Equilibro entre el movimiento de traslación y el movimiento de rotación (I)

prev.gif (1231 bytes)home.gif (1232 bytes)next.gif (1211 bytes)

Sólido rígido

Movimiento general
de un sólido rígido
Composición de
movimientos
La rueda de Maxwell
marca.gif (847 bytes)Equilibrio 
  rotación-traslación(I)
Fuerza sobre una 
rueda
Rodando por
un plano inclinado
Equilibrio 
rotación-traslación(II)
Deformaciones de
la rueda y el plano
Desplazando el 
plano sobre el que 
se apoya la rueda
Choque frontal de
dos esferas.
Percusión en una
bola de billar
Movimiento de una 
esfera en un
plano horizontal
Choque de dos 
bolas de billar
Ecuaciones de la dinámica

Condición de rodar (sin deslizar)

Balance energético

java.gif (886 bytes)Actividades

 

Para ilustrar el papel de la fuerza de rozamiento en el movimiento de rodar, vamos a considerar la siguiente situación.

Como se muestra en la figura, una rueda está girando con velocidad angular w0 alrededor de su eje. Cae sobre un plano horizontal, desliza durante algún tiempo y luego, rueda sin deslizar. Determinar la velocidad final vf de su centro de masas y si depende o no del coeficiente de fricción m entre el plano y la rueda.

Planteamos el problema de modo general. Un disco perfectamente rígido de masa m y de radio R que rueda sobre una superficie horizontal perfectamente rígida. Su velocidad inicial de traslación de su centro de masa v0 y la velocidad angular inicial de rotación alrededor de un eje que pasa por su centro de masa w0. Determinar la velocidad angular w, y la velocidad de su centro de masas v, cuando el disco rueda sin deslizar v=w·R.

 

Ecuaciones de la dinámica

La única fuerza que actúa sobre el disco es la fuerza de rozamiento Fr en el punto P de contacto con el plano horizontal

Fr=m N=m mg

La velocidad del punto P en un instante cualquiera es

vP=vc-w ·R

La dirección de la fuerza de rozamiento es opuesta a la dirección de la velocidad en P, vP.

Hay dos posibles casos:

  • v0>w0·R, la fuerza de rozamiento apunta hacia la izquierda
  • v0<w0·R, la fuerza de rozamiento apunta hacia la derecha.

 

Primer caso, v0>w0·R

La fuerza de rozamiento apunta hacia la izquierda. La ecuaciones del movimiento serán

rodar.gif (2612 bytes)
  • Movimiento de traslación del c.m.

m·ac=-Fr

  • Movimiento de rotación alrededor de un eje que pasa por el c.m.

Ica =Fr·R

El momento de inercia del disco Ic respecto de un eje perpendicular al disco y que pasa por su centro es

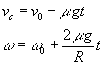
Resolviendo estas dos ecuaciones

La velocidad de traslación del c.m. vc disminuye, aumenta la de rotación w .

La velocidad del punto P del disco en contacto con el plano horizontal es

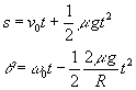
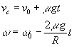
vP=vc-w ·R=(v0-w 0·R)-3m gt

El movimiento de rodar (sin deslizar) se establece cuando vP=0, es decir en el instante

 El desplazamiento s del c.m. y el desplazamiento angular q, ángulo girado por el disco en el tiempo t son respectivamente

 

Segundo caso, v0<w0·R

La fuerza de rozamiento apunta hacia la derecha. Las ecuaciones del movimiento serán

rodar1.gif (2544 bytes)
  • Movimiento de traslación del c.m.

M·ac=Fr

  • Movimiento de rotación alrededor de un eje que pasa por el c.m.

Ica =-Fr·R

Resolviendo estas dos ecuaciones

La velocidad de traslación del c.m. vc aumenta, la velocidad de rotación w disminuye

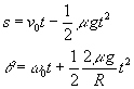
La velocidad del punto P del disco en contacto con el plano horizontal es

vP=vc-w ·R=(v0-w 0·R)+3m gt

El movimiento de rodar (sin deslizar) se establece cuando vP=0, es decir en el instante

El desplazamiento s del c.m. y el desplazamiento angular q, ángulo girado por el disco en el tiempo t son respectivamente

 

Condición de rodar (sin deslizar)

Como podemos apreciar las velocidades finales en el momento en el que se alcanza el estado de movimiento de rodar (sin deslizar) son independientes del coeficiente m de la fuerza de rozamiento.

