Percusión en una bola de billar

prev.gif (1231 bytes)home.gif (1232 bytes)next.gif (1211 bytes)

Sólido rígido

Movimiento general
de un sólido rígido
Composición de
movimientos
La rueda de Maxwell
Equilibrio
rotación-traslación(I)
Ferza sobre una 
rueda
Rodando por
un plano inclinado
Equilibrio 
rotación-traslación(II)
Deformaciones de
la rueda y el plano
Desplazando el 
plano sobre el que 
se apoya la rueda
Choque frontal de
dos esferas.
marca.gif (847 bytes)Percusión en una
  bola de billar
Movimiento de una 
esfera en un
plano horizontal
Choque de dos 
bolas de billar
Movimiento de la bola con sobregiro

Movimiento de la bola con contragiro

Percusión en el centro de la bola

java.gif (886 bytes)Actividades

Referencias

 

En esta página, se estudia el movimiento de una bola de billar sobre la superficie plana de un tapiz sometida a un impacto o percusión localizada en un punto del plano vertical que pasa por el centro de la bola. Supondremos que el tiempo de impacto es muy pequeño.

La fuerza de la colisión con el taco determina la velocidad inicial de traslación de la bola. Por otro lado, el taco genera un momento que produce una velocidad inicial de rotación alrededor del centro de la bola de billar.

 

Movimiento de la bola con sobregiro

En la figura, observamos todas las fuerzas que actúan sobre la bola de billar cuando el taco golpea la bola a una altura h por encima del tapiz.

  • La fuerza F que actúa sobre el punto B y forma un ángulo F =f +q con la vertical.
  • El peso mg que actúa en el centro de la bola.
  • La reacción del plano horizontal que actúa en el punto de contacto A y vale

NA=mg+FcosF

  • El rozamiento por deslizamiento en A que vale

RA=mANA

La fuerza de rozamiento RA se opone a la velocidad en el punto A, puede estar en el sentido indicado o en sentido contrario según que la velocidad de A sea negativa o positiva.

La fuerza F que actúa en B se puede descomponer en otras dos, una componente en la dirección radial NB y otra en la dirección tangencial RB. Ambas están relacionadas

RB=mBNB con mB=tanf

Donde mB es el coeficiente dinámico de rozamiento entre el taco y la bola, el cual puede ser modificado a voluntad por el jugador con la tiza.

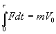
Conociendo las fuerzas que actúan sobre la bola y el tiempo t que actúan sobre la misma podemos determinar la velocidad inicial de traslación V0 del c.m. y la velocidad inicial de rotación w0. Las ecuaciones del impulso lineal y del impulso angular se escriben

Donde RB=F·senf . Vamos a suponer que durante el breve intervalo de tiempo t que dura el impacto, se puede despreciar el rozamiento RA de la bola con el tapiz, frente a la componente horizontal senF de la fuerza que ejerce el taco, con tal que el rozamiento RB del taco y la bola sea suficientemente grande y el golpe no sea demasiado alto hà 2r. Bajo estas condiciones las ecuaciones del impulso lineal y angular se convierten en

El impulso de la fuerza F es la cantidad desconocida que eliminamos de ambas ecuaciones. Para una esfera de masa m y radio r, el momento de inercia Ic=2mr2/5. La relación entre las velocidades iniciales de traslación del c.m.V0 y de rotación alrededor de un eje que pasa por el c.m. w0 es

Teniendo en cuenta que mB=tgf , F =f +q , y que la altura h y el ángulo q están relacionados por . La siguiente expresión relaciona las velocidades iniciales de traslación y rotación de la bola de billar

donde hemos puesto b =cosq  para simplificar la expresión final.

La velocidad inicial del punto de contacto A entre la bola y el tapiz se puede obtener sumando la velocidad correspondiente al movimiento de traslación con la velocidad correspondiente al movimiento de rotación

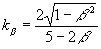
Esta velocidad es positiva (negativa) según que mB sea menor (mayor) que el parámetro kβ definido por

Una vez establecidas las condiciones iniciales del movimiento con sobregiro, veamos el movimiento en ausencia de la fuerza F de impacto del taco con la bola.

Consideremos estos dos casos:

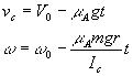
La velocidad inicial del punto de contacto A de la bola con el tapiz es negativa

La fuerza de rozamiento RA será positiva.

