Ondas longitudinales en una barra elástica

prev.gif (1231 bytes)home.gif (1232 bytes)next.gif (1211 bytes)

Movimiento ondulatorio

Propagación de un
movimiento ondulatorio
Descripción de la
propagación
Movimiento ondulatorio
armónico
Medida de la velocidad
del sonido
Ondas transversales en
una cuerda
Ondas estacionarias (I)
Vibraciones barra
Ondas estacionarias (II)
marca.gif (847 bytes)Ondas longitudinales
  en una barra elástica
Reflexión y transmisión
de ondas
Ley de Snell de la 
refracción
Espejismos

Velocidad de propagación

Energía transportada por un movimiento ondulatorio armónico

Intensidad

Referencias

 

Si provocamos una perturbación golpeando con un martillo el extremo de una barra elástica, la perturbación se propaga a lo largo de la barra. Véase el applet que simula la propagación de una perturbación a lo largo de una barra o el que simula la propagación de ondas armónicas longitudinales. En esta página se va a deducir la fórmula de la velocidad de propagación de las ondas longitudinales en una barra elástica que va a depender de sus características mecánicas: módulo de Young y densidad.

En segundo lugar, es muy importante entender que en un movimiento ondulatorio no hay un flujo de materia, sino que se propaga el estado del movimiento, de una partícula a la siguiente y así, sucesivamente, tal como hemos visto en la simulación realizada con un sistema compuesto de muchas partículas unidas a muelles elásticos

Supongamos que tiramos una piedra a un estanque, se perturba la superficie del agua en el lugar donde cae la piedra. Dicha perturbación, se propaga en forma de movimiento ondulatorio hasta que llega a la orilla del estanque. No hay una corriente de agua que fluya radialmente desde el punto de impacto hasta la orilla, los distintos objetos que flotan en el agua oscilan, moviéndose hacia arriba y hacia abajo mientras dura la propagación del movimiento ondulatorio por la superficie del agua. Las posiciones de dichos objetos permanecen fijas en valor medio, a lo largo del tiempo.

En la descripción de la propagación de un pulso y del movimiento ondulatorio armónico, observamos que el movimiento de la fuente de ondas representada por un émbolo se trasmite a las partículas adyacentes y de éstas a las siguientes y así sucesivamente. El movimiento ondulatorio se propaga con una velocidad que depende de las características del medio, tal como hemos deducido al describir las ondas transversales en una cuerda y las ondas longitudinales en una barra elástica.

 

Velocidad de propagación

En esta página, se deduce la fórmula de la velocidad de propagación de las ondas longitudinales en una barra elástica en términos de las propiedades mecánicas (módulo de elasticidad y densidad del material del que está hecha la barra).

A medida que se propaga la perturbación, los elementos de la barra se deforman (se alargan y se contraen) y se desplazan

 

Deformación del elemento

En el capítulo Sólido rígido hemos determinado mediante una "experiencia" el módulo de elasticidad de un material.

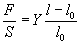
Existe una relación de proporcionalidad entre el esfuerzo (fuerza por unidad de área) y deformación unitaria (deformación por unidad de longitud).

La constante de proporcionalidad Y se denomina módulo de Young y es característico de cada material

Consideremos un elemento de la barra de sección S en la posición x, que tiene una anchura dx. A causa de la perturbación, el elemento se desplaza Y y se deforma dY , de modo que la nueva anchura del elemento es dx+ dY.

Podemos calcular la fuerza necesaria para producir esta deformación

A efectos de notación (derivada parcial) recuérdese que el desplazamiento Y , es una función de dos variables x (posición) y t (tiempo).

 

Desplazamiento del elemento

La parte izquierda de la barra ejerce una fuerza F sobre el elemento de barra de anchura dx, la parte derecha de la barra ejerce una fuerza F’ sobre dicho elemento

elastica2.gif (1893 bytes)

La fuerza neta es 

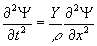
La segunda ley de Newton afirma que la fuerza sobre dicho elemento es igual al producto de la masa (densidad por volumen) por la aceleración (derivada segunda del desplazamiento)

Igualando ambas expresiones obtenemos la ecuación diferencial de un movimiento ondulatorio

La fórmula de la velocidad de propagación es

  • Y es el módulo de la elasticidad del material o módulo de Young (expresado en N/m2)
  • r es la densidad (expresada en kg/m3).
Material V. de las ondas longitudinales (m/s)
Acero al carbono 5050
Aluminio 5080
Cinc 3810
Cobre 3710
Corcho 500
Estaño 2730
Goma 46
Hielo 3280
Hierro 5170
Latón 3490
Plomo 2640
Vidrio de cuarzo 5370

Fuente: Manual de Física, Koshkin N. I., Shirkévich M. G.. Editorial Mir (1975), pág. 106.

