La rueda de Maxwell

prev.gif (1231 bytes)home.gif (1232 bytes)next.gif (1211 bytes)

Sólido rígido

Movimiento general
de un sólido rígido
Composición de
movimientos
marca.gif (847 bytes)La rueda de Maxwell
Equilibrio 
rotación-traslación(I)
Fuerza sobre una 
rueda
Rodando por
un plano inclinado
Equilibrio 
rotación-traslación(III)
Deformaciones de
la rueda y el plano
Desplazando el 
plano sobre el que 
se apoya la rueda
Choque frontal de
dos esferas.
Percusión en una
bola de billar
Movimiento de una 
esfera en un
plano horizontal
Choque de dos 
bolas de billar
Dinámica

Principio de conservación de la energía

Rebote cuando llega al final de la cuerda

java.gif (886 bytes) Actividades

 
disco2.gif (1597 bytes) Una cuerda está enrollada a un disco de masa m y radio r. Se sujeta la cuerda por su extremo y se suelta el disco. Veremos como el disco cae a la vez que va girando sobre su eje. El movimiento del disco es similar al de un juguete popular hace años denominado "yo-yo", o a la denominada rueda de Maxwell, que se usa en una práctica de laboratorio para comprobar la conservación de la energía.

Si medimos el tiempo que tarda en caer una determinada distancia, veremos que es superior al que tarda un objeto en caer libremente la misma distancia. Examinaremos en esta página con detalle el movimiento del disco.

 

Dinámica

disco.gif (1863 bytes) Las fuerzas que actúan sobre el disco son dos: el peso que actúa en el centro del disco, y la tensión de la cuerda que actúa en la periferia.

Las ecuaciones del movimiento son

  • Movimiento de traslación del centro de masa

mg-T=mac

  • Movimiento de rotación alrededor de un eje que pasa por el centro de masas

T·r=Ica

  • Relación entre las aceleraciones en el movimiento de traslación ac y en el movimiento de rotación a .

ac=a r

Para un disco de masa m y radio r, el momento de inercia Ic=mr2/2. Con este dato calculamos la aceleración ac.

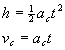
Por medio de las ecuaciones del movimiento rectilíneo uniformemente acelerado calculamos la velocidad y el tiempo que tarda el disco en caer una altura h, partiendo del reposo.

La velocidad final es independiente de la masa y del radio del disco.

 

Principio de conservación de la energía

disco1.gif (2434 bytes) Para aplicar el principio de conservación de la energía comparamos la situación inicial, el disco está en reposo con la situación final, el disco ha descendido una altura h. En la situación final, el centro de masas del disco se mueve con velocidad vc y gira alrededor de un eje que pasa por el centro de masas con velocidad angular w .

La energía potencial del disco ha disminuido en la cantidad mgh.

La energía cinética del disco ha aumentado en

El principio de conservación de la energía se escribe

La relación entre las velocidades en los movimientos de traslación vc del c.m. del disco y de rotación w es

vc=w r

Despejando vc obtenemos el mismo resultado.

 

Rebote cuando llega al final de la cuerda

Cuando el disco alcanza el final de la cuerda tiene una momento lineal mv dirigido hacia abajo. El movimiento hacia abajo se detiene y se invierte gracias a la elasticidad de la cuerda, cuyo papel es similar al de una superficie horizontal contra la que choca el disco. El tiempo t que tarda el disco en invertir el sentido de la velocidad de su centro de masas es muy pequeño.

La energía cinética de traslación del disco se convierte en energía elástica de la cuerda que se ha alargado inapreciablemente. Esta energía es devuelta al disco como energía cinética de traslación asociada con el movimiento vertical hacia arriba de su c.m., cuando la cuerda recupera su longitud normal sin deformar. La energía cinética de rotación no cambia, ya que la velocidad angular de rotación no cambia de sentido.

disco3.gif (3019 bytes)

Para que el disco cambie su momento lineal de mv a –mv es necesario una fuerza f(t) intensa que actúa durante un tiempo muy corto t. El impulso, área sombreada en la figura es igual a la variación de momento lineal

Como vemos en la figura, la tensión de la cuerda T es constante y aumenta bruscamente durante el pequeño intervalo de tiempo t .

Las ecuaciones que hemos empleado para describir el movimiento descendente del disco, son válidas para describir su ascenso, solamente hemos de observar que:

  • La energía cinética (de rotación y de traslación) del disco disminuye y aumenta la energía potencial del c.m. del disco. La energía total se mantiene constante.
  • La tensión de la cuerda T ejerce un momento T·r que se opone al movimiento de rotación del disco.
  • La resultante de las fuerzas que actúan sobre el disco mg-T se opone al movimiento de traslación del c.m.

 

Actividades

Se introduce

  • La masa m del disco, en el control de edición titulado Masa
  • El radio r del disco, en el control de edición titulado radio..

Se pulsa en el botón titulado Nuevo.

Se pulsa el botón titulado Empieza para poner en movimiento el disco.

Se mide el tiempo que tarda en caer una determinada altura. A partir de este dato, se calcula la velocidad de traslación del disco. Se comprueba, que este valor es independiente de la masa y el radio del disco.

Se empleará los botones Pausa para parar el movimiento y Paso, para acercarnos paso a paso a la posición deseada. Se pulsa el botón titulado Continua para proseguir el movimiento normal.

En la simulación se representa la energía mediante un diagrama de barras. La energía potencial en color gris, la energía cinética de traslación del c.m. en color azul, y la energía cinética de rotación del disco en color rojo. Cuando disminuye la energía potencial aumenta la energía cinética, y cuando aumenta la energía potencial disminuye la energía cinética. La energía cinética de rotación es la tercera parte de la energía cinética total.

 

stokesApplet aparecerá en un explorador compatible con JDK 1.1.