Ondas transversales en una cuerda

prev.gif (1231 bytes)home.gif (1232 bytes)next.gif (1211 bytes)

Movimiento ondulatorio

Propagación de un
movimiento ondulatorio
Descripción de la
propagación
Movimiento ondulatorio
armónico
Medida de la velocidad
del sonido
marca.gif (847 bytes)Ondas transversales en
  una cuerda
Ondas estacionarias (I)
Vibraciones barra
Ondas estacionarias (II)
Ondas longitudinales
en una barra elástica
Reflexión y transmisión
de ondas
Ley de Snell de la 
refracción
Espejismos

 

En esta página, se analiza la propagación de un movimiento ondulatorio en una cuerda sometida a una tensión para obtener la fórmula de la velocidad de propagación de las ondas transversales en la misma.

 

Velocidad de propagación

Consideremos una cuerda cuya tensión es T. En el equilibrio, la cuerda está en línea recta. Vamos a ver lo que ocurre cuando se desplaza un elemento de longitud dx, situado en la posición x de la cuerda, una cantidad y respecto de la posición de equilibrio.

Dibujamos las fuerzas que actúan sobre el elemento y calculamos la aceleración del mismo, aplicando la segunda ley de Newton.

  • La fuerza que ejerce la parte izquierda de la cuerda sobre el extremo izquierdo del elemento, es igual a la tensión T, y la dirección es tangente a la cuerda en dicho punto, formando un ángulo a con la horizontal.
     
  • La fuerza que ejerce la parte derecha de la cuerda sobre el extremo derecho del elemento, es igual a la tensión T, y la dirección es tangente a la cuerda en dicho punto, formando un ángulo a con la horizontal.

Como el elemento se desplaza en la dirección vertical, hallamos las componentes de las dos fuerzas en esta dirección y la resultante.

dFy=T(sena-sena )

Si la curvatura de la cuerda no es muy grande, los ángulos a y a son pequeños y sus senos se pueden reemplazar por tangentes.

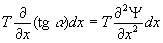
dFy=T(tga-tga )=T·d(tg a )=

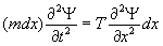
La segunda ley de Newton nos dice que la fuerza dFy sobre el elemento es igual al producto de su masa por la aceleración (derivada segunda del desplazamiento).

La masa del elemento es igual al producto de la densidad lineal m (masa por unidad de longitud), por la longitud dx del elemento.

Simplificando el término dx llegamos a la ecuación diferencial del Movimiento Ondulatorio,  a partir de la cual, obtenemos la fórmula de la velocidad de propagación de las ondas transversales en la cuerda.

  •   T  es la tensión de la cuerda en N
  •   m  es la densidad lineal en kg/m

 

Referencias

Alonso M., Finn E. J. Física. Addison-Wesley Iberoamericana (1995), págs. 644-646