En el momento en el que se cumple la condición vc=w ·R, la fuerza de rozamiento desaparece y el disco comienza una segunda etapa en su movimiento caracterizada por la constancia de la velocidad de traslación del c.m, vc y de la velocidad de rotación w .

 

Balance energético

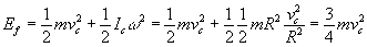
La energía inicial del disco es

La energía final del disco es

Calculamos la diferencia entre la energía final y la inicial, e introducimos en la segunda expresión el valor hallado de vc en el instante t en el que el disco rueda (sin deslizar).

Calculamos ahora el trabajo realizado por la fuerza de rozamiento

  • Primer caso, v0>w0·R

La fuerza de rozamiento se opone al movimiento de traslación y favorece el movimiento de rotación

W=-Fr·s+Mr·q =-mm g(s-Rq )

Calculamos los valores de s y q en el instante t en el que el disco rueda (sin deslizar) y comprobamos después de hacer algunas operaciones que

W=Ef-Ei

  • Segundo caso, v0<w0·R

La fuerza de rozamiento favorece el movimiento de traslación y se opone al movimiento de rotación

W=Fr·s-Mr·q =-mm g(-s+Rq )

Calculamos los valores de s y q en el instante t en el que el disco rueda (sin deslizar) y comprobamos después de hacer algunas operaciones que

W=Ef-Ei

 

Actividades

Se introduce:

  • Velocidad inicial de traslación del c.m. v0 (un número positivo), en el control de edición titulado v. traslación
  • Velocidad inicial de rotación alrededor de un eje que pasa por el c.m. w0 (un número positivo o negativo),  en el control de edición titulado v. rotación
  • El coeficiente m de la fuerza de rozamiento por deslizamiento,  en el control de edición titulado Coeficiente de rozamiento
  • El radio R del disco está fijado por el programa interactivo en R=1

Se pulsa el botón titulado Empieza.

Observamos el movimiento del disco. Con flechas de color rojo se representan, la velocidad del cm. vc en cada instante, y la velocidad del punto P de contacto entre el disco y el plano horizontal vP.

La velocidad vP puede ser inicialmente positiva o negativa dependiendo de que  v0>w0·R ó v0<w0·R. Al cabo de un cierto tiempo t la velocidad vP se hace cero y el disco rueda (sin deslizar), se cumple entonces vc=w R.

En la parte superior derecha del applet, se muestran los siguientes datos:

  • Tiempo t
  • Velocidad angular de rotación w
  • Velocidad de traslación del c.m. vc
  • Velocidad del punto P de contacto del disco con el plano horizontal vP

En la parte superior del applet, se representa en la misma gráfica en función del tiempo t

  • En color azul la velocidad w de rotación
  • En color rojo la velocidad vc¸ de traslación

Observaremos, que dependiendo de que v0>w0·R ó v0<w0·R, una de las velocidades se incrementa y la otra disminuye hasta que adquieren un valor común después de un tiempo t.

En la parte superior izquierda se representa el diagrama de energías.

  1. La energía inicial dividida en dos sectores angulares
  • El sector azul es la energía cinética de rotación
  • El sector rojo es la energía cinética de traslación
  1. La energía en cada instante dividida en dos sectores
  • El sector azul claro es la energía cinética de rotación
  • El sector rosa es la energía cinética de traslación

Después de un cierto tiempo t en el que el disco rueda (sin deslizar) la energía cinética de rotación es la tercera parte de la energía total, tal como hemos demostrado en el apartado balance energético. La energía cinética de rotación final está representada por un sector de 120º, mientras que la de traslación está representada por un sector de 240º.

Podemos observar también, que la energía inicial es mayor que la final, la diferencia se pierde como trabajo de la fuerza de rozamiento.

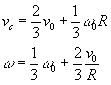
  1. Comprobar que la velocidad final de traslación del c.m. del disco viene dada por

  1. Comprobar que el tiempo t que tarda en alcanzarse esta velocidad es

  1. Que a partir de dicho instante se cumple la condición de rodar (sin deslizar)

vc=w R.

stokesApplet aparecerá en un explorador compatible con JDK 1.1.