Reflexión y transmisión de ondas.

prev.gif (1231 bytes)home.gif (1232 bytes)next.gif (1211 bytes)

Movimiento ondulatorio

Propagación de un
movimiento ondulatorio
Descripción de la
propagación
Movimiento ondulatorio
armónico
Medida de la velocidad
del sonido
Ondas transversales en
una cuerda
Ondas estacionarias (I)
Vibraciones barra
Ondas estacionarias (II)
Ondas longitudinales
en una barra elástica
marca.gif (847 bytes)Reflexión y transmisión
  de ondas
Ley de Snell de la 
refracción
Espejismos
Ondas incidente, reflejada y trasmitida

Relación entre las amplitudes de la onda incidente, reflejada y trasmitida

java.gif (886 bytes) Actividades

Referencias

 

Un movimiento ondulatorio que incide sobre la superficie que separa dos medios de distintas propiedades mecánicas, ópticas, etc., en parte se refleja y en parte se transmite.

La velocidad de propagación de las ondas cambia al pasar de un medio a otro, pero no cambia la frecuencia angular w.

Supongamos que un movimiento ondulatorio se propaga a lo largo de dos cuerdas, la cuerda de la izquierda tiene una densidad lineal m1 y la cuerda de la derecha tiene una densidad lineal m2.

cuerda.gif (735 bytes)

El movimiento ondulatorio transversal se propaga en ellas con velocidades, respectivamente, de

Siendo T la tensión de las cuerdas.

Ondas incidente, reflejada y trasmitida

Situamos el origen en el punto de unión de las cuerdas. A la izquierda del origen tenemos una onda armónica incidente cuyo número de onda es k1 tal que k1v1=w , que se propaga de izquierda a derecha.

Yi=Y0i·sen (w t-k1x)

y una onda reflejada que se propaga con la misma velocidad de derecha a izquierda

Yr=Y0r·sen (w t+k1x)

Y=Y0·sen (w t-kx) es una forma alternativa de expresar la ecuación de una onda armónica conveniente para este ejemplo.

En la segunda cuerda, tenemos una onda transmitida que se propaga de izquierda a derecha y cuyo número de onda es k2 tal que k2v2=w .

Yt=Y0t·sen (w t-k2x)

A la izquierda del origen, tenemos la superposición de dos movimientos ondulatorios, el incidente más el reflejado, Y1=Y i+Y r

A la derecha del origen, solamente tenemos movimiento ondulatorio correspondiente a la onda transmitida, Y2=Y t

Relación entre las amplitudes de la onda incidente, reflejada y trasmitida

En el punto de discontinuidad o de unión de ambas cuerdas, el origen, x=0, el desplazamiento vale Y1=Y2, es decir

Y0i·sen (w t)+Y0r·sen (w t)=Y0t·sen (w t)

Simplificando

Y0i+Y0r=Y0t

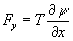
Al estudiar las ondas transversales en una cuerda obtuvimos la expresión de la fuerza vertical Fy en cualquier punto de la cuerda.

La fuerza Fy en cualquier punto de la cuerda cuando se propaga una onda armónica es

En el origen x=0 se cumple

k1(-Y0i+Y0r)=-k2Y0t

Desde el punto de vista matemático decimos, que en el punto de discontinuidad situado en el origen, la función que describe el movimiento ondulatorio debe ser continua y también  lo debe ser su derivada primera. Una situación análoga la encontraremos en Mecánica Cuántica al estudiar el escalón de potencial.

Tenemos dos ecuaciones, que nos permiten relacionar la amplitud de la onda reflejada Y0r y transmitida Y0t en términos de la amplitud de la onda incidente Y0i

Expresando el número de onda k1 y k2 en términos de las velocidades de propagación respectivas v1 y v2

 

Actividades

En el siguiente applet se representan dos cuerdas unidas en el origen. En la primera región de color blanco, tenemos la superposición Y1 del movimiento ondulatorio incidente, y reflejado dibujados en una línea de color azul. En la segunda región de color rosa, tenemos el movimiento ondulatorio transmitido Y2 dibujado por una línea de color azul. Podemos observar que en el punto de discontinuidad, el origen, la función que describe el movimiento ondulatorio es continua y también su derivada primera.

Asimismo, se representa en la región de la izquierda, el movimiento ondulatorio incidente y reflejado, en los colores que se indican en la parte inferior del applet.

Observamos que la onda transmitida siempre está en fase con la onda incidente. Sin embargo, la onda reflejada puede estar en fase o en oposición de fase dependiendo de que la velocidad de propagación en el segundo medio v2 sea mayor que en el primero v1 o al contrario.


Se introduce

  • La frecuencia del movimiento ondulatorio, en el control de edición titulado Frecuencia. Esta magnitud no cambia al propagarse un mismo movimiento ondulatorio por distintas medios.
  • La velocidad de propagación de las ondas en el medio1 (a la izquierda), en el control de edición titulado V. medio1
  • La velocidad de propagación de las ondas en el medio2 (a la derecha), en el control de edición titulado V. medio2

Se pulsa el botón titulado Empieza

Se pulsa el botón titulado Pausa para detener momentáneamente la animación y medir las longitudes de onda de la onda incidente, reflejada y trasmitida. Se pulsa el mismo botón titulado ahora Continua, para proseguir la animación. Se pulsa repetidamente el botón titulado Paso para acercar los nodos de la onda a las divisiones de la regla horizontal, a fin de medir su longitud de onda.

 

 

Referencias

Alonso M., Finn E. J. Física. Addison-Wesley Iberoamericana (1995), págs. 731-733