del planeta valen, respectivamente, L=mr2·v2= mr1·v1.

La energía total permanece constante en todos los puntos de la trayectoria.

Eliminado v1 y v2 en este par de ecuaciones tenemos

De la geometría de la elipse tenemos que

r1=a+c
r2=a-c

siendo c la semidistancia focal. La relación entre los semiejes mayor a y menor b de la elipse es a2-b2=c2. Por lo que el producto r1·r2=b2

El módulo del momento angular L se expresa en términos de los semiejes a y b de la elipse

Introduciendo el valor de L en la fórmula del periodo P obtenemos la tercera ley de Kepler.