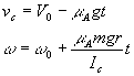
Las ecuaciones del movimiento de traslación del c.m. y de rotación alrededor de un eje que pasa por el c.m. son:

mac=RA
Ica =-rRA

Con NA=mg, y RA=mANA

La velocidad del c.m. crece y la velocidad de rotación decrece

La velocidad del punto de contacto A viene dada por VA=vc-w r y llegará un momento que se anule a partir del cual la bola de billar rodará sin deslizar con velocidad constante.

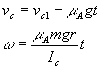
La velocidad inicial del punto de contacto A de la bola con el tapiz es positiva

La fuerza de rozamiento RA será negativa

Como hay dos movimientos uno de rotación y otro de traslación habrá que plantear dos ecuaciones

mac=-RA
Ica =rRA

Con NA=mg, y RA=mANA

La velocidad del c.m. decrece y la velocidad de rotación crece

La velocidad del punto de contacto A viene dada por VA=vc-w r y llegará un momento que se anule a partir del cual la bola de billar rodará sin deslizar con velocidad constante.

 

Ejemplo

Como vemos en las fórmulas la velocidad final de la bola, no depende directamente del radio de la bola sino de un parámetro adimensional .

Datos fijados en el programa interactivo

Radio de la esfera r 5 mm
Velocidad inicial V0 1 m/s
Coeficiente de rozamiento (bola-tapiz) mA 0.2
  • Velocidad inicial de A negativa

Datos introducidos por el usuario.

Coeficiente de rozamiento (taco-bola) m B 0.6
Altura del taco sobre el suelo h 7 mm

En este caso b =0.4, y mB>kb =0.43

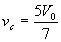
Estamos en el caso que (VA)0 es negativa. El tiempo que tarda en rodar sin deslizar es de 0.043 s. Y la velocidad final constante del c.m. es de 1.08 m/s.

  • Velocidad inicial de A positiva

Datos introducidos por el usuario

Coeficiente de rozamiento (taco-bola) m B 0.3
Altura del taco sobre el suelo h 7 mm

En este caso b =0.4, y mB<kb =0.43 

Estamos en el caso que (VA)0 es positiva. El tiempo que tarda en rodar sin deslizar es de 0.040 s. Y la velocidad final constante del c.m. es de 0.92 m/s.

 

Movimiento de la bola con contragiro

El planteamiento es similar al movimiento de la bola con sobregiro. Sin embargo, hay algunas diferencias

La reacción del tapiz en A es

NA=mg-FcosФ, con  F =f +q

Para impactos grandes se puede hacer que la bola abandone el tapiz. En lo sucesivo supondremos que NA es positivo, y que este caso no sucede.

La velocidad en el punto de contacto A de la bola con el tapiz es siempre positiva

Aplicando las ecuaciones del impulso lineal y del impulso angular y suponiendo que la fuerza de rozamiento RA es pequeño frente a la componente horizontal de la fuerza de impacto durante el breve periodo t que dura el contacto del taco con la bola, obtenemos la relación entre la velocidad inicial del c.m. y la velocidad angular inicial de rotación alrededor de un eje que pasa por el c.m.

y a continuación, la velocidad inicial del punto de contacto A de la bola con el tapiz

ahora el parámetro b vale , ya que h es menor que r.

Estas ecuaciones son válidas salvo en el caso de que los golpes muy bajos hà 0.

Una vez establecidas las condiciones iniciales del movimiento con contragiro, veamos el movimiento en ausencia de la fuerza F de impacto del taco con la bola.

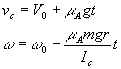
Se anula la velocidad angular

Las ecuaciones del movimiento de traslación del c.m. y de rotación alrededor de un eje que pasa por el c.m. son:

mac=-RA
Ica =-rRA

Con NA=mg, y RA=mANA

La velocidad del c.m. decrece y la velocidad de rotación también decrece

Aquí surgen dos posibilidades que vc se anule antes que w o bien, que w se anule antes que vc. Normalmente, se anula w antes que vc de modo que la bola no retrocede.

La velocidad angular se hace cero w =0 en el instante

en dicho instante la velocidad del c.m. es

Se establece el movimiento de rodar sin deslizar

En el momento en que se anula la velocidad angular de rotación, la velocidad del centro de masas y la velocidad del punto de contacto A de la bola con el tapiz se igualan. A partir de ese instante, la fricción RA entre la bola y el tapiz hace que aparezca una velocidad angular de rotación.