 

Energía transportada por un movimiento ondulatorio armónico

Descripción cualitativa

En este apartado obtendremos, mediante un razonamiento cualitativo, una expresión para la energía transportada por un movimiento ondulatorio armónico. Las líneas de razonamiento son las siguientes:

  1. Examinaremos primero el concepto de flujo, para ello pensemos en el símil del agua que fluye por una cañería de sección S, y con velocidad constante v. El volumen de agua que recogemos en el extremo de la cañería en la unidad de tiempo (por segundo) es igual al producto de la sección de la cañería por la velocidad de la corriente de agua.

Como vemos en la figura, en la unidad de tiempo, el agua recogida es la contenida en el volumen cilíndrico de color azul, cuya sección es S y cuya longitud es v.

Flujo (volumen de agua recogida en la unidad de tiempo)=Sv

En un movimiento ondulatorio, la energía fluye desde la fuente de ondas a través del medio con la velocidad de propagación v.

  1. Las partículas del medio describen movimientos armónicos simples (MAS) de amplitud Ψ0, y frecuencia angular w , cuando en dicho medio se propaga un movimiento ondulatorio armónico.

Y(x,t)=Y0·sen k(x-vt)=Y0·sen (kx-w t)

La energía de una partícula vale

donde mi, es la masa de la partícula, w es la frecuencia angular del MAS y Ψ0 es su amplitud.

  1. El flujo de energía, es la energía transportada en la unidad de tiempo, será igual a la energía de todas las partículas contenidas en el volumen cilíndrico de sección S y longitud v

La masa de todas las partículas, entre paréntesis en la segunda igualdad, es igual al producto de la densidad r por el volumen del cilindro Sv.

Descripción cuantitativa

Consideremos de nuevo, el caso de las ondas elásticas longitudinales que se propagan a lo largo de una barra. Una porción de la barra de anchura dx se desplaza con velocidad . El lado izquierdo de la barra ejerce una fuerza (–F) sobre dicha porción.

La potencia (energía por unidad de tiempo) que el lado izquierdo trasmite al lado derecho es

Supongamos que la fuente de ondas situado en el extremo izquierdo de la barra produce un movimiento ondulatorio armónico de amplitud Ψ0 y frecuencia ω=2πf, que se propaga hacia la derecha con velocidad v.

Ψ(x, t)=Ψ0·sen(k(x-vt))= Ψ0·sen (kx-ωt)

Sabiendo que la velocidad de propagación de las ondas longitudinales en a barra elástica es

Calculamos el valor medio

y llegamos al mismo resultado que en la descripción cualitativa

El valor medio de la función periódica f(t) de periodo P es

 

Intensidad

Se define intensidad del movimiento ondulatorio, como la energía transportada por unidad de área y por unidad de tiempo. Dividiendo la fórmula anterior por el área S obtenemos una expresión general para la intensidad de un movimiento ondulatorio armónico de frecuencia angular w y de amplitud Ψ0 que se propaga en un medio de densidad r con velocidad v.

La unidad de medida es W/m2, aunque para el sonido se suele emplear una medida más familiar, el decibel. El nivel de intensidad de un sonido se expresa en decibeles (abreviado db), según la definición

Donde I0 es una intensidad de referencia. Para el caso del sonido en el aire el nivel de referencia tomado arbitrariamente es de 10-12 W/m2.

Supongamos una fuente puntual de ondas situada en un medio homogéneo. El movimiento ondulatorio se propaga en todas las direcciones de forma isótropa. La energía fluye radialmente desde la fuente en todas las direcciones del espacio. La sección A constante del cilindro que consideramos anteriormente, se transforma en el área de un superficie esférica de radio r cuyo centro está en la fuente. Así pues, la intensidad del movimiento ondulatorio a una distancia r de la fuente emisora vale,

Siendo P la potencia de la fuente emisora.

La intensidad es inversamente proporcional al cuadrado de la distancia a la fuente emisora. Como la intensidad es proporcional al cuadrado de la amplitud, la amplitud del movimiento ondulatorio es inversamente proporcional a dicha distancia.

 

 

Referencias

Alonso M., Finn E. J. Física. Addison-Wesley Iberoamericana (1995), págs. 639-642