Las ecuaciones del movimiento de traslación y de rotación son

mac=-RA
Ica =rRA

Para t>t1 las velocidades de traslación del c.m. y de rotación alrededor de un eje que pasa por el c.m. serán, respectivamente

Como vc disminuye y w aumenta llegará un momento en el que la velocidad del punto de contacto A, VA=vc-w r se anule, en dicho instante la rueda comienza a rodar sin deslizar con velocidad constante

 

Ejemplo

La fórmula la velocidad final de la bola, no depende directamente del radio r de la bola sino de un parámetro adimensional

Datos fijados en el programa interactivo

Radio de la esfera r 5 mm
Velocidad inicial V0 1 m/s
Coeficiente de rozamiento (bola-tapiz) mA 0.2

Datos introducidos por el usuario.

Coeficiente de rozamiento (taco-bola) mB 0.3
Altura del taco sobre el suelo h 2 mm

En este caso b =0.6

La velocidad angular de rotación se hace cero en el instante 0.156 s. La velocidad de traslación es de 0.69 m/s.

Luego, vuelve a incrementarse la velocidad angular de rotación (pero en sentido contrario) hasta que la velocidad del punto A de contacto de la bola con el tapiz se hace cero y la bola rueda sin deslizar.

El tiempo total que transcurre es de 0.257 s y el c.m. alcanza una velocidad constante de 0.50 m/s.

 

Impacto en el centro de la bola

Cuando se el taco impacta en posición h=r, la fuerza F que actúa sobre la bola es horizontal.

De nuevo suponemos que la fuerza de rozamiento RA es despreciable frente a la fuerza F que actúa sobre la bola.

El momento de dicha fuerza F respecto del c.m. es cero, por tanto la bola no tiene velocidad angular inicial.

De la ecuación del impulso lineal obtendríamos la velocidad V0 del c.m. de la bola si conociéramos la fuerza F y el tiempo t que actúa sobre la misma.

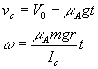
La bola se mueve con una velocidad inicial de traslación V0, la fuerza de rozamiento en el punto de contacto entre la bola y el tapiz hace que esta gire y por tanto disminuya la velocidad en el punto de contacto A de la bola con el tapiz.

Las ecuaciones del movimiento de traslación del c.m. y de rotación alrededor de un eje que pasa por el c.m. son:

mac=-RA
Ica =rRA

Con NA=mg, y RA=mANA

La velocidad del c.m. disminuye y la velocidad angular de rotación aumenta.

Al cabo de un cierto tiempo t, la velocidad del punto A se hace cero, y la bola rueda sin deslizar con velocidad constante.

vA es cero en el instante ,

En dicho instante la velocidad constante del c.m. es

 

Ejemplo

Datos fijados en el programa interactivo

Radio de la esfera r 5 mm
Velocidad inicial V0 1 m/s
Coeficiente de rozamiento (bola-tapiz) mA 0.2

Datos introducidos por el usuario

Coeficiente de rozamiento (taco-bola) mB No influye
Altura del taco sobre el suelo h 5 mm

La velocidad del punto de contacto A de la bola con el suelo se hace cero en el instante t=0.145 s. A partir de este instante, la bola rueda sin deslizar con velocidad constante vc=0.71 m/s.

 

Actividades

Se introduce

  • Coeficiente de rozamiento (taco-bola) mB, actuando en la barra de desplazamiento titulada Coef. Rozamiento
  • La altura del taco sobre el suelo h, actuando en la barra de desplazamiento titulada Altura
  • El radio de la esfera se ha fijado en r=5 mm
  • La velocidad inicial de traslación del c.m. en V0=1 m/s
  • El coeficiente de rozamiento (bola-tapiz) mA=0.2

Se pulsa el botón titulado Empieza

Observar el movimiento de traslación del c.m. y de rotación alrededor de un eje que pasa por el c.m. de la bola de billar

Una flecha nos muestra la velocidad del punto de contacto de la bola de billar con el tapete. Cuando la velocidad de este punto es cero, la bola de billar rueda sin deslizar con velocidad constante.

stokesApplet aparecerá en un explorador compatible con JDK 1.1.

 

Referencias

Jiménez F. Mecánica del billar I: Movimiento de la bola sobre el tapiz. Revista Española de Física. V-3, nº 1, 1989, págs. 